The Influence of Healthy Habits on Cognitive Functions in a Group of Hemodialysis Patients
Abstract
1. Introduction
2. Materials and Methods
3. Results
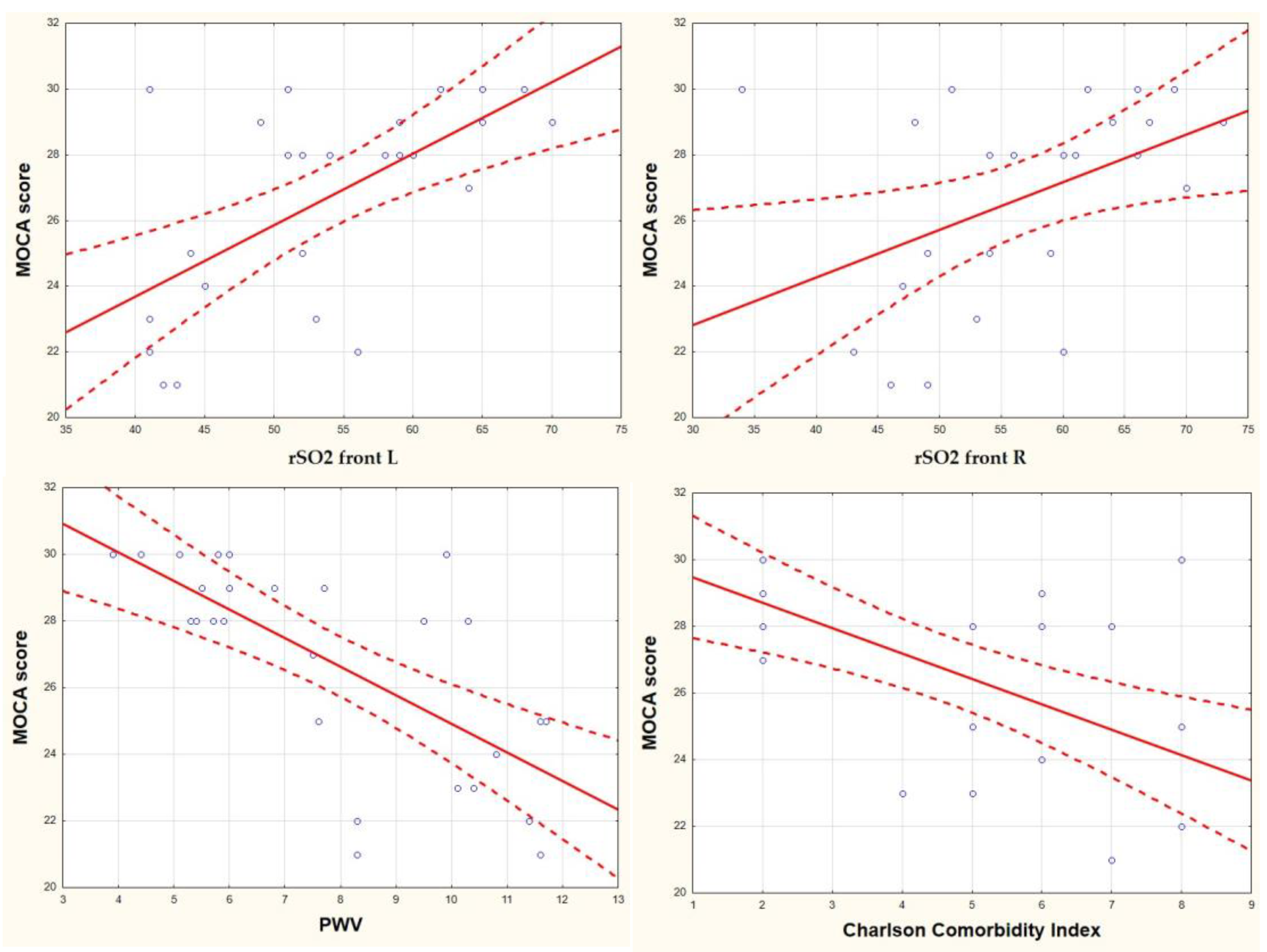
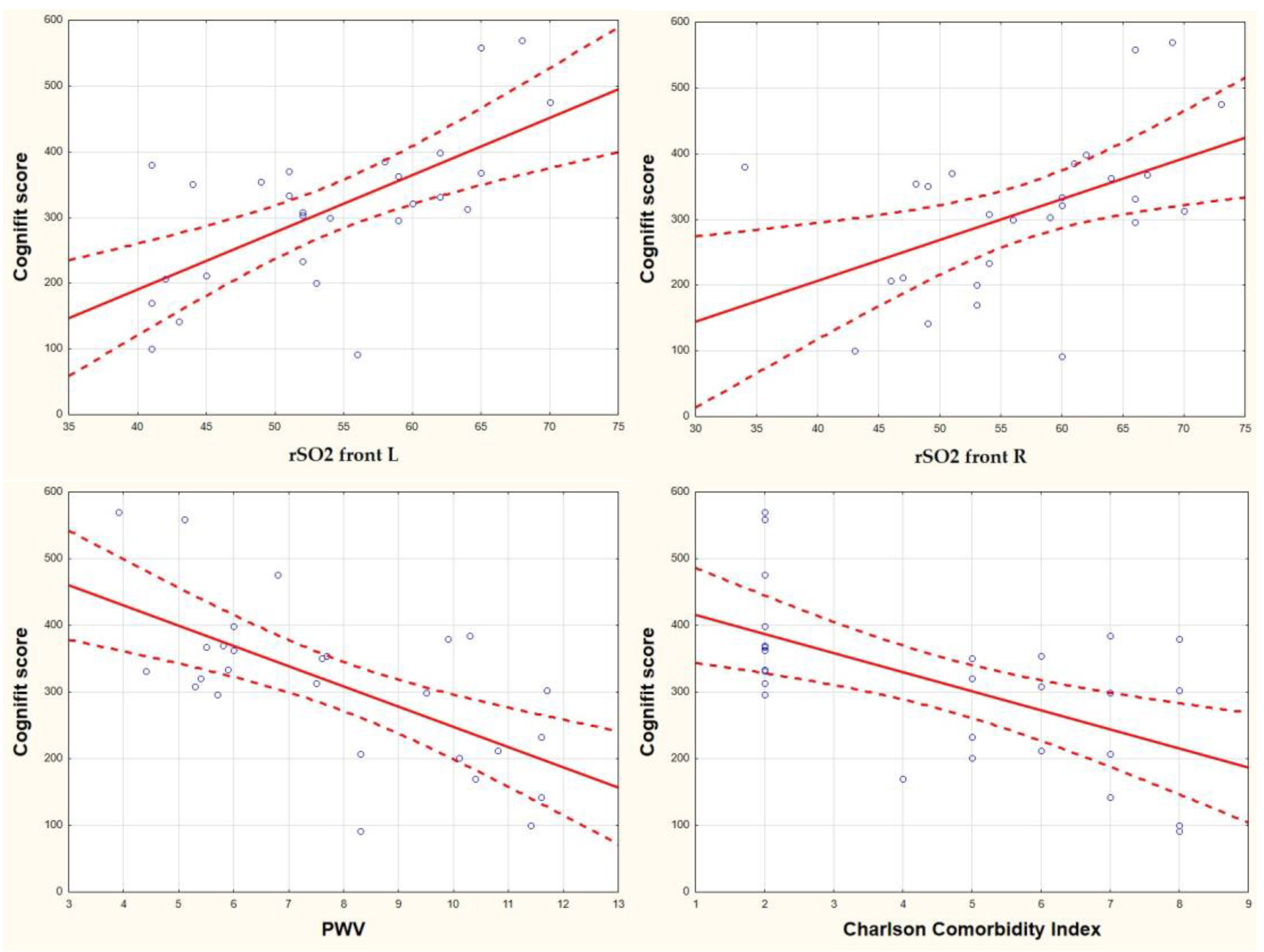
3.1. Univariate Analysis
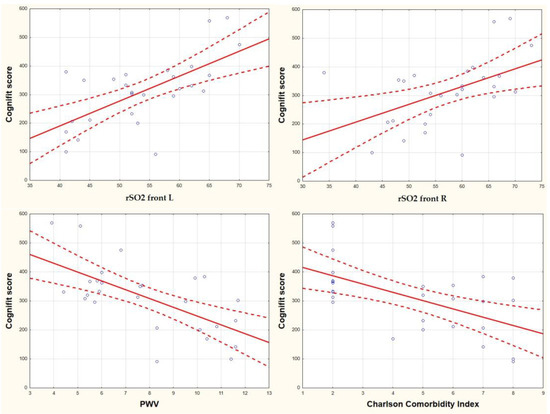
3.2. Multivariate Analysis
4. Discussion
5. Conclusions
Author Contributions
Funding
Institutional Review Board Statement
Informed Consent Statement
Data Availability Statement
Conflicts of Interest
References
- Thurlow, J.S.; Joshi, M.; Yan, G.; Norris, K.C.; Agodoa, L.Y.; Yuan, C.M.; Nee, R. Global Epidemiology of End-Stage Kidney Disease and Disparities in Kidney Replacement Therapy. Am. J. Nephrol. 2021, 52, 98–107. [Google Scholar] [CrossRef]
- Johansen, K.L.; Chertow, G.M.; Foley, R.N.; Gilbertson, D.T.; Herzog, C.A.; Ishani, A.; Israni, A.K.; Ku, E.; Tamura, M.K.; Li, S.; et al. US Renal Data System 2020 Annual Data Report: Epidemiology of Kidney Disease in the United States. Am. J. Kidney Dis. 2021, 77, A7–A8. [Google Scholar] [CrossRef]
- Olczyk, P.; Małyszczak, A.; Gołębiowskia, T.; Letachowicza, K.; Szymczaka, A.; Mazanowskaa, O.; Krajewskaa, M.; Kusztala, M. Arterial Stiffness Assessed by Oscillometric Method in Kidney Transplant, Predialysis, and Dialysis Patients. Transplant. Proc. 2020, 52, 2337–2340. [Google Scholar] [CrossRef]
- Hoshino, T.; Ookawara, S.; Goto, S.; Miyazawa, H.; Ito, K.; Ueda, Y.; Kaku, Y.; Hirai, K.; Nabata, A.; Mori, H.; et al. Evaluation of Cerebral Oxygenation in Patients Undergoing Long-Term Hemodialysis. Nephron Clin. Pract. 2014, 126, 57–61. [Google Scholar] [CrossRef]
- Viggiano, D.; Wagner, C.A.; Martino, G.; Nedergaard, M.; Zoccali, C.; Unwin, R.; Capasso, G. Mechanisms of cognitive dysfunction in CKD. Nat. Rev. Nephrol. 2020, 16, 452–469. [Google Scholar] [CrossRef]
- McAdams-DeMarco, M.A.; Daubresse, M.; Bae, S.; Gross, A.L.; Carlson, M.C.; Segev, D.L. Dementia, Alzheimer’s Disease, and Mortality after Hemodialysis Initiation. Clin. J. Am. Soc. Nephrol. 2018, 13, 1339–1347. [Google Scholar] [CrossRef]
- Raphael, K.L.; Wei, G.; Greene, T.; Baird, B.C.; Beddhu, S. Cognitive Function and the Risk of Death in Chronic Kidney Disease. Am. J. Nephrol. 2011, 35, 49–57. [Google Scholar] [CrossRef] [PubMed]
- Drew, D.A.; Weiner, D.E.; Tighiouart, H.; Scott, T.; Lou, K.; Kantor, A.; Fan, L.; Strom, J.A.; Singh, A.K.; Sarnak, M.J. Cognitive Function and All-Cause Mortality in Maintenance Hemodialysis Patients. Am. J. Kidney Dis. 2015, 65, 303–311. [Google Scholar] [CrossRef] [PubMed]
- Dautzenberg, G.; Lijmer, J.; Beekman, A. Diagnostic accuracy of the Montreal Cognitive Assessment (MoCA) for cognitive screening in old age psychiatry: Determining cutoff scores in clinical practice. Avoiding spectrum bias caused by healthy controls. Int. J. Geriatr. Psychiatry 2020, 35, 261–269. [Google Scholar] [CrossRef]
- Lee, S.H.; Cho, A.; Min, Y.-K.; Lee, Y.-K.; Jung, S. Comparison of the montreal cognitive assessment and the mini-mental state examination as screening tests in hemodialysis patients without symptoms. Ren. Fail. 2018, 40, 323–330. [Google Scholar] [CrossRef] [PubMed]
- Davis, D.H.; Creavin, S.T.; Yip, J.L.; Noel-Storr, A.H.; Brayne, C.; Cullum, S. Montreal Cognitive Assessment for the detection of dementia. Cochrane Database Syst. Rev. 2021, 13, CD010775. [Google Scholar]
- Yaneva, A.; Massaldjieva, R.; Mateva, N. Initial Adaptation of the General Cognitive Assessment Battery by CompBased-CAT TM for Bulgarian Older Adults. Exp. Aging Res. 2022, 48, 336–350. [Google Scholar] [CrossRef]
- Chan, F.H.-W.; Chan, T.-C.; Luk, J.K.-H.; Chu, L.-W. Validation study of Charlson Comorbidity Index in predicting mortality in Chinese older adults. Geriatr. Gerontol. Int. 2014, 14, 452–457. [Google Scholar] [CrossRef]
- Oliveros, H.; Buitrago, G. Validation and adaptation of the Charlson Comorbidity Index using administrative data from the Colombian health system: Retrospective cohort study. BMJ Open 2022, 12, e054058. [Google Scholar] [CrossRef]
- Topolski, T.D.; LoGerfo, J.; Patrick, D.L.; Williams, B.; Walwick, J.; Patrick, M.M. The Rapid Assessment of Physical Activity (RAPA) Among Older Adults. Prev. Chronic Dis. 2006, 3, A118. [Google Scholar]
- Lopes, A.A.; Lantz, B.; Morgenstern, H.; Wang, M.; Bieber, B.A.; Gillespie, B.W.; Li, Y.; Painter, P.; Jacobson, S.H.; Rayner, H.C.; et al. Associations of Self-Reported Physical Activity Types and Levels with Quality of Life, Depression Symptoms, and Mortality in Hemodialysis Patients. Clin. J. Am. Soc. Nephrol. 2014, 9, 1702–1712. [Google Scholar] [CrossRef]
- van Zwieten, A.; Wong, G.; Ruospo, M.; Palmer, S.C.; Teixeira-Pinto, A.; Barulli, M.R.; Iurillo, A.; Saglimbene, V.; Natale, P.; Gargano, L.; et al. Associations of Cognitive Function and Education Level With All-Cause Mortality in Adults on Hemodialysis: Findings From the COGNITIVE-HD Study. Am. J. Kidney Dis. 2019, 74, 452–462. [Google Scholar] [CrossRef] [PubMed]
- Neumann, D.; Mau, W.; Wienke, A.; Girndt, M. Peritoneal dialysis is associated with better cognitive function than hemodialysis over a one-year course. Kidney Int. 2018, 93, 430–438. [Google Scholar] [CrossRef]
- Dixon, B.S.; the FHN study; VanBuren, J.M.; Rodrigue, J.R.; Lockridge, R.S.; Lindsay, R.; Chan, C.; Rocco, M.V.; Oleson, J.J.; Beglinger, L.; et al. Cognitive changes associated with switching to frequent nocturnal hemodialysis or renal transplantation. BMC Nephrol. 2016, 17, 1–11. [Google Scholar] [CrossRef] [PubMed]
- Olczyk, P.; Kusztal, M.; Gołębiowski, T.; Letachowicz, K.; Krajewska, M. Cognitive Impairment in End Stage Renal Disease Patients Undergoing Hemodialysis: Markers and Risk Factors. Int. J. Environ. Res. Public Health 2022, 19, 2389. [Google Scholar] [CrossRef]
- Tiffin-Richards, F.E.; Costa, A.S.; Holschbach, B.; Frank, R.D.; Vassiliadou, A.; Krüger, T.; Kuckuck, K.; Gross, T.; Eitner, F.; Floege, J.; et al. The Montreal Cognitive Assessment (MoCA)—A Sensitive Screening Instrument for Detecting Cognitive Impairment in Chronic Hemodialysis Patients. PLoS ONE 2014, 9, e106700. [Google Scholar] [CrossRef]
- Wiloth, S.; Lemke, N.; Werner, C.; Hauer, K.; Szturm, T.; Patterson, M.D. Validation of a Computerized, Game-based Assessment Strategy to Measure Training Effects on Motor-Cognitive Functions in People with Dementia. JMIR Serious Games 2016, 4, e12. [Google Scholar] [CrossRef]
- Aubert, L.; Pichierri, S.; Hommet, C.; Camus, V.; Berrut, G.; De Decker, L. Association Between Comorbidity Burden and Rapid Cognitive Decline in Individuals with Mild to Moderate Alzheimer’s Disease. J. Am. Geriatr. Soc. 2015, 63, 543–547. [Google Scholar] [CrossRef] [PubMed]
- Kao, S.-L.; Wang, J.-H.; Chen, S.-C.; Li, Y.-Y.; Yang, Y.-L.; Lo, R.Y. Impact of Comorbidity Burden on Cognitive Decline: A Prospective Cohort Study of Older Adults with Dementia. Dement. Geriatr. Cogn. Disord. 2021, 50, 43–50. [Google Scholar] [CrossRef] [PubMed]
- Richerson, W.T.; Schmit, B.D.; Wolfgram, D.F. The Relationship between Cerebrovascular Reactivity and Cerebral Oxygenation during Hemodialysis. J. Am. Soc. Nephrol. 2022, 33, 1602–1612. [Google Scholar] [CrossRef] [PubMed]
- Findlay, M.D.; Dawson, J.; Dickie, D.A.; Forbes, K.P.; McGlynn, D.; Quinn, T.; Mark, P.B. Investigating the Relationship between Cerebral Blood Flow and Cognitive Function in Hemodialysis Patients. J. Am. Soc. Nephrol. 2019, 30, 147–158. [Google Scholar] [CrossRef] [PubMed]
- Goldberg, E.; Podell, K.; Lovell, M. Lateralization of frontal lobe functions and cognitive novelty. J. Neuropsychiatry Clin. Neurosci. 1994, 6, 371–378. [Google Scholar] [CrossRef]
- Gao, Y.; Nie, K.; Huang, B.; Mei, M.; Guo, M.; Xie, S.; Huang, Z.; Wang, L.; Zhao, J.; Zhang, Y.; et al. Changes of brain structure in Parkinson’s disease patients with mild cognitive impairment analyzed via VBM technology. Neurosci. Lett. 2017, 658, 121–132. [Google Scholar] [CrossRef]
- Kim, E.D.; Meoni, L.A.; Jaar, B.G.; Shafi, T.; Kao, W.H.L.; Estrella, M.M.; Parekh, R.; Sozio, S.M. Association of Arterial Stiffness and Central Pressure With Cognitive Function in Incident Hemodialysis Patients: The PACE Study. Kidney Int. Rep. 2017, 2, 1149–1159. [Google Scholar] [CrossRef] [PubMed]
- Erickson, K.I.; Hillman, C.; Stillman, C.M.; Ballard, R.M.; Bloodgood, B.; Conroy, D.E.; Macko, R.; Marquez, D.X.; Petruzzello, S.J.; Powell, K.E.; et al. Physical Activity, Cognition, and Brain Outcomes: A Review of the 2018 Physical Activity Guidelines. Med. Sci. Sports Exerc. 2019, 51, 1242–1251. [Google Scholar] [CrossRef]
- Kumar, M.; Srivastava, S.; Muhammad, T. Relationship between physical activity and cognitive functioning among older Indian adults. Sci. Rep. 2022, 12, 1–13. [Google Scholar] [CrossRef]
- Bogataj, Š.; Mesarič, K.K.; Pajek, M.; Petrušič, T.; Pajek, J. Physical exercise and cognitive training interventions to improve cognition in hemodialysis patients: A systematic review. Front. Public Health 2022, 10. [Google Scholar] [CrossRef] [PubMed]
- Amini, R.; Sahli, M.; Ganai, S. Cigarette smoking and cognitive function among older adults living in the community. Aging Neuropsychol. Cogn. 2021, 28, 616–631. [Google Scholar] [CrossRef] [PubMed]
- Lass, P.; Buscombe, J.R.; Harber, M.; Davenport, A.; Hilson, A.J.W. Cognitive Impairment in Patients With Renal Failure Is Associated With Multiple-Infarct Dementia. Clin. Nucl. Med. 1999, 24, 561–565. [Google Scholar] [CrossRef] [PubMed]
- One of the Longest Living Dialysis Patients Shares How She Lives Life on Her Own Terms. Available online: https://www.kidneybuzz.com/one-of-the-longest-living-dialysis-patients-shares-how-she-lives-on-her-terms/2018/2/22/one-of-the-longest-living-dialysis-patients-shares-how-she-lives-on-her-terms (accessed on 5 January 2023).







| Mean | Median (IQR)/% | |
|---|---|---|
| Age | 51.3 | 53 (34; 68) |
| BMI | 25.5 | 24.5 (21.5; 32) |
| Dialysis vintage | 2.37 | 2 (0.5; 3) |
| Smoking | 13 | 48% |
| Diabetes | 6 | 22.20% |
| Hypertension | 16 | 59.20% |
| Hemoglobin g/dL | 10.7 | 10.2 (9.6; 11.1) |
| Urea mg/dL | 130 | 134 (78; 175) |
| Potassium mmol/L | 5.5 | 5.69 (3.6; 6.1) |
| Sodium mmol/L | 138 | 140 (131; 145) |
| Calcium mg/dL | 8.9 | 8.7 (7.3; 12.1) |
| Phosphorus mg/L | 6.3 | 5.9 (3.1; 10.8) |
| Parathyroid hormone pg/mL | 829 | 857 (30; 1547) |
| Residual diuresis (>500 mL) | 12 | 44.40% |
| Charlson Comorbidity Index (CCI) | 4.6 | 5 (2; 7) |
| rSO2 front R ** | 57% | 59 (49; 56) |
| rSO2 front L | 54% | 53 (49; 66) |
| MoCA | 25.7 | 28 (23; 29) |
| RAPA | 2.8 | 3 (0; 6) |
| Cognifit total score | 312.7 | 321 (212; 371) |
| Processing speed | 269 | 232 (117; 382) |
| Shifting of attention | 261 | 214 (58; 384) |
| Visual short-term memory | 254 | 199 (27; 350) |
| Auditory short-term memory | 315 | 337 (200; 403) |
| Working memory | 285 | 256 (188; 423) |
| Naming | 327 | 373 (98; 528) |
| Coeff. | SE | t-Stat | Stand Coeff. | p-Value | |
|---|---|---|---|---|---|
| PWV | −0.56 | 0.16 | −3.5 | −0.46 | 0.002 |
| RAPA | 0.81 | 0.21 | 3.91 | 0.51 | 0.001 |
| Coeff. | SE | t-Stat | Stand Coeff. | p-Value | |
|---|---|---|---|---|---|
| PWV | −22.86 | 7.75 | −2.95 | −0.48 | 0.007 |
| RAPA | 20.87 | 9.99 | 2.09 | 0.34 | 0.047 |
| Coeff. | SE | t-Stat | Stand Coeff. | p-Value | |
|---|---|---|---|---|---|
| rSO2 L | 0.14 | 0.05 | 2.88 | 0.39 | 0.008 |
| RAPA | 0.89 | 0.21 | 4.15 | 0.56 | 0.0003 |
| Coeff. | SE | t-Stat | Stand Coeff. | p-Value | |
|---|---|---|---|---|---|
| rSO2 L | 6.68 | 2.09 | 3.2 | 0.5 | 0.004 |
| RAPA | 21.79 | 9.52 | 2.29 | 0.36 | 0.031 |
Disclaimer/Publisher’s Note: The statements, opinions and data contained in all publications are solely those of the individual author(s) and contributor(s) and not of MDPI and/or the editor(s). MDPI and/or the editor(s) disclaim responsibility for any injury to people or property resulting from any ideas, methods, instructions or products referred to in the content. |
© 2023 by the authors. Licensee MDPI, Basel, Switzerland. This article is an open access article distributed under the terms and conditions of the Creative Commons Attribution (CC BY) license (https://creativecommons.org/licenses/by/4.0/).
Share and Cite
Olczyk, P.; Jerzak, P.; Letachowicz, K.; Gołębiowski, T.; Krajewska, M.; Kusztal, M. The Influence of Healthy Habits on Cognitive Functions in a Group of Hemodialysis Patients. J. Clin. Med. 2023, 12, 2042. https://doi.org/10.3390/jcm12052042
Olczyk P, Jerzak P, Letachowicz K, Gołębiowski T, Krajewska M, Kusztal M. The Influence of Healthy Habits on Cognitive Functions in a Group of Hemodialysis Patients. Journal of Clinical Medicine. 2023; 12(5):2042. https://doi.org/10.3390/jcm12052042
Chicago/Turabian StyleOlczyk, Piotr, Patryk Jerzak, Krzysztof Letachowicz, Tomasz Gołębiowski, Magdalena Krajewska, and Mariusz Kusztal. 2023. "The Influence of Healthy Habits on Cognitive Functions in a Group of Hemodialysis Patients" Journal of Clinical Medicine 12, no. 5: 2042. https://doi.org/10.3390/jcm12052042
APA StyleOlczyk, P., Jerzak, P., Letachowicz, K., Gołębiowski, T., Krajewska, M., & Kusztal, M. (2023). The Influence of Healthy Habits on Cognitive Functions in a Group of Hemodialysis Patients. Journal of Clinical Medicine, 12(5), 2042. https://doi.org/10.3390/jcm12052042

