Nivolumab or Atezolizumab in the Second-Line Treatment of Advanced Non-Small Cell Lung Cancer? A Prognostic Index Based on Data from Daily Practice
Abstract
1. Introduction
2. Materials and Methods
2.1. Efficacy Monitoring
2.2. Statistical Analysis Methods
3. Results
3.1. Characteristics of the Study Group
3.2. Survival and Response to Treatment
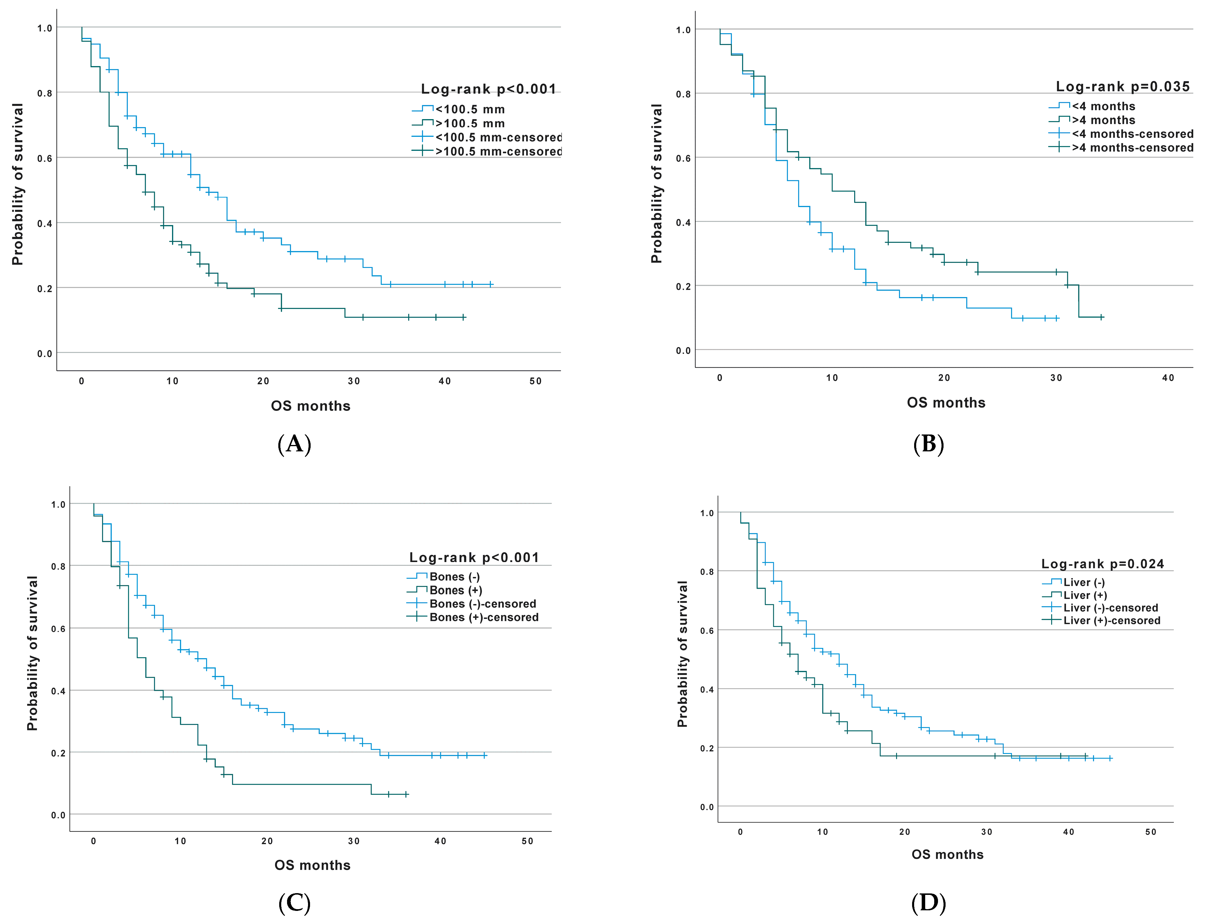
3.2.1. Univariate Analysis
3.2.2. Multivariate Analysis
3.2.3. Prognostic Index
4. Discussion
4.1. Tumour Size
4.2. Liver Metastases
4.3. Body Mass Index
4.4. Duration of Response to Prior Chemotherapy
4.5. Inflammatory Blood Biomarkers
4.6. Bone Metastases
4.7. Nivolumab or Atezolizumab?
4.8. Prognostic Indices
5. Conclusions
Author Contributions
Funding
Institutional Review Board Statement
Informed Consent Statement
Data Availability Statement
Conflicts of Interest
References
- Borghaei, H.; Paz-Ares, L.; Horn, L.; Spigel, D.R.; Steins, M.; Ready, N.E.; Chow, L.Q.; Vokes, E.E.; Felip, E.; Holgado, E.; et al. Nivolumab versus Docetaxel in Advanced Nonsquamous Non-Small-Cell Lung Cancer. N. Engl. J. Med. 2015, 373, 1627–1639. [Google Scholar] [CrossRef] [PubMed]
- Brahmer, J.; Reckamp, K.L.; Baas, P.; Crinò, L.; Eberhardt, W.E.; Poddubskaya, E.; Antonia, S.; Pluzanski, A.; Vokes, E.E.; Holgado, E.; et al. Nivolumab versus Docetaxel in Advanced Squamous-Cell Non-Small-Cell Lung Cancer. N. Engl. J. Med. 2015, 373, 123–135. [Google Scholar] [CrossRef]
- Borghaei, H.; Gettinger, S.; Vokes, E.E.; Chow, L.Q.M.; Burgio, M.A.; de Castro Carpeno, J.; Pluzanski, A.; Arrieta, O.; Frontera, O.A.; Chiari, R.; et al. Five-Year Outcomes From the Randomized, Phase III Trials CheckMate 017 and 057: Nivolumab Versus Docetaxel in Previously Treated Non-Small-Cell Lung Cancer. J. Clin. Oncol. 2021, 39, 723–733. [Google Scholar] [CrossRef] [PubMed]
- Rittmeyer, A.; Barlesi, F.; Waterkamp, D.; Park, K.; Ciardiello, F.; von Pawel, J.; Gadgeel, S.M.; Hida, T.; Kowalski, D.M.; Dols, M.C.; et al. Atezolizumab versus docetaxel in patients with previously treated non-small-cell lung cancer (OAK): A phase 3, open-label, multicentre randomised controlled trial. Lancet 2017, 389, 255–265. [Google Scholar] [CrossRef]
- Mazieres, J.; Rittmeyer, A.; Gadgeel, S.; Hida, T.; Gandara, D.R.; Cortinovis, D.L.; Barlesi, F.; Yu, W.; Matheny, C.; Ballinger, M.; et al. Atezolizumab Versus Docetaxel in Pretreated Patients With NSCLC: Final Results From the Randomized Phase 2 POPLAR and Phase 3 OAK Clinical Trials. J. Thorac. Oncol. 2021, 16, 140–150. [Google Scholar] [CrossRef]
- Ramagopalan, S.; Gupta, A.; Arora, P.; Thorlund, K.; Ray, J.; Subbiah, V. Comparative Effectiveness of Atezolizumab, Nivolumab, and Docetaxel in Patients With Previously Treated Non-Small Cell Lung Cancer. JAMA Netw. Open 2021, 4, e2134299. [Google Scholar] [CrossRef]
- Alonso-Garca, M.; Sánchez-Gastaldo, A.; Muoz-Fuentes, M.A.; Molina-Pinelo, S.; Boyero, L.; Benedetti, J.C.; Bernabé-Caro, R. Real-world analysis of the efficacy of nivolumab and atezolizumab in patients treated previously with advanced non-small cell lung cancer. Pharmaceuticals 2022, 15, 533. [Google Scholar] [CrossRef]
- Weis, T.M.; Hough, S.; Reddy, H.G.; Daignault-Newton, S.; Kalemkerian, G.P. Real-world comparison of immune checkpoint inhibitors in nonsmall cell lung cancer after platinum-based chemotherapy. J. Oncol. Pharm. Pract. 2020, 26, 564–571. [Google Scholar] [CrossRef]
- Katsurada, M.; Nagano, T.; Tachihara, M.; Kiriu, T.; Furukawa, K.; Koyama, K.; Otoshi, T.; Sekiya, R.; Hazama, D.; Tamura, D.; et al. Baseline Tumor Size as a Predictive and Prognostic Factor of Immune Checkpoint Inhibitor Therapy for Non-small Cell Lung Cancer. Anticancer Res. 2019, 39, 815–825. [Google Scholar] [CrossRef]
- Uehara, Y.; Hakozaki, T.; Kitadai, R.; Narita, K.; Watanabe, K.; Hashimoto, K.; Kawai, S.; Yomota, M.; Hosomi, Y. Association between the baseline tumor size and outcomes of patients with non-small cell lung cancer treated with first-line immune checkpoint inhibitor monotherapy or in combination with chemotherapy. Transl. Lung Cancer Res. 2022, 11, 135–149. [Google Scholar] [CrossRef] [PubMed]
- Popat, V.; Lu, R.; Ahmed, M.; Park, J.Y.; Xie, Y.; Gerber, D.E. Lack of Association Between Radiographic Tumor Burden and Efficacy of Immune Checkpoint Inhibitors in Advanced Lung Cancer. Oncologist 2020, 25, 515–522. [Google Scholar] [CrossRef]
- Ren, Y.; Dai, C.; Zheng, H.; Zhou, F.; She, Y.; Jiang, G.; Fei, K.; Yang, P.; Xie, D.; Chen, C. Prognostic effect of liver metastasis in lung cancer patients with distant metastasis. Oncotarget 2016, 7, 53245–53253. [Google Scholar] [CrossRef] [PubMed]
- Riihimäki, M.; Hemminki, A.; Fallah, M.; Thomsen, H.; Sundquist, K.; Sundquist, J.; Hemminki, K. Metastatic sites and survival in lung cancer. Lung Cancer 2014, 86, 78–84. [Google Scholar] [CrossRef]
- Ying, X.; Ma, N.; Zhang, X.; Guo, H.; Liu, Y.; Chen, B.; Zhao, S.; Wu, S.; Li, W.; Wang, L.; et al. Research progress on the molecular mechanisms of hepatic metastasis in lung cancer: A narrative review. Ann. Palliat. Med. 2021, 10, 4806–4822. [Google Scholar] [CrossRef]
- Chen, X.J.; Ren, A.; Zheng, L.; Zheng, E.D.; Jiang, T. Pan-Cancer Analysis Identifies Liver Metastases as Negative Predictive Factor for Immune Checkpoint Inhibitors Treatment Outcome. Front. Immunol. 2021, 12, 651086. [Google Scholar] [CrossRef]
- Vokes, E.E.; Ready, N.; Felip, E.; Horn, L.; Burgio, M.A.; Antonia, S.J.; Arén Frontera, O.; Gettinger, S.; Holgado, E.; Spigel, D.; et al. Nivolumab versus docetaxel in previously treated advanced non-small-cell lung cancer (CheckMate 017 and CheckMate 057): 3-year update and outcomes in patients with liver metastases. Ann. Oncol. 2018, 29, 959–965. [Google Scholar] [CrossRef] [PubMed]
- Ardizzoni, A.; Azevedo, S.; Rubio-Viqueira, B.; Rodrguez-Abreu, D.; Alatorre-Alexander, J.; Smit, H.J.M.; Yu, J.; Syrigos, K.; Trunzer, K.; Patel, H.; et al. Primary results from TAIL: A global single-arm safety study of atezolizumab monotherapy in a diverse population of patients with previously treated advanced nonsmall cell lung cancer. J. Immunother. Cancer 2021, 9, e001865. [Google Scholar] [CrossRef]
- Ardizzoni, A.; Azevedo, S.; Rubio-Viqueira, B.; Rodriguez-Abreu, D.; Alatorre-Alexander, J.; Smit, H.J.M.; Yu, J.; Syrigos, K.; Höglander, E.; Kaul, M.; et al. Final results from TAIL: Updated long-term efficacy of atezolizumab in a diverse population of patients with previously treated advanced non-small cell lung cancer. J. Immunother. Cancer 2022, 10, e005581. [Google Scholar] [CrossRef] [PubMed]
- Reck, M.; Mok, T.S.K.; Nishio, M.; Jotte, R.M.; Cappuzzo, F.; Orlandi, F.; Stroyakovskiy, D.; Nogami, N.; Rodríguez-Abreu, D.; Moro-Sibilot, D.; et al. Atezolizumab plus bevacizumab and chemotherapy in non-small-cell lung cancer (IMpower150): Key subgroup analyses of patients with EGFR mutations or baseline liver metastases in a randomised, open-label phase 3 trial. Lancet Respir. Med. 2019, 7, 387–401. [Google Scholar] [CrossRef]
- Ouchi, N.; Parker, J.L.; Lugus, J.J.; Walsh, K. Adipokines in inflammation and metabolic disease. Nat. Rev. Immunol. 2011, 11, 85–97. [Google Scholar] [CrossRef] [PubMed]
- Jordan, B.F.; Gourgue, F.; Cani, P.D. Adipose Tissue Metabolism and Cancer Progression: Novel Insights from Gut Microbiota? Curr. Pathobiol. Rep. 2017, 5, 315–322. [Google Scholar] [CrossRef] [PubMed]
- Han, S.J.; Glatman Zaretsky, A.; Andrade-Oliveira, V.; Collins, N.; Dzutsev, A.; Shaik, J.; Morais da Fonseca, D.; Harrison, O.J.; Tamoutounour, S.; Byrd, A.L.; et al. White Adipose Tissue Is a Reservoir for Memory T Cells and Promotes Protective Memory Responses to Infection. Immunity 2017, 47, 1154–1168.e6. [Google Scholar] [CrossRef] [PubMed]
- McQuade, J.L.; Daniel, C.R.; Hess, K.R.; Mak, C.; Wang, D.Y.; Rai, R.R.; Park, J.J.; Haydu, L.E.; Spencer, C.; Wongchenko, M.; et al. Association of body-mass index and outcomes in patients with metastatic melanoma treated with targeted therapy, immunotherapy, or chemotherapy: A retrospective, multicohort analysis. Lancet Oncol. 2018, 19, 310–322. [Google Scholar] [CrossRef]
- Cortellini, A.; Bersanelli, M.; Santini, D.; Buti, S.; Tiseo, M.; Cannita, K.; Perrone, F.; Giusti, R.; De Tursi, M.; Zoratto, F.; et al. Another side of the association between body mass index (BMI) and clinical outcomes of cancer patients receiving programmed cell death protein-1 (PD-1)/ Programmed cell death-ligand 1 (PD-L1) checkpoint inhibitors: A multicentre analysis of immune-related adverse events. Eur. J. Cancer 2020, 128, 17–26. [Google Scholar] [CrossRef] [PubMed]
- Tournoy, K.G.; Thomeer, M.; Germonpré, P.; Derijcke, S.; De Pauw, R.; Galdermans, D.; Govaert, K.; Govaerts, E.; Schildermans, R.; Declercq, I.; et al. Does nivolumab for progressed metastatic lung cancer fulfill its promises? An efficacy and safety analysis in 20 general hospitals. Lung Cancer 2018, 115, 49–55. [Google Scholar] [CrossRef] [PubMed]
- Aldea, M.; Benitez, J.C.; Mezquita, L. The Lung Immune Prognostic Index (LIPI) stratifies prognostic groups in advanced non-small cell lung cancer (NSCLC) patients. Transl. Lung Cancer Res. 2020, 9, 967–970. [Google Scholar] [CrossRef] [PubMed]
- Mezquita, L.; Auclin, E.; Ferrara, R.; Charrier, M.; Remon, J.; Planchard, D.; Ponce, S.; Ares, L.P.; Leroy, L.; Audigier-Valette, C.; et al. Association of the Lung Immune Prognostic Index With Immune Checkpoint Inhibitor Outcomes in Patients With Advanced Non-Small Cell Lung Cancer. JAMA Oncol. 2018, 4, 351–357. [Google Scholar] [CrossRef] [PubMed]
- Kazandjian, D.; Gong, Y.; Keegan, P.; Pazdur, R.; Blumenthal, G.M. Prognostic Value of the Lung Immune Prognostic Index for Patients Treated for Metastatic Non-Small Cell Lung Cancer. JAMA Oncol. 2019, 5, 1481–1485. [Google Scholar] [CrossRef]
- Sorich, M.J.; Rowland, A.; Karapetis, C.S.; Hopkins, A.M. Evaluation of the Lung Immune Prognostic Index for Prediction of Survival and Response in Patients Treated With Atezolizumab for NSCLC: Pooled Analysis of Clinical Trials. J. Thorac. Oncol. 2019, 14, 1440–1446. [Google Scholar] [CrossRef]
- Ruiz-Bañobre, J.; Areses-Manrique, M.C.; Mosquera-Martínez, J.; Cortegoso, A.; Afonso-Afonso, F.J.; de Dios-Álvarez, N.; Fernández-Núñez, N.; Azpitarte-Raposeiras, C.; Amenedo, M.; Santomé, L.; et al. Evaluation of the lung immune prognostic index in advanced non-small cell lung cancer patients under nivolumab monotherapy. Transl. Lung Cancer Res. 2019, 8, 1078–1085. [Google Scholar] [CrossRef]
- Xie, J.; Zang, Y.; Liu, M.; Peng, L.; Zhang, H. The Lung Immune Prognostic Index May Predict the Efficacy of Different Treatments in Patients with Advanced NSCLC: A Meta-Analysis. Oncol. Res. Treat. 2021, 44, 164–175. [Google Scholar] [CrossRef] [PubMed]
- Meyers, D.E.; Stukalin, I.; Vallerand, I.A.; Lewinson, R.T.; Suo, A.; Dean, M.; North, S.; Pabani, A.; Cheng, T.; Heng, D.Y.C.; et al. The Lung Immune Prognostic Index Discriminates Survival Outcomes in Patients with Solid Tumors Treated with Immune Checkpoint Inhibitors. Cancers 2019, 11, 1713. [Google Scholar] [CrossRef] [PubMed]
- Petrova, M.P.; Eneva, M.I.; Arabadjiev, J.I.; Conev, N.V.; Dimitrova, E.G.; Koynov, K.D.; Karanikolova, T.S.; Valev, S.S.; Gencheva, R.B.; Zhbantov, G.A.; et al. Neutrophil to lymphocyte ratio as a potential predictive marker for treatment with pembrolizumab as a second line treatment in patients with non-small cell lung cancer. Biosci. Trends. 2020, 14, 48–55. [Google Scholar] [CrossRef] [PubMed]
- Wang, H.; Li, C.; Yang, R.; Jin, J.; Liu, D.; Li, W. Prognostic value of the platelet-to-lymphocyte ratio in lung cancer patients receiving immunotherapy: A systematic review and meta-analysis. PLoS ONE 2022, 17, e0268288. [Google Scholar] [CrossRef] [PubMed]
- Treffers, L.W.; Hiemstra, I.H.; Kuijpers, T.W.; van den Berg, T.K.; Matlung, H.L. Neutrophils in cancer. Immunol Rev. 2016, 273, 312–328. [Google Scholar] [CrossRef]
- Hinterleitner, C.; Strähle, J.; Malenke, E.; Hinterleitner, M.; Henning, M.; Seehawer, M.; Bilich, T.; Heitmann, J.; Lutz, M.; Mattern, S.; et al. Platelet PD-L1 reflects collective intratumoral PD-L1 expression and predicts immunotherapy response in non-small cell lung cancer. Nat. Commun. 2021, 12, 7005. [Google Scholar] [CrossRef]
- Kargl, J.; Busch, S.E.; Yang, G.H.; Kim, K.H.; Hanke, M.L.; Metz, H.E.; Hubbard, J.J.; Lee, S.M.; Madtes, D.K.; McIntosh, M.W.; et al. Neutrophils dominate the immune cell composition in non-small cell lung cancer. Nat. Commun. 2017, 8, 14381. [Google Scholar] [CrossRef]
- Sacdalan, D.B.; Lucero, J.A.; Sacdalan, D.L. Prognostic utility of baseline neutrophil-to-lymphocyte ratio in patients receiving immune checkpoint inhibitors: A review and meta-analysis. Onco. Targets. Ther. 2018, 11, 955–965. [Google Scholar] [CrossRef]
- Tan, Q.; Liu, S.; Liang, C.; Han, X.; Shi, Y. Pretreatment hematological markers predict clinical outcome in cancer patients receiving immune checkpoint inhibitors: A meta-analysis. Thorac. Cancer 2018, 9, 1220–1230. [Google Scholar] [CrossRef]
- Wang, Z.; Zhan, P.; Lv, Y.; Shen, K.; Wei, Y.; Liu, H.; Song, Y. Prognostic role of pretreatment neutrophil-to-lymphocyte ratio in non-small cell lung cancer patients treated with systemic therapy: A meta-analysis. Transl. Lung Cancer Res. 2019, 8, 214–226. [Google Scholar] [CrossRef]
- Xu, H.; He, A.; Liu, A.; Tong, W.; Cao, D. Evaluation of the prognostic role of platelet-lymphocyte ratio in cancer patients treated with immune checkpoint inhibitors: A systematic review and meta-analysis. Int. Immunopharmacol. 2019, 77, 105957. [Google Scholar] [CrossRef] [PubMed]
- Yuan, Y.; Zhong, H.; Ye, L.; Li, Q.; Fang, S.; Gu, W.; Qian, Y. Prognostic value of pretreatment platelet counts in lung cancer: A systematic review and meta-analysis. BMC Pulm. Med. 2020, 20, 96. [Google Scholar] [CrossRef] [PubMed]
- Jin, J.; Yang, L.; Liu, D.; Li, W. Association of the neutrophil to lymphocyte ratio and clinical outcomes in patients with lung cancer receiving immunotherapy: A meta-analysis. BMJ Open 2020, 10, e035031. [Google Scholar] [CrossRef]
- Zhang, N.; Jiang, J.; Tang, S.; Sun, G. Predictive value of neutrophil-lymphocyte ratio and platelet-lymphocyte ratio in non-small cell lung cancer patients treated with immune checkpoint inhibitors: A meta-analysis. Int. Immunopharmacol. 2020, 85, 106677. [Google Scholar] [CrossRef] [PubMed]
- Qin, A.; Zhao, S.; Miah, A.; Wei, L.; Patel, S.; Johns, A.; Grogan, M.; Bertino, E.M.; He, K.; Shields, P.G.; et al. Bone Metastases, Skeletal-Related Events, and Survival in Patients With Metastatic Non-Small Cell Lung Cancer Treated With Immune Checkpoint Inhibitors. J. Natl. Compr. Canc. Netw. 2021, 19, 915–921. [Google Scholar] [CrossRef] [PubMed]
- Landi, L.; D’Incà, F.; Gelibter, A.; Chiari, R.; Grossi, F.; Delmonte, A.; Passaro, A.; Signorelli, D.; Gelsomino, F.; Galetta, D.; et al. Bone metastases and immunotherapy in patients with advanced non-small-cell lung cancer. J. Immunother. Cancer 2019, 7, 316. [Google Scholar] [CrossRef]
- Debieuvre, D.; Juergens, R.A.; Asselain, B.; Audigier-Valette, C.; Auliac, J.B.; Barlesi, F.; Benoit, N.; Bombaron, P.; Butts, C.A.; Dixmier, A.; et al. Two-year survival with nivolumab in previously treated advanced non-small-cell lung cancer: A real-world pooled analysis of patients from France, Germany, and Canada. Lung Cancer 2021, 157, 40–47. [Google Scholar] [CrossRef]
- Mouritzen, M.T.; Junker, K.F.; Carus, A.; Ladekarl, M.; Meldgaard, P.; Nielsen, A.W.; Livbjerg, A.; Larsen, J.W.; Skuladottir, H.; Kristiansen, C.; et al. Clinical features affecting efficacy of immune checkpoint inhibitors in pretreated patients with advanced NSCLC: A Danish nationwide real-world study. Acta Oncol. 2022, 61, 409–416. [Google Scholar] [CrossRef]
- Li, H.S.; Lei, S.Y.; Li, J.L.; Xing, P.Y.; Hao, X.Z.; Xu, F.; Xu, H.Y.; Wang, Y. Efficacy and safety of concomitant immunotherapy and denosumab in patients with advanced non-small cell lung cancer carrying bone metastases: A retrospective chart review. Front. Immunol. 2022, 13, 908436. [Google Scholar] [CrossRef]
- Knapp, B.J.; Devarakonda, S.; Govindan, R. Bone metastases in non-small cell lung cancer: A narrative review. J. Thorac. Dis. 2022, 14, 1696–1712. [Google Scholar] [CrossRef]
- Takada, K.; Takamori, S.; Shimokawa, M.; Toyokawa, G.; Shimamatsu, S.; Hirai, F.; Tagawa, T.; Okamoto, T.; Hamatake, M.; Tsuchiya-Kawano, Y.; et al. Evaluation of albumin-bilirubin grade as prognostic factor in patients with non-small cell lung cancer receiving anti-PD-1-based therapy. ESMO Open. 2022, 7, 100348. [Google Scholar] [CrossRef] [PubMed]
- Prelaj, A.; Lo Russo, G.; Proto, C.; Signorelli, D.; Ferrara, R.; Galli, G.; De Toma, A.; Randon, G.; Zilembo, N.; Trevisan, B.; et al. DiM: Prognostic Score for Second—Or Further-Line Immunotherapy in Advanced Non-Small Cell Lung Cancer: An External Validation. Clin. Lung Cancer. 2020, 21, e337–e348. [Google Scholar] [CrossRef] [PubMed]
- Navani, V.; Meyers, D.E.; Ruan, Y.; Boyne, D.J.; O′Sullivan, D.E.; Dolter, S.; Grosjean, H.A.; Stukalin, I.; Heng, D.Y.; Morris, D.G.; et al. Lung Immune Therapy Evaluation (LITE) Risk, A novel prognostic model for patients with advanced nonsmall cell lung cancer treated with immune checkpoint blockade. Clin. Lung Cancer 2023. [Google Scholar] [CrossRef]
- Prelaj, A.; Ferrara, R.; Rebuzzi, S.E.; Proto, C.; Signorelli, D. EPSILoN: A Prognostic Score for Immunotherapy in Advanced Non-Small Cell Lung Cancer: A validation cohort. Cancers 2019, 11, 1954. [Google Scholar] [CrossRef] [PubMed]
- Prelaj, A.; Rebuzzi, S.E.; Pizzutilo, P.; Bilancia, M.; Montrone, M.; Pesola, F.; Longo, V.; Del Bene, G.; Lapadula, V.; Cassano, F.; et al. EPSILoN: A Prognostic Score Using Clinical and Blood Biomarkers in Advanced Non-Small-cell Lung Cancer Treated With Immunotherapy. Clin. Lung Cancer 2020, 21, 365–377.e5. [Google Scholar] [CrossRef] [PubMed]



| Total (n = 260) | Nivolumab (n = 134) | Atezolizumab (n = 126) | p-Values | |
|---|---|---|---|---|
| Age | ||||
| Median (range) | 67 (37–91) | 68 (39–91) | 66 (37–83) | 0.025 |
| Gender | ||||
| Female | 111 (42.7%) | 54 (40.3%) | 57 (45.2%) | 0.421 |
| Male | 149 (57.3%) | 80 (59.7%) | 69 (54.8%) | |
| Histology | ||||
| ADC | 137 (52.7%) | 29 (21.6%) | 108 (85.7%) | <0.001 |
| SCC | 102 (39.2%) | 93 (69.4%) | 9 (7.1%) | |
| LCC | 2 (0.8%) | 2 (1.5%) | 0 (0%) | |
| NOS | 9 (3.5%) | 4 (3%) | 5 (4%) | |
| LCNEC | 4 (1.5%) | 1 (0.7%) | 3 (2.4%) | |
| Poorly differentiated | 6 (2.3%) | 5 (3.7%) | 1 (0.8%) | |
| Smoking (pack years) | ||||
| Median (range) | 30 (0–80) | 30 (0–80) | 30 (0–55) | 0.709 |
| Clinical stage | ||||
| III | 64 (24.6%) | 48 (35.8%) | 16 (12.7%) | <0.001 |
| IV | 196 (75.4%) | 86 (64.2%) | 110 (87.3%) | |
| Metastases | ||||
| Brain | 33 (9.2%) | 14 (10.7%) | 19 (16.5%) | <0.001 e |
| Lungs | 137 (38.3%) | 85 (64.9%) | 52 (45.2%) | |
| Bones | 49 (13.7%) | 23 (17.6%) | 26 (22.6%) | |
| Liver | 54 (15.1%) | 31 (23.7%) | 23 (20%) | |
| Adrenal glands | 46 (12.8%) | 19 (14.5%) | 27 (23.5%) | |
| Other | 39 (10.9%) | 9 (6.9%) | 30 (26.1%) | |
| ECOG | ||||
| 0 | 10 (3.8%) | 6 (4.5%) | 4 (3.2%) | 0.821 |
| 1 | 246 (94.6%) | 126 (94%) | 120 (96%) | |
| 2 | 3 (1.2%) | 2 (1.5%) | 1 (0.8%) | |
| Sum of all measurable lesions (in mm) | ||||
| Median (range) | 100.5 (10–454) | 90.5 (10–454) | 110 (10–390) | 0.291 |
| Duration of response to chemotherapy | ||||
| Median months (95% CI) | 4.0 (3.0 to 5.0) | 4.0 (3.0 to 5.0) | 4.0 (3.0 to 5.0) | 0.345 |
| Time of observation | ||||
| Median months (95% CI) | 19.0 (15.0 to 21.0) | 13.0 (12.0 to 13.0) | 24.0 (22.0 to 26.0) | <0.001 |
| Total (n = 248) | Nivolumab (n = 125) | Atezolizumab (n = 123) | p-Value | |
|---|---|---|---|---|
| Best response | <0.001 | |||
| CR | 16 (6.5%) | 11 (8.8%) | 5 (4.1%) | |
| PR | 45 (18.1%) | 11 (8.8%) | 34 (27.6%) | |
| SD | 103 (41.5%) | 51 (40.8%) | 52 (42.3%) | |
| PD | 84 (33.9%) | 52 (41.6%) | 32 (26%) |
| Total (n = 260) | Nivolumab (n = 134) | Atezolizumab (n = 126) | p-Value | |
|---|---|---|---|---|
| Best response | ||||
| CR | 1.2% | 1.4% | 0.8% | 0.592 |
| PR | 9.6% | 5.4% | 8.7% | |
| SD | 30.4% | 30% | 30.1% | |
| PD | 40.4% | 35.1% | 46% | |
| ORR | 10.8% | 6.8% | 9.5% | 0.36 |
| DCR | 41.2% | 36.8% | 39.5% | 0.222 |
| Lack of data | 18.4% | 22.3% | 14.4% | |
| Progression-free survival | ||||
| Median months (95% CI) | 3 (2.57–3.42) | 3 (2.27–3.72) | 3 (2.49–3.50) | 0.175 |
| Overall survival | ||||
| Median months (95% CI) | 10 (8.03–10.9) | 14 (10.02–7.97) | 8 (5.89–10.1) | 0.018 |
| Characteristic | PFS | OS | ||||
|---|---|---|---|---|---|---|
| All pts | All pts | |||||
| HR | 95%CI | p-Value | HR | 95%CI | p-Value | |
| Age (< vs. >67 years) | 0.97 | 0.74–1.26 | 0.796 | 1.07 | 0.8–1.44 | 0.637 |
| Squamous vs. nonsquamous | 0.83 | 0.63–1.09 | 0.177 | 0.7 | 0.51–0.96 | 0.028 |
| Female vs. Male | 1.21 | 0.92–1.58 | 0.17 | 1.04 | 0.77–1.4 | 0.81 |
| SML > mediane | 1.46 | 1.11–1.93 | 0.008 | 1.79 | 1.3–2.47 | <0.001 |
| Liver metastases | 1.42 | 1.03–1.96 | 0.034 | 1.49 | 1.04–2.14 | 0.03 |
| Bone metastases | 1.27 | 0.92–1.77 | 0.152 | 1.91 | 1.35–2.71 | <0.001 |
| Time of response to chemotherapy < 4 months * | 1.7 | 1.29–2.23 | <0.001 | 1.83 | 1.34–2.35 | <0.001 |
| BMI > 25.63 ** | 0.83 | 0.64–1.07 | 0.154 | 0.74 | 0.55–1 | <0.047 |
| NEU > 5.39 ** | 1.44 | 1.11–1.87 | 0.007 | 1.43 | 1.06–1.93 | 0.018 |
| PLT > 281 ** | 1.26 | 0.97–1.64 | 0.085 | 1.48 | 1.1–2 | 0.01 |
| Lymphocyte > 1.44 ** | 0.67 | 0.51–0.87 | 0.002 | 0.57 | 0.42–0.77 | <0.001 |
| NLR > 3.68 ** | 1.79 | 1.38–2.34 | <0.001 | 2.08 | 1.54–2.82 | <0.001 |
| PLR > 182.9 ** | 1.76 | 1.35–2.29 | <0.001 | 2.23 | 1.64–3.04 | <0.001 |
| LIPI 2 vs. 0 | 1.42 | 0.92–2.2 | 0.11 | 1.69 | 1.03–2.78 | 0.039 |
| Albumine < 38.8 | 1.57 | 1.06–2.33 | 0.023 | 2.16 | 1.39–3.37 | <0.001 |
| PFS | OS | |||||||
|---|---|---|---|---|---|---|---|---|
| HR | SE | Wald | p-Value | HR | SE | Wald | p-Value | |
| Type of treatment | 0.206 | 0.19 | 1.174 | 0.279 | 0.235 | 0.211 | 1.237 | 0.266 |
| Age | 0.002 | 0.008 | 0.069 | 0.793 | 0.002 | 0.01 | 0.037 | 0.847 |
| ADC | 0.243 | 0.255 | 0.909 | 0.34 | 0.143 | 0.292 | 0.241 | 0.624 |
| SCC | 0.249 | 0.267 | 0.872 | 0.35 | 0.320 | 0.313 | 1.045 | 0.307 |
| PFS | OS | |||||
|---|---|---|---|---|---|---|
| p-Value | HR | 95% CI | p-Value | HR | 95% CI | |
| Sum of all measurable lesions (>100.5 mm) | 0.210 | 1.001 | 0.99–1.003 | 0.007 | 1.003 | 1.001–1.005 |
| Liver metastases | 0.141 | 0.754 | 0.519–1.098 | 0.309 | 0.803 | 0.527–1.225 |
| Time of duration of response to chemotherapy < 4 months | 0.025 | 0.969 | 0.94–0.99 | 0.068 | 0.970 | 0.939–1.002 |
| Neutrophils >5.39 × 103/μl | 0.001 | 1.046 | 1.017–1.075 | 0.157 | 1.024 | 0.991–1.059 |
| Lymphocytes <1.44 × 103/μl | 0.812 | 0.989 | 0.905–1.081 | 0.690 | 0.979 | 0.883–1.085 |
| Platelets > 281 G/L | - | - | - | <0.001 | 1.003 | 1.001–1.004 |
| Coefficient | Points | |
|---|---|---|
| Sum of all measurable changes (<163 mm vs. >163 mm) | ||
| <163 mm | 0 | 0 |
| >163 mm | 0.62 | 2 |
| Bones | ||
| No | 0 | 0 |
| Yes | 0.734 | 3 |
| Platelets | ||
| <356 | 0 | 0 |
| >356 | 0.706 | 3 |
| Favourable—Risk Group A (0 Points) | Intermediate—Risk Group B (2–3 Points) | Poor—Risk Group C (5–8 Points) | |
|---|---|---|---|
| Sum of all measurable changes | |||
| Mean (SD) | 77.39 (39.75) | 137.44 (80.63) | 193.85 (92.22) |
| Bones metastases (%) | |||
| No | 100% | 74.4% | 35.3% |
| Yes | 0% | 25.6% | 64.7% |
| Platelets | |||
| Mean (SD) | 253 (54.76) | 335.76 (130.05) | 395.23 (134.8) |
| Overall survival | |||
| Median months (95% CI) | 16 (13.3–18.7) | 7 (4.83–9.17) | 4 (2.88–5.13) |
Disclaimer/Publisher’s Note: The statements, opinions and data contained in all publications are solely those of the individual author(s) and contributor(s) and not of MDPI and/or the editor(s). MDPI and/or the editor(s) disclaim responsibility for any injury to people or property resulting from any ideas, methods, instructions or products referred to in the content. |
© 2023 by the authors. Licensee MDPI, Basel, Switzerland. This article is an open access article distributed under the terms and conditions of the Creative Commons Attribution (CC BY) license (https://creativecommons.org/licenses/by/4.0/).
Share and Cite
Knetki-Wróblewska, M.; Tabor, S.; Piórek, A.; Płużański, A.; Winiarczyk, K.; Zaborowska-Szmit, M.; Zajda, K.; Kowalski, D.M.; Krzakowski, M. Nivolumab or Atezolizumab in the Second-Line Treatment of Advanced Non-Small Cell Lung Cancer? A Prognostic Index Based on Data from Daily Practice. J. Clin. Med. 2023, 12, 2409. https://doi.org/10.3390/jcm12062409
Knetki-Wróblewska M, Tabor S, Piórek A, Płużański A, Winiarczyk K, Zaborowska-Szmit M, Zajda K, Kowalski DM, Krzakowski M. Nivolumab or Atezolizumab in the Second-Line Treatment of Advanced Non-Small Cell Lung Cancer? A Prognostic Index Based on Data from Daily Practice. Journal of Clinical Medicine. 2023; 12(6):2409. https://doi.org/10.3390/jcm12062409
Chicago/Turabian StyleKnetki-Wróblewska, Magdalena, Sylwia Tabor, Aleksandra Piórek, Adam Płużański, Kinga Winiarczyk, Magdalena Zaborowska-Szmit, Katarzyna Zajda, Dariusz M. Kowalski, and Maciej Krzakowski. 2023. "Nivolumab or Atezolizumab in the Second-Line Treatment of Advanced Non-Small Cell Lung Cancer? A Prognostic Index Based on Data from Daily Practice" Journal of Clinical Medicine 12, no. 6: 2409. https://doi.org/10.3390/jcm12062409
APA StyleKnetki-Wróblewska, M., Tabor, S., Piórek, A., Płużański, A., Winiarczyk, K., Zaborowska-Szmit, M., Zajda, K., Kowalski, D. M., & Krzakowski, M. (2023). Nivolumab or Atezolizumab in the Second-Line Treatment of Advanced Non-Small Cell Lung Cancer? A Prognostic Index Based on Data from Daily Practice. Journal of Clinical Medicine, 12(6), 2409. https://doi.org/10.3390/jcm12062409

