Is Olfactory Testing a Useful Diagnostic Tool to Identify SARS-CoV-2 Infections Early? A Cross-Sectional and Longitudinal Analysis
Abstract
1. Introduction
2. Materials and Methods
2.1. Patients
2.2. Olfactory Function Assessment
2.3. Statistical Analysis
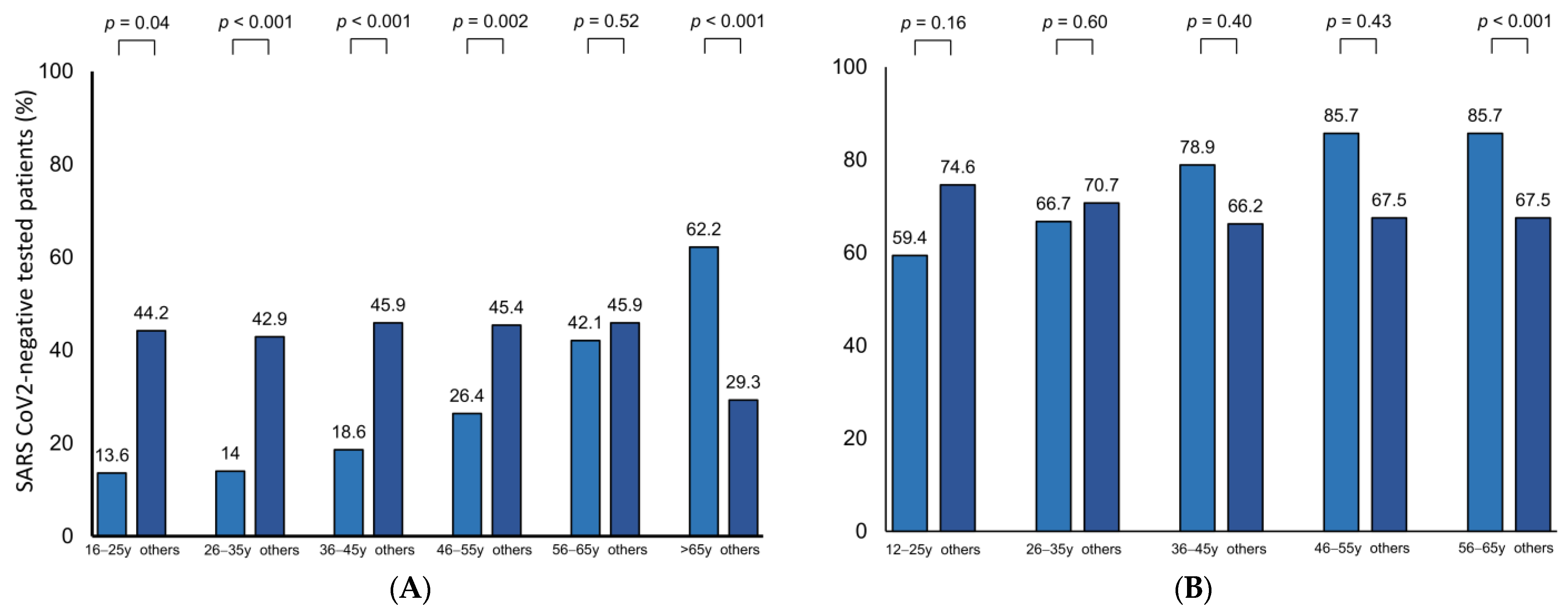
3. Results
3.1. Cross-Sectional Study Part
3.2. Longitudinal Study Part
4. Discussion
5. Conclusions
Supplementary Materials
Author Contributions
Funding
Institutional Review Board Statement
Informed Consent Statement
Data Availability Statement
Conflicts of Interest
References
- Parvez, M.K.; Parveen, S. Airborne transmission of SARS-CoV-2 disease (COVID-19). Future Virol. 2022, 17, 261–264. [Google Scholar] [CrossRef] [PubMed]
- Clinical Spectrum. Available online: https://www.covid19treatmentguidelines.nih.gov/overview/clinical-spectrum/ (accessed on 26 February 2023).
- Baig, A.M.; Greig, N.H.; Gerlach, J.; Salunke, P.; Fabrowski, M.; Viduto, V.; Ali, T. Underlying Causes and Treatment Modalities for Neurological Deficits in COVID-19 and Long-COVID. ACS Chem. Neurosci. 2022, 13, 2934–2938. [Google Scholar] [CrossRef] [PubMed]
- Dawson, P.; Rabold, E.M.; Laws, R.L.; Conners, E.E.; Gharpure, R.; Yin, S.; Buono, S.A.; Dasu, T.; Bhattacharyya, S.; Westergaard, R.P.; et al. Loss of Taste and Smell as Distinguishing Symptoms of Coronavirus Disease 2019. Clin. Infect. Dis. 2020, 72, 682–685. [Google Scholar] [CrossRef] [PubMed]
- Guan, W.J.; Ni, Z.Y.; Hu, Y.; Liang, W.H.; Qu, C.Q.; He, J.X.; Liu, L.; Shan, H.; Lei, C.L.; Hui, D.S.C.; et al. Clinical Characteristics of coronavirus disease 2019 in China. N. Engl. J. Med. 2020, 382, 1708–1720. [Google Scholar] [CrossRef]
- Akerlund, A.; Bende, M.; Murphy, C. Olfactory Threshold and Nasal Mucosal Changes in Experimentally Induced Common Cold. Acta Oto-Laryngologica 1995, 115, 88–92. [Google Scholar] [CrossRef]
- Hansen, D. Anosmia following influenza. Munch. Med. Wochenschr. 1970, 112, 2167–2169. [Google Scholar]
- Hubbard, P.S.; Esiri, M.M.; Reading, M.; McShane, R.; Nagy, Z. Alpha-synuclein pathology in the olfactory pathways of dementia patients. J. Anat. 2007, 211, 117–124. [Google Scholar] [CrossRef]
- Silveira-Moriyama, L.; Holton, J.L.; Kingsbury, A.; Ayling, H.; Petrie, A.; Sterlacci, W.; Poewe, W.; Maier, H.; Lees, A.J.; Revesz, T. Regional differences in the severity of Lewy body pathology across the olfactory cortex. Neurosci. Lett. 2009, 453, 77–80. [Google Scholar] [CrossRef]
- Baba, T.; Kikuchi, A.; Hirayama, K.; Nishio, Y.; Hosokai, Y.; Kanno, S.; Hasegawa, T.; Sugeno, N.; Konno, M.; Suzuki, K.; et al. Severe olfactory dysfunction is a prodromal symptom of dementia associated with Parkinson’s disease: A 3 year longitudinal study. Brain 2012, 135, 161–169. [Google Scholar] [CrossRef]
- Bucaretchi, F.; Borrasca-Fernandes, C.F.; De Capitani, E.M.; Hyslop, S. Consecutive envenomation of two men bitten by the same coral snake (Micrurus corallinus). Clin. Toxicol. 2019, 58, 132–135. [Google Scholar] [CrossRef]
- Sethi, M.; Cook, M.; Winkel, K.D. Persistent anosmia and olfactory bulb atrophy after mulga (Pseudechis australis) snakebite. J. Clin. Neurosci. 2016, 29, 199–201. [Google Scholar] [CrossRef]
- Lechien, J.R.; Cabaraux, P.; Chiesa-Estomba, C.M.; Khalife, M.; Plzak, J.; Hans, S.; Martiny, D.; Calvo-Henriquez, C.; Hopkins, C.; Saussez, S. Objective olfactory testing in patients presenting with sudden onset olfactory dysfunction as the first manifestation of confirmed COVID-19 infection. medRxiv 2020. [Google Scholar] [CrossRef]
- Khan, A.M.; Lee, J.; Rammaha, T.; Gupta, S.; Smith, H.; Kannampallil, T.; Farrell, N.; Kallogjeri, D.; Piccirillo, J.F. Natural trajectory of recovery of COVID-19 associated olfactory loss. Am. J. Otolaryngol. 2022, 43, 103572. [Google Scholar] [CrossRef]
- Butowt, R.; Von Bartheld, C.S. Anosmia in COVID-19: Underlying Mechanisms and Assessment of an Olfactory Route to Brain Infection (Russian translation). Juvenis Sci. 2021, 7, 28–59. [Google Scholar] [CrossRef]
- Park, J.W.; Wang, X.; Xu, R.-H. Revealing the mystery of persistent smell loss in long COVID patients. Int. J. Biol. Sci. 2022, 18, 4795–4808. [Google Scholar] [CrossRef]
- Krishnakumar, H.N.; Momtaz, D.A.; Sherwani, A.; Mhapankar, A.; Gonuguntla, R.K.; Maleki, A.; Abbas, A.; Ghali, A.N.; Al Afif, A. Pathogenesis and progression of anosmia and dysgeusia during the COVID-19 pandemic. Eur. Arch. Oto-Rhino-Laryngology 2022, 280, 505–509. [Google Scholar] [CrossRef]
- Moein, S.T.; Hashemian, S.M.; Mansourafshar, B.; Khorram-Tousi, A.; Tabarsi, P.; Doty, R.L. Smell dysfunction: A biomarker for COVID-19. Int. Forum Allergy Rhinol. 2020, 10, 944–950. [Google Scholar] [CrossRef]
- Brann, D.H.; Tsukahara, T.; Weinreb, C.; Lipovsek, M.; Van den Berge, K.; Gong, B.; Chance, R.; Macaulay, I.C.; Chou, H.J.; Fletcher, R.B.; et al. Non-neuronal expression of SARS-CoV-2 entry genes in the olfactory system suggests mechanisms underlying COVID-19-associated anosmia. Sci. Adv. 2020, 6, eabc5801. [Google Scholar] [CrossRef]
- Gori, A.; Leone, F.; Loffredo, L.; Cinicola, B.L.; Brindisi, G.; De Castro, G.; Spalice, A.; Duse, M.; Zicari, A.M. COVID-19-Related Anosmia: The Olfactory Pathway Hypothesis and Early Intervention. Front. Neurol. 2020, 11, 956. [Google Scholar] [CrossRef]
- de Melo, G.D.; Lazarini, F.; Levallois, S.; Hautefort, C.; Michel, V.; Larrous, F.; Verillaud, B.; Aparicio, C.; Wagner, S.; Gheusi, G.; et al. COVID-19-related anosmia is associated with viral persistence and inflammation in human olfactory epithelium and brain infection in hamsters. Sci. Transl. Med. 2021, 13, eabf8396. [Google Scholar] [CrossRef]
- Xu, Y.; Zhuang, Y.; Kang, L. A Review of Neurological Involvement in Patients with SARS-CoV-2 Infection. Med. Sci. Monit. Int. Med. J. Exp. Clin. Res. 2021, 27, e932962. [Google Scholar] [CrossRef] [PubMed]
- Coronavirus Test Shortage Fueled by Omicron Will Ease in January, Fauci Says—The Washington Post. Available online: https://www.washingtonpost.com/health/2021/12/27/omicron-covid-test-shortage-fauci/ (accessed on 9 March 2023).
- Marco, A.; Solé, C.; Abdo, I.J.; Turu, E. Low sensitivity of rapid antigenic tests as a screening method in an outbreak of SARS-CoV-2 infection in prison. Enferm. Infecc. Microbiol. Clin. 2022, 40, 152–154. [Google Scholar] [CrossRef] [PubMed]
- Bender, J.K.; Meyer, E.D.; Sandfort, M.; Matysiak-Klose, D.; Bojara, G.; Hellenbrand, W. Low Sensitivity of Rapid Antigen Tests to Detect Severe Acute Respiratory Syndrome Coronavirus 2 Infections Before and on the Day of Symptom Onset in Nursing Home Staff and Residents, Germany, January–March 2021. J. Infect. Dis. 2021, 224, 1987–1989. [Google Scholar] [CrossRef] [PubMed]
- Natarajan, A.; Zlitni, S.; Brooks, E.F.; Vance, S.E.; Dahlen, A.; Hedlin, H.; Park, R.M.; Han, A.; Schmidtke, D.T.; Verma, R.; et al. Gastrointestinal symptoms and fecal shedding of SARS-CoV-2 RNA suggest prolonged gastrointestinal infection. Med 2022, 3, 371–387.e9. [Google Scholar] [CrossRef]
- Petrillo, M.; Brogna, C.; Cristoni, S.; Querci, M.; Piazza, O.; Van den Eede, G. Increase of SARS-CoV-2 RNA load in faecal samples prompts for rethinking of SARS-CoV-2 biology and COVID-19 epidemiology. F1000Research 2021, 10, 370. [Google Scholar] [CrossRef]
- Kevadiya, B.D.; Machhi, J.; Herskovitz, J.; Oleynikov, M.D.; Blomberg, W.R.; Bajwa, N.; Soni, D.; Das, S.; Hasan, M.; Patel, M.; et al. Diagnostics for SARS-CoV-2 infections. Nat. Mater. 2021, 20, 593–605. [Google Scholar] [CrossRef]
- Doty, R.L.; Wylie, C.; Potter, M.; Beston, R.; Cope, B.; Majam, K. Clinical validation of the olfactory detection threshold module of the Snap & Sniff® olfactory test system. Int. Forum Allergy Rhinol. 2019, 9, 986–992. [Google Scholar] [CrossRef]
- Doty, R.L.; Shaman, P.; Dann, M. Development of the university of pennsylvania smell identification test: A standardized microencapsulated test of olfactory function. Physiol. Behav. 1984, 32, 489–502. [Google Scholar] [CrossRef]
- Kobal, G.; Hummel, T.; Sekinger, B.; Barz, S.; Roscher, S.; Wolf, S. ‘Sniffin’ sticks’: Screening of olfactory performance. Rhinology 1996, 34, 222–226. [Google Scholar]
- RKI-Coronavirus SARS-CoV-2—Wochenberichte zu COVID-19. Available online: https://www.rki.de/DE/Content/InfAZ/N/Neuartiges_Coronavirus/Situationsberichte/Wochenbericht/Wochenberichte_Tab.html (accessed on 8 November 2022).
- Usmellit. Available online: https://www.usmellit.com/de/usmellit-de/ (accessed on 25 February 2021).
- Kondo, K.; Kikuta, S.; Ueha, R.; Suzukawa, K.; Yamasoba, T. Age-Related Olfactory Dysfunction: Epidemiology, Pathophysiology, and Clinical Management. Front. Aging Neurosci. 2020, 12, 208. [Google Scholar] [CrossRef]
- Kass, M.D.; Czarnecki, L.A.; Moberly, A.H.; McGann, J.P. Differences in peripheral sensory input to the olfactory bulb between male and female mice. Sci. Rep. 2017, 7, srep45851. [Google Scholar] [CrossRef]
- Sorokowski, P.; Karwowski, M.; Misiak, M.; Marczak, M.K.; Dziekan, M.; Hummel, T.; Sorokowska, A. Sex Differences in Human Olfaction: A Meta-Analysis. Front. Psychol. 2019, 10, 242. [Google Scholar] [CrossRef]
- Liu, G.; Zong, G.; Doty, R.L.; Sun, Q. Prevalence and risk factors of taste and smell impairment in a nationwide representative sample of the US population: A cross-sectional study. BMJ Open 2016, 6, e013246. [Google Scholar] [CrossRef]
- Thorstensen, W.M.; Oie, M.R.; Dahlslett, S.B.; Sue-Chu, M.; Steinsvag, S.K.; Helvik, A.S. Olfaction in COPD. Rhinology 2022, 60, 47–55. [Google Scholar] [CrossRef]
- Marin, C.; Vilas, D.; Langdon, C.; Alobid, I.; López-Chacón, M.; Haehner, A.; Hummel, T.; Mullol, J. Olfactory Dysfunction in Neurodegenerative Diseases. Curr. Allergy Asthma Rep. 2018, 18, 42. [Google Scholar] [CrossRef]
- Karamali, K.; Elliott, M.; Hopkins, C. COVID-19 related olfactory dysfunction. Curr. Opin. Otolaryngol. Head Neck Surg. 2022, 30, 19–25. [Google Scholar] [CrossRef]
- Chang, C.-C.; Yang, M.-H.; Chang, S.-M.; Hsieh, Y.-J.; Lee, C.-H.; Chen, Y.-M.A.; Yuan, C.-H.; Ho, S.-Y.; Tyan, Y.-C. Clinical significance of olfactory dysfunction in patients of COVID-19. J. Chin. Med Assoc. 2021, 84, 682–689. [Google Scholar] [CrossRef]
- Lechien, J.R.; Chiesa-Estomba, C.M.; De Siati, D.R.; Horoi, M.; Le Bon, S.D.; Rodriguez, A.; Dequanter, D.; Blecic, S.; El Afia, F.; Distinguin, L.; et al. Olfactory and gustatory dysfunctions as a clinical presentation of mild-to-moderate forms of the coronavirus disease (COVID-19): A multicenter European study. Eur. Arch. Oto-Rhino-Laryngol. 2020, 277, 2251–2261. [Google Scholar] [CrossRef]
- Boscutti, A.; Delvecchio, G.; Pigoni, A.; Cereda, G.; Ciappolino, V.; Bellani, M.; Fusar-Poli, P.; Brambilla, P. Olfactory and gustatory dysfunctions in SARS-CoV-2 infection: A systematic review. Brain Behav. Immun. -Health 2021, 15, 100268. [Google Scholar] [CrossRef]
- Speth, M.M.; Singer-Cornelius, T.; Oberle, M.; Gengler, I.; Brockmeier, S.J.; Sedaghat, A.R. Olfactory Dysfunction and Sinonasal. Symptomatology in COVID-19: Prevalence, Severity, Timing, and Associated Characteristics. Otolaryngol. Neck Surg. 2020, 163, 114–120. [Google Scholar] [CrossRef]
- Giacomelli, A.; Pezzati, L.; Conti, F.; Bernacchia, D.; Siano, M.; Oreni, L.; Rusconi, S.; Gervasoni, C.; Ridolfo, A.L.; Rizzardini, G.; et al. Self-reported Olfactory and Taste Disorders in Patients with Severe Acute Respiratory Coronavirus 2 Infection: A Cross-sectional Study. Clin. Infect. Dis. 2020, 71, 889–890. [Google Scholar] [CrossRef] [PubMed]
- Thakur, K.; Sagayaraj, A.; Prasad, K.C.; Gupta, A. Olfactory Dysfunction in COVID-19 Patients: Findings from a Tertiary Rural Centre. Indian J. Otolaryngol. Head Neck Surg. 2021, 74, 2840–2846. [Google Scholar] [CrossRef] [PubMed]
- Ajmani, G.S.; Suh, H.H.; Wroblewski, K.E.; Pinto, J.M. Smoking and olfactory dysfunction: A systematic literature review and meta-analysis. Laryngoscope 2017, 127, 1753–1761. [Google Scholar] [CrossRef] [PubMed]
- Farsalinos, K.; Niaura, R.; Le Houezec, J.; Barbouni, A.; Tsatsakis, A.; Kouretas, D.; Vantarakis, A.; Poulas, K. Editorial: Nicotine and SARS-CoV-2: COVID-19 may be a disease of the nicotinic cholinergic system. Toxicol. Rep. 2020, 7, 658–663. [Google Scholar] [CrossRef]
- Chen, Z.-R.; Huang, J.-B.; Yang, S.-L.; Hong, F.-F. Role of Cholinergic Signaling in Alzheimer’s Disease. Molecules 2022, 27, 1816. [Google Scholar] [CrossRef]
- Brogna, C.; Cristoni, S.; Brogna, B.; Bisaccia, D.R.; Marino, G.; Viduto, V.; Montano, L.; Piscopo, M. Toxin-like Peptides from the Bacterial Cultures Derived from Gut Microbiome Infected by SARS-CoV-2—New Data for a Possible Role in the Long COVID Pattern. Biomedicines 2023, 11, 87. [Google Scholar] [CrossRef]

| Characteristics | Patients (n = 524) |
|---|---|
| Patient age at diagnosis (years) | |
| 16–25, n (%) | 22 (4.2) |
| 26–35, n (%) | 43 (8.2) |
| 36–45, n (%) | 59 (11.3) |
| 46–55, n (%) | 72 (13.7) |
| 56–65, n (%) | 111 (21.2) |
| >65, n (%) | 217 (41.4) |
| Gender | |
| Female, n (%) | 204 (38.9) |
| Male, n (%) | 320 (61.1) |
| Current smoking | |
| Yes, n (%) | 92 (17.6) |
| No, n (%) | 432 (82.4) |
| Comorbidities | |
| Diabetes, n (%) | 101 (19) |
| Cardio-vascular disease, n (%) | 237 (45) |
| Malignancy, n (%) | 126 (24) |
| Asthma bronchiale, n (%) | 10 (2) |
| Chronic obstructive pulmonary disease, n (%) | 43 (8) |
| Chronic kidney failure, n (%) | 69 (13) |
| Liver cirrhosis, n (%) | 53 (10) |
| Immunodeficiency, n (%) | 27 (5) |
| Inflammatory bowel disease (IBD), n (%) | 10 (2) |
| Pre-operations in the ENT tract, n (%) | 3 (0.6) |
| Severity of OD | |
| No OD (grade 0), n (%) | 299 (57.1) |
| Mild OD (grade 1), n (%) | 105 (20.0) |
| Moderate OD (grade 2), n (%) | 65 (12.4) |
| Severe OD (grade 3), n (%) | 34 (6.5) |
| Anosmia (grade 4), n (%) | 21 (4.0) |
| Olfactory Dysfunction (n = 226) | No Olfactory Dysfunction (n = 268) | p Value | |
|---|---|---|---|
| Males, n (%) | 158 (69.9) | 149 (55.6) | <0.001 |
| Age (years), median (range) | 67 (16–94) | 53 (21–86) | <0.001 |
| Current smoking, n (%) | 41 (18.1) | 46 (17.2) | 0.81 |
| Comorbidities | |||
| Diabetes mellitus, n (%) | 52 (23.0) | 49 (18.3) | 0.22 |
| Pulmonary diseases, n (%) | 33 (14.6) | 20 (7.5) | 0.03 |
| Cardiovascular diseases, n (%) | 134 (59.3) | 103 (38.4) | <0.001 |
| Malignancy, n (%) | 57 (24.9) | 69 (25.7) | 0.92 |
| Renal diseases, n (%) | 33 (14.6) | 36 (13.4) | 0.79 |
| Hepatological diseases, n (%) | 21 (9.3) | 32 (12.7) | 0.24 |
| Preoperations in the ENT tract, n (%) | 1 (0.4) | 2 (0.7) | 1.00 |
| Clinical Characteristics and General Symptoms | Patients (n = 90) |
|---|---|
| Patient age at diagnosis (years) | |
| 7–25, n (%) | 32 (35.6) |
| 26–35, n (%) | 22 (24.4) |
| 36–45, n (%) | 21 (23.3) |
| 46–55, n (%) | 7 (7.8) |
| 56–65, n (%) | 8 (8.9) |
| Gender | |
| Female, n (%) | 49 (54.4) |
| Male, n (%) | 41 (45.6) |
| Current smoking | |
| Yes, n (%) | 22 (24.4) |
| No, n (%) | 73 (75.6) |
| General symptoms | |
| Fever, n (%) | 9 (10) |
| Fatigue, n (%) | 23 (25.6) |
| Myalgia or arthralgia, n (%) | 12 (13.3) |
| Loss of appetite | 1 (1.1) |
| ENT | |
| Sore throat | 13 (14.4) |
| Nasal obstruction | 50 (55.6) |
| Rinorrhea | 50 (55.6) |
| Pneumological | |
| Cough | 43 (47.8) |
| Shortness of breath | 1 (1.1) |
| Digestive | |
| Nausea | 1 (1.1) |
| Vomiting | 1 (1.1) |
| Diarrhea | 1 (1.1) |
| Neurological | |
| Smell disorders | 7(7.8) |
| Taste disorders | 3 (2.2) |
| Headache | 27 (30) |
| Severity of clinical symptoms during course of the disease | |
| No symptoms, n (%) | 20 (22.2) |
| Mild symptoms, n (%) | 16 (17.8) |
| Moderate symptoms, n (%) | 24 (26.7) |
| Severe Symptoms, n (%) | 30 (33.3) |
| Characteristics | Olfactory Dysfunction (n = 59) | No Olfactory Dysfunction (n = 31) | p Value |
|---|---|---|---|
| Males | 31 (52.5) | 7 (22.6) | 0.04 |
| Age (years), median (range) | 32 (12–65) | 26 (12–58) | 0.08 |
| Positive smoking history, n (%) | 15 (25.4) | 6 (19.4) | 0.04 |
| General symptoms | |||
| Fever, n (%) | 8 (13.6) | 1 (3.2) | 0.26 |
| Fatigue, n (%) | 18 (30.5) | 5 (16.1) | 0.31 |
| Myalgia or arthralgia, n (%) | 11 (18.6) | 1 (3.2) | 0.09 |
| Loss of appetite, n (%) | 0 (0) | 1 (3.2) | 0.41 |
| ENT symptoms | |||
| Sore throat, n (%) | 12 (38.9) | 1 (3.2) | 0.06 |
| Nasal obstruction, n (%) | 33 (55.9) | 13 (14.4) | 0.26 |
| Rhinorrhea, n (%) | 33 (55.9) | 13 (14.4) | 0.65 |
| Pneumological | |||
| Cough, n (%) | 33 (55.9) | 10 (32.3) | 0.17 |
| Shortness of breath, n (%) | 1 (1.7) | 0 (0) | 1.00 |
| Digestive GI symptoms (nausea, vomiting, diarrhea), n (%) | 0 (0) | 1 (3.2) | 0.31 |
| Neurological | |||
| Taste disorders, n (%) | 2 (3.4) | 1 (3.2) | 1.00 |
| Headache, n (%) | 19 (32.2) | 8 (25.8) | 1.00 |
Disclaimer/Publisher’s Note: The statements, opinions and data contained in all publications are solely those of the individual author(s) and contributor(s) and not of MDPI and/or the editor(s). MDPI and/or the editor(s) disclaim responsibility for any injury to people or property resulting from any ideas, methods, instructions or products referred to in the content. |
© 2023 by the authors. Licensee MDPI, Basel, Switzerland. This article is an open access article distributed under the terms and conditions of the Creative Commons Attribution (CC BY) license (https://creativecommons.org/licenses/by/4.0/).
Share and Cite
Graf, C.; Wagener, I.; Grikscheit, K.; Hoehl, S.; Berger, A.; Wetzstein, N.; Dietz, J.; Dultz, G.; Michael, F.; Filmann, N.; et al. Is Olfactory Testing a Useful Diagnostic Tool to Identify SARS-CoV-2 Infections Early? A Cross-Sectional and Longitudinal Analysis. J. Clin. Med. 2023, 12, 3162. https://doi.org/10.3390/jcm12093162
Graf C, Wagener I, Grikscheit K, Hoehl S, Berger A, Wetzstein N, Dietz J, Dultz G, Michael F, Filmann N, et al. Is Olfactory Testing a Useful Diagnostic Tool to Identify SARS-CoV-2 Infections Early? A Cross-Sectional and Longitudinal Analysis. Journal of Clinical Medicine. 2023; 12(9):3162. https://doi.org/10.3390/jcm12093162
Chicago/Turabian StyleGraf, Christiana, Inken Wagener, Katharina Grikscheit, Sebastian Hoehl, Annemarie Berger, Nils Wetzstein, Julia Dietz, Georg Dultz, Florian Michael, Natalie Filmann, and et al. 2023. "Is Olfactory Testing a Useful Diagnostic Tool to Identify SARS-CoV-2 Infections Early? A Cross-Sectional and Longitudinal Analysis" Journal of Clinical Medicine 12, no. 9: 3162. https://doi.org/10.3390/jcm12093162
APA StyleGraf, C., Wagener, I., Grikscheit, K., Hoehl, S., Berger, A., Wetzstein, N., Dietz, J., Dultz, G., Michael, F., Filmann, N., Herrmann, E., Tinnemann, P., Goetsch, U., & Ciesek, S. (2023). Is Olfactory Testing a Useful Diagnostic Tool to Identify SARS-CoV-2 Infections Early? A Cross-Sectional and Longitudinal Analysis. Journal of Clinical Medicine, 12(9), 3162. https://doi.org/10.3390/jcm12093162

