Longitudinal Radiographic Bone Density Measurement in Revision Hip Arthroplasty and Its Correlation with Clinical Outcome
Abstract
1. Introduction
2. Materials and Methods
2.1. Patients
2.2. Clinical Evaluation
2.3. Objective Radiologic Evaluation
2.4. Statistical Evaluation
2.5. Ethical Approval
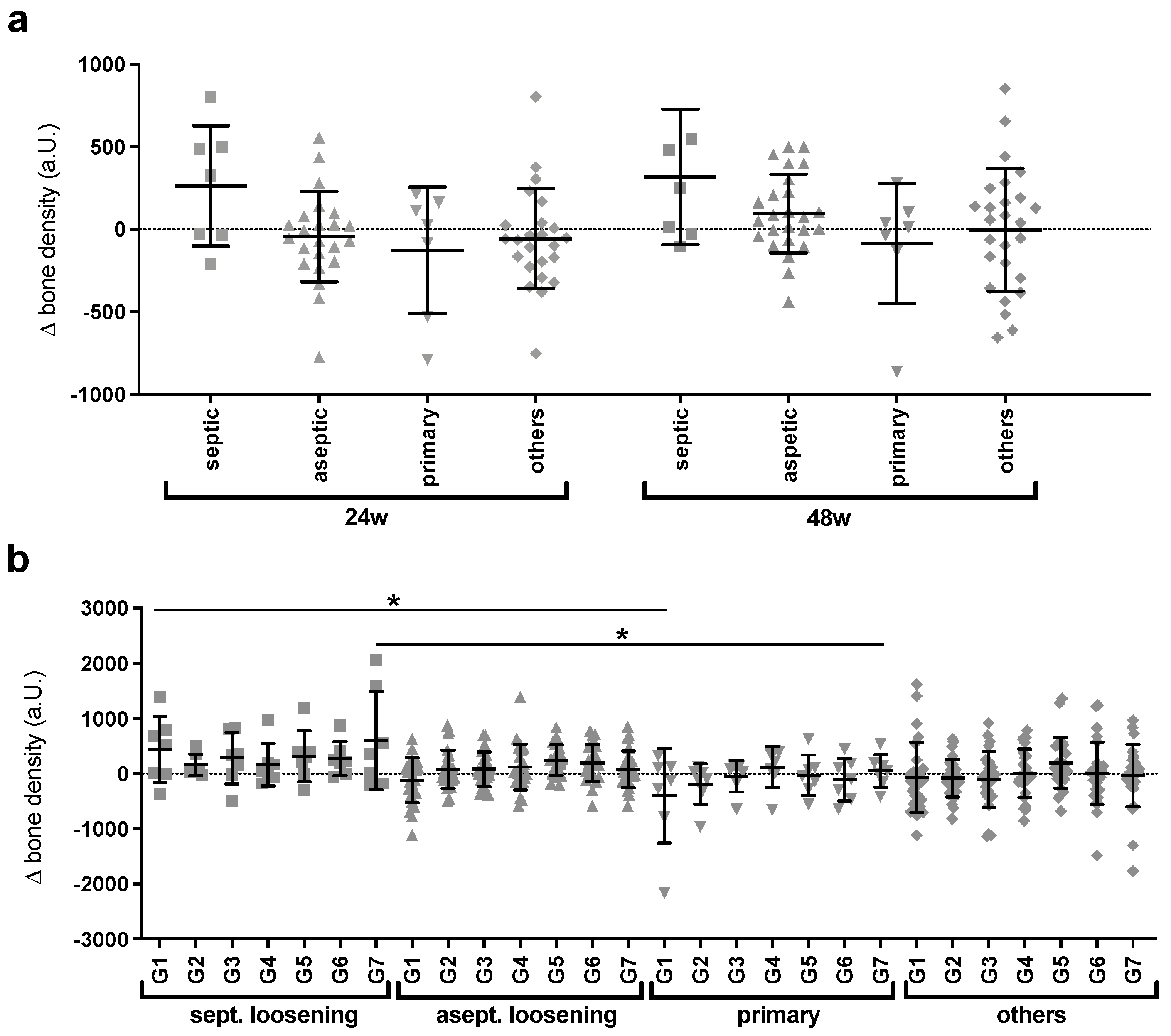
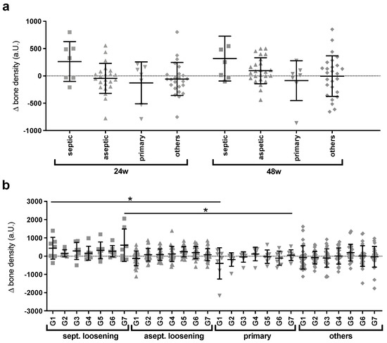
3. Results
3.1. Patients
3.2. Clinical Outcome
3.3. Radiographic Outcome
3.4. Correlation of Clinical and Radiology Aspects
4. Discussion
Author Contributions
Funding
Institutional Review Board Statement
Informed Consent Statement
Data Availability Statement
Conflicts of Interest
References
- Albanese, C.V.; Santori, F.S.; Pavan, L.; Learmonth, I.D.; Passariello, R. Periprosthetic DXA after total hip arthroplasty with short vs. ultra-short custom-made femoral stems: 37 patients followed for 3 years. Acta Orthop. 2009, 80, 291–297. [Google Scholar] [CrossRef] [PubMed]
- Pitto, R.P.; Hayward, A.; Walker, C.; Shim, V.B. Femoral bone density changes after total hip arthroplasty with uncemented taper-design stem: A five year follow-up study. Int. Orthop. 2009, 34, 783–787. [Google Scholar] [CrossRef]
- Mussmann, B.; Andersen, P.E.; Torfing, T.; Overgaard, S. Bone density measurements adjacent to acetabular cups in total hip arthroplasty using dual-energy CT: An in vivo reliability and agreement study. Acta Radiol. Open 2018, 7, 2058460118796539. [Google Scholar] [CrossRef]
- Roessler, P.P.; Jacobs, C.; Krause, A.C.; Wimmer, M.D.; Wagenhäuser, P.J.; Jaenisch, M.; Schildberg, F.A.; Wirtz, D.C. Relative radiographic bone density measurement in revision hip arthroplasty and its correlation with qualitative subjective assessment by experienced surgeons. Technol. Health Care 2019, 27, 79–88. [Google Scholar] [CrossRef] [PubMed]
- Sah, A.P.; Thornhill, T.S.; LeBoff, M.S.; Glowacki, J. Correlation of plain radiographic indices of the hip with quantitative bone mineral density. Osteoporos. Int. 2007, 18, 1119–1126. [Google Scholar] [CrossRef]
- Lewiecki, E.M.; E Lane, N. Common mistakes in the clinical use of bone mineral density testing. Nat. Clin. Pract. Rheumatol. 2008, 4, 667–674. [Google Scholar] [CrossRef]
- Mussmann, B.; Overgaard, S.; Torfing, T.; Traise, P.; Gerke, O.; Andersen, P.E. Agreement and precision of periprosthetic bone den-sity measurements in micro-CT, single and dual energy CT. J. Orthop. Res. 2017, 35, 1470–1477. [Google Scholar] [CrossRef]
- Gruen, T.A.; McNeice, G.M.; Amstutz, H.C. “Modes of failure” of cemented stem-type femoral components: A radiographic analysis of loosening. Clin. Orthop. Relat. Res. 1979, 141, 17–27. [Google Scholar] [CrossRef]
- Steinbruck, A.; Grimberg, A.; Melsheimer, O.; Jansson, V. Influence of institutional experience on results in hip and knee total arthroplasty: An analysis from the German arthroplasty registry (EPRD). Der Orthopäde 2020, 49, 808–814. [Google Scholar] [PubMed]
- Wirtz, D.C.; Gravius, S.; Ascherl, R.; Thorweihe, M.; Forst, R.; Noeth, U.; Maus, U.M.; Wimmer, M.D.; Zeiler, G.; Deml, M.C. Uncemented femoral revision arthroplasty using a modular tapered, fluted titanium stem: 5- to 16-year results of 163 cases. Acta Orthop. 2014, 85, 562–569. [Google Scholar] [CrossRef]
- Kobayashi, S.; Saito, N.; Horiuchi, H.; Iorio, R.; Takaoka, K. Poor bone quality or hip structure as risk factors affecting survival of total-hip arthroplasty. Lancet 2000, 355, 1499–1504. [Google Scholar] [CrossRef]
- Brodner, W.; Bitzan, P.; Lomoschitz, F.; Krepler, P.; Jankovsky, R.; Lehr, S.; Kainberger, F.; Gottsauner-Wolf, F. Changes in bone mineral density in the proximal femur after cementless total hip arthroplasty. A five-year longitudinal study. J. Bone Jt. Surg. 2004, 86, 20–26. [Google Scholar] [CrossRef]
- Reiter, A.; Sabo, D.; Simank, H.G.; Buchner, T.; Seidel, M.; Lukoschek, M. Periprosthetic mineral density in cement-free hip re-placement arthroplasty. Z. Orthop. Grenzgeb. 1997, 135, 499–504. [Google Scholar] [CrossRef]
- Stukenborg-Colsman, C.M.; von der Haar-Tran, A.; Windhagen, H.; Bouguecha, A.; Wefstaedt, P.; Lerch, M. Bone Remodelling around A Cementless Straight Tha Stem: A Prospective Dual-Energy X-Ray Absorptiometry Study. HIP Int. 2012, 22, 166–171. [Google Scholar] [CrossRef]
- Mumme, T.; Muller-Rath, R.; Weisskopf, M.; Andereya, S.; Neuss, M.; Wirtz, D.C. The cement-free modular revision prosthesis MRP-hip revision stem prosthesis in clinical follow-up. Z. Orthop. Grenzgeb. 2004, 142, 314–321. [Google Scholar] [CrossRef]
- Wimmer, M.D.; Randau, T.M.; Deml, M.C.; Ascherl, R.; Nöth, U.; Forst, R.; Gravius, N.; Wirtz, D.; Gravius, S. Impaction grafting in the femur in cementless modular revision total hip arthroplasty: A descriptive outcome analysis of 243 cases with the MRP-TITAN revision implant. BMC Musculoskelet. Disord. 2013, 14, 19. [Google Scholar] [CrossRef]
- Smart, R.; Barbagallo, S.; Slater, G.; Kuo, R.; Butler, S.; Drummond, R.; Sekel, R. Measurement of periprosthetic bone density in hip arthroplasty using dual-energy x-ray absorptiometry: Reproducibility of Measurements. J. Arthroplast. 1996, 11, 445–452. [Google Scholar] [CrossRef]
- Cliffe, L.; Sharkey, D.; Charlesworth, G.; Minford, J.; Elliott, S.; E Morton, R. Correct positioning for hip radiographs allows reliable measurement of hip displacement in cerebral palsy. Dev. Med. Child Neurol. 2011, 53, 549–552. [Google Scholar] [CrossRef]
- West, J.D.; Mayor, M.B.; Collier, J.P. Potential errors inherent in quantitative densitometric analysis of orthopaedic radiographs. A study after total hip arthroplasty. J. Bone Jt. Surg. 1987, 69, 58–64. [Google Scholar] [CrossRef]
- Lucas, K.; Nolte, I.; Galindo-Zamora, V.; Lerch, M.; Stukenborg-Colsman, C.; Behrens, B.A.; Bouguecha, A.; Betancur, S.; Almohallami, A.; Wefstaedt, P. Comparative measurements of bone mineral density and bone contrast values in canine femora using dual-energy X-ray absorptiometry and conventional digital radiography. BMC Vet. Res. 2017, 13, 1–9. [Google Scholar] [CrossRef]
- Engh, C.A.; McAULEY, J.P.; Sychterz, C.J.; Sacco, M.E. The Accuracy and Reproducibility of Radiographic Assessment of Stress-Shielding. J. Bone Jt. Surg. 2000, 82, 1414–1420. [Google Scholar] [CrossRef]
- White, K.; Berbaum, K.; Smith, W.L. The Role of Previous Radiographs and Reports in the Interpretation of Current Radiographs. Investig. Radiol. 1994, 29, 263–265. [Google Scholar] [CrossRef]






| Item | Value |
|---|---|
| Age (y) | 67.0 ± 11.0 (range 37.0–84.0) |
| Body mass index (kg/m2) | 29.3 ± 6.6 (range 18.0–53.1) |
| Sex (no./%) | |
| Male | 32/47.05% |
| Female | 36/52.95% |
| Side (no./%) | |
| Right | 38/55.89% |
| Left | 30/44.11% |
| Indication for revision stem (no./%) | |
| Aseptic stem loosening | 25/36.75% |
| Septic stem loosening | 19/27.94% |
| Others “Implant-associated” | 16/23.53% |
| Primary stem implantation | 08/11.76% |
| HHS Preoperative | HHS 24 Weeks | HHS 48 Weeks | |
|---|---|---|---|
| Total | 44.15 ± 15.00 | 62.16 ± 12.09 | 66.20 ± 13.87 |
| Aseptic stem loosening | 45.00 ± 12.27 | 61.48 ± 11.59 | 65.42 ± 14.60 |
| Septic stem loosening | 42.46 ± 14.36 | 58.23 ± 12.36 | 63.23 ± 11.26 |
| Primary stem implantation | 42.00 ± 12.96 | 57.00 ± 14.09 | 73.15 ± 12.24 |
| Others | 45.19 ± 12.62 | 67.94 ± 10.71 | 66.75 ± 15.38 |
Disclaimer/Publisher’s Note: The statements, opinions and data contained in all publications are solely those of the individual author(s) and contributor(s) and not of MDPI and/or the editor(s). MDPI and/or the editor(s) disclaim responsibility for any injury to people or property resulting from any ideas, methods, instructions or products referred to in the content. |
© 2023 by the authors. Licensee MDPI, Basel, Switzerland. This article is an open access article distributed under the terms and conditions of the Creative Commons Attribution (CC BY) license (https://creativecommons.org/licenses/by/4.0/).
Share and Cite
Roessler, P.P.; Eich, J.; Wirtz, D.C.; Schildberg, F.A. Longitudinal Radiographic Bone Density Measurement in Revision Hip Arthroplasty and Its Correlation with Clinical Outcome. J. Clin. Med. 2023, 12, 2795. https://doi.org/10.3390/jcm12082795
Roessler PP, Eich J, Wirtz DC, Schildberg FA. Longitudinal Radiographic Bone Density Measurement in Revision Hip Arthroplasty and Its Correlation with Clinical Outcome. Journal of Clinical Medicine. 2023; 12(8):2795. https://doi.org/10.3390/jcm12082795
Chicago/Turabian StyleRoessler, Philip P., Jakob Eich, Dieter C. Wirtz, and Frank A. Schildberg. 2023. "Longitudinal Radiographic Bone Density Measurement in Revision Hip Arthroplasty and Its Correlation with Clinical Outcome" Journal of Clinical Medicine 12, no. 8: 2795. https://doi.org/10.3390/jcm12082795
APA StyleRoessler, P. P., Eich, J., Wirtz, D. C., & Schildberg, F. A. (2023). Longitudinal Radiographic Bone Density Measurement in Revision Hip Arthroplasty and Its Correlation with Clinical Outcome. Journal of Clinical Medicine, 12(8), 2795. https://doi.org/10.3390/jcm12082795

