High Plasma tPAPAI-1C Levels May Be Related to a Poor Prognosis in Patients with Severe or Critical COVID-19: A Single-Center Retrospective Study
Abstract
1. Introduction
2. Materials and Methods
2.1. Patients
2.2. Data Collection
2.3. Statistical Analysis
3. Results
3.1. Demographic and Clinical Characteristics
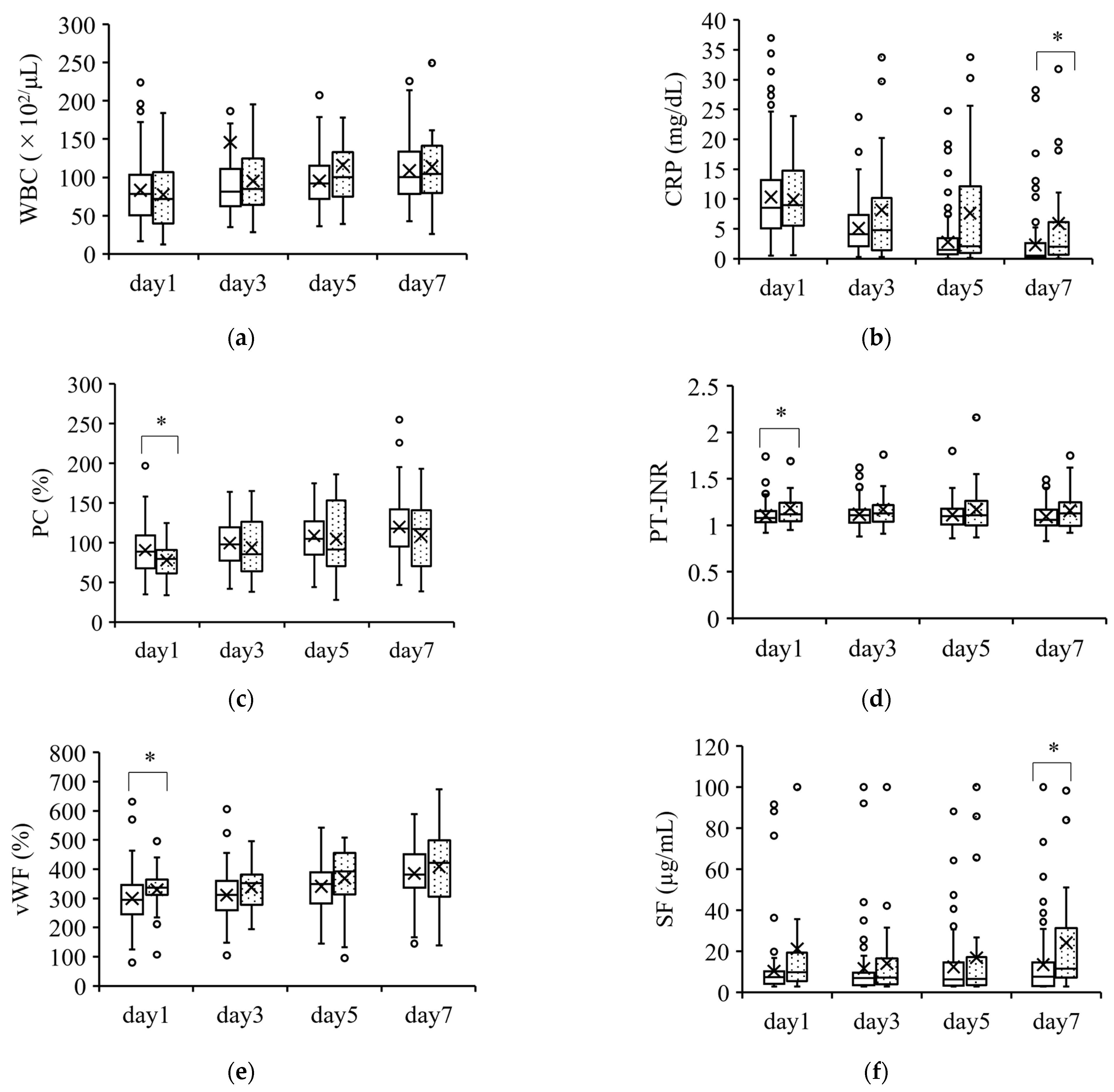
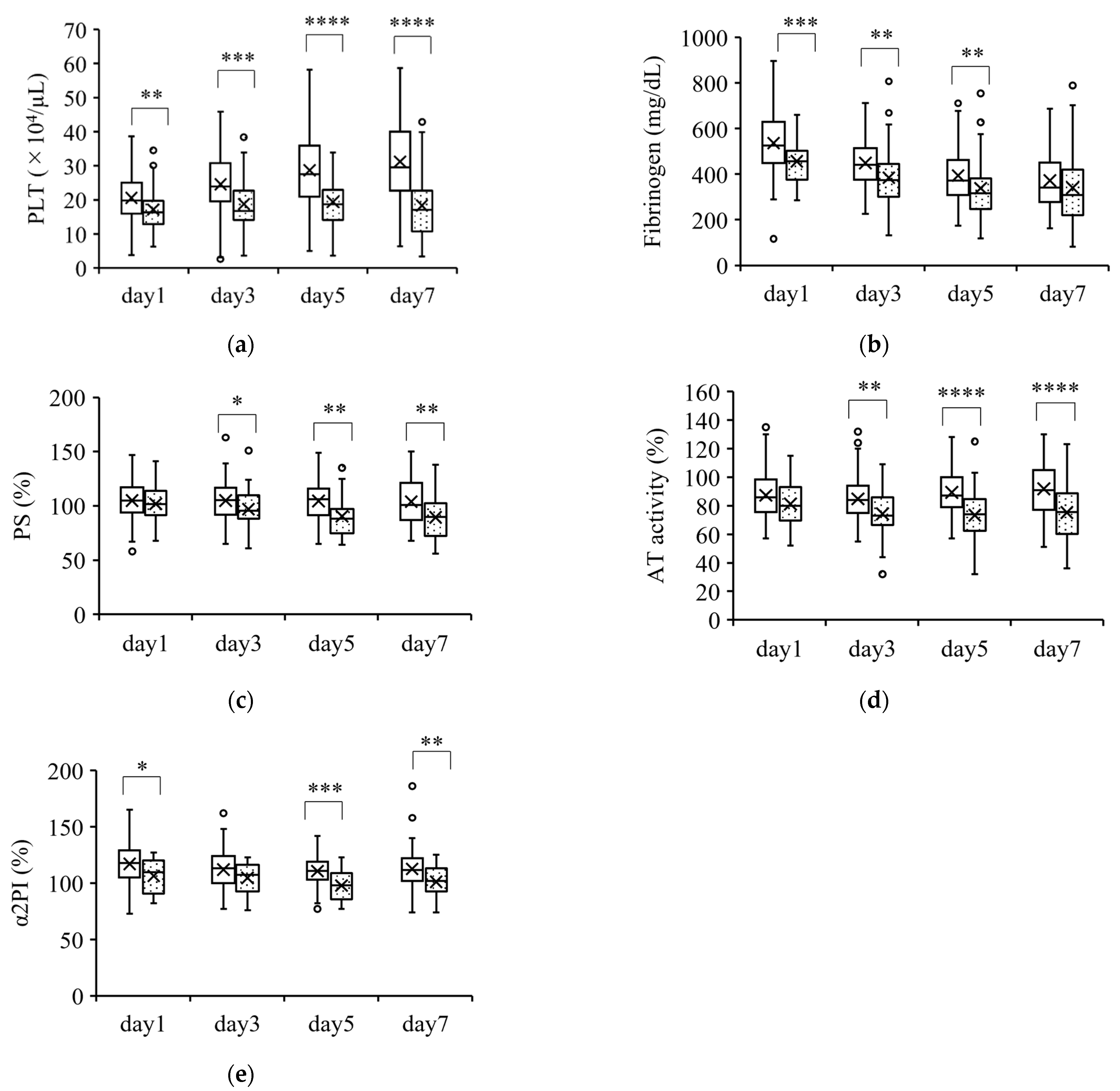
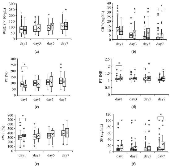
3.2. Hematological Parameters
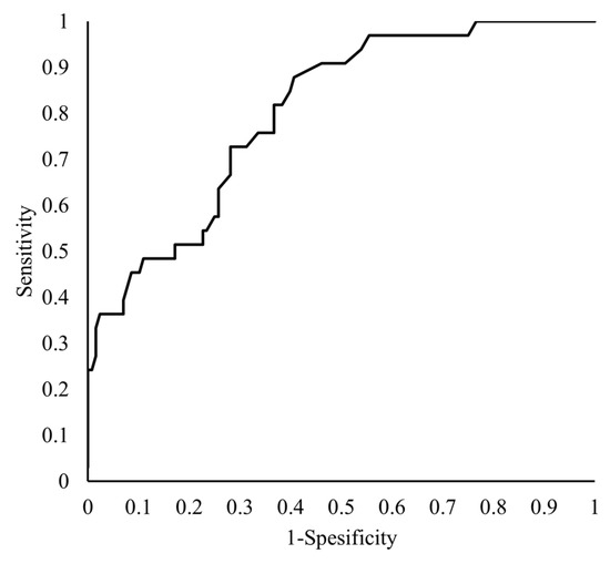
3.3. tPAPAI-1 May Be a Prognostic Marker of COVID-19 Severity
4. Discussion
5. Conclusions
Author Contributions
Funding
Institutional Review Board Statement
Informed Consent Statement
Data Availability Statement
Acknowledgments
Conflicts of Interest
References
- Wu, Z.; McGoogan, J.M. Characteristics of and important lessons from the coronavirus disease 2019 (COVID-19) outbreak in China. JAMA 2020, 323, 1239–1242. [Google Scholar] [CrossRef] [PubMed]
- Tan, E.; Song, J.; Deane, A.M.; Plummer, M.P. Global impact of coronavirus disease 2019 infection requiring admission to the ICU: A systematic review and meta-analysis. Chest 2021, 159, 524–536. [Google Scholar] [CrossRef] [PubMed]
- Serafim, R.B.; Póvoa, P.; Souza-Dantas, V.; Kalil, A.C.; Salluh, J.I.F. Clinical course and outcomes of critically ill patients with COVID-19 infection: A systematic review. Clin. Microbiol. Infect. 2021, 27, 47–54. [Google Scholar] [CrossRef] [PubMed]
- Mehta, P.; McAuley, D.F.; Brown, M.; Sanchez, E.; Tattersall, R.S.; Manson, J.J. COVID-19: Consider cytokine storm syndromes and immunosuppression. Lancet 2020, 395, 1033–1034. [Google Scholar] [CrossRef] [PubMed]
- Qin, C.; Zhou, L.; Hu, Z.; Zhang, S.; Yang, S.; Tao, Y.; Xie, C.; Ma, K.; Shang, K.; Wang, W.; et al. Dysregulation of immune response in patients with coronavirus 2019 (COVID-19) in Wuhan, China. Clin. Infect Dis. 2020, 71, 762–768. [Google Scholar] [CrossRef]
- Tay, M.Z.; Poh, C.M.; Rénia, L.; MacAry, P.A.; Ng, L.F.P. The trinity of COVID-19: Immunity, inflammation and intervention. Nat. Rev. Immunol. 2020, 20, 363–374. [Google Scholar] [CrossRef]
- Bonaventura, A.; Vecchié, A.; Wang, T.S.; Lee, E.; Cremer, P.C.; Carey, B.; Rajendram, P.; Hudock, K.M.; Korbee, L.; Van Tassell, B.W.; et al. Targeting GM-CSF in COVID-19 pneumonia: Rationale and strategies. Front. Immunol. 2020, 11, 1625. [Google Scholar] [CrossRef]
- Lodigiani, C.; Iapichino, G.; Carenzo, L.; Cecconi, M.; Ferrazzi, P.; Sebastian, T.; Kucher, N.; Studt, J.D.; Sacco, C.; Bertuzzi, A.; et al. Humanitas COVID-19 Task Force, Venous and arterial thromboembolic complications in COVID-19 patients admitted to an academic hospital in Milan, Italy. Thromb. Res. 2020, 191, 9–14. [Google Scholar] [CrossRef]
- Gratz, J.; Wiegele, M.; Maleczek, M.; Herkner, H.; Schöchl, H.; Chwala, E.; Knöbl, P.; Schaden, E. Risk of clinically relevant venous thromboembolism in critically ill patients with COVID-19: A systematic review and meta-analysis. Front. Med. (Lausanne) 2021, 8, 647917. [Google Scholar] [CrossRef]
- Klok, F.A.; Kruip, M.J.H.A.; van der Meer, N.J.M.; Arbous, M.S.; Gommers, D.; Kant, K.M.; Kaptein, F.H.J.; van Paassen, J.; Stals, M.A.M.; Huisman, M.V.; et al. Confirmation of the high cumulative incidence of thrombotic complications in critically ill ICU patients with COVID-19: An updated analysis. Thromb. Res. 2020, 191, 148–150. [Google Scholar] [CrossRef]
- Worth, H.; Helmlinger, K.; Raj, R.; Heidel, E.; Lands, R. Thromboembolic rates are similar between intensive care unit and nonintensive care unit hospitalized patients with severe acute respiratory syndrome coronavirus 2 (SARS-CoV-2): A retrospective cohort study. Clin. Appl. Thromb. Hemost. 2021, 27, 10760296211053315. [Google Scholar] [CrossRef] [PubMed]
- Klok, F.A.; Kruip, M.; van der Meer, N.J.M.; Arbous, M.S.; Gommers, D.A.M.P.J.; Kant, K.M.; Kaptein, F.H.J.; van Paassen, J.; Stals, M.A.M.; Huisman, M.V.; et al. Incidence of thrombotic complications in critically ill ICU patients with COVID-19. Thromb. Res. 2020, 191, 145–147. [Google Scholar] [CrossRef] [PubMed]
- Tang, N.; Li, D.; Wang, X.; Sun, Z. Abnormal coagulation parameters are associated with poor prognosis in patients with novel coronavirus pneumonia. J. Thromb. Haemost. 2020, 8, 844–847. [Google Scholar] [CrossRef] [PubMed]
- Yu, H.H.; Qin, C.; Chen, M.; Wang, W.; Tian, D.S. D-dimer level is associated with the severity of COVID-19. Thromb. Res. 2020, 195, 219–225. [Google Scholar] [CrossRef]
- Short, S.A.P.; Gupta, S.; Brenner, S.K.; Hayek, S.S.; Srivastava, A.; Shaefi, S.; Singh, H.; Wu, B.; Bagchi, A.; Al-Samkari, H.; et al. STOP-COVID Investigators. d-dimer and death in critically ill patients with coronavirus disease 2019. Crit. Care Med. 2021, 49, e500–e511. [Google Scholar] [CrossRef] [PubMed]
- Yao, Y.; Cao, J.; Wang, Q.; Shi, Q.; Liu, K.; Luo, Z.; Chen, X.; Chen, S.; Yu, K.; Huang, Z.; et al. D-dimer as a biomarker for disease severity and mortality in COVID-19 patients: A case-control study. J. Intensive Care 2020, 8, 49. [Google Scholar] [CrossRef]
- Living Guidance for Clinical Management of COVID-19. Available online: https://www.who.int/publications/i/item/WHO-2019-nCoV-clinical-2021-2 (accessed on 23 November 2021).
- Knaus, W.A.; Draper, E.A.; Wagner, D.P.; Zimmerman, J.E. APACHE II: A severity of disease classification system. Crit. Care Med. 1985, 13, 818–829. [Google Scholar] [CrossRef]
- Vincent, J.L.; Moreno, R.; Takala, J.; Willatts, S.; De Mendonça, A.; Bruining, H.; Reinhart, C.K.; Suter, P.M.; Thijs, L.G. The SOFA (Sepsis-related Organ Failure Assessment) score to describe organ dysfunction/failure. On behalf of the Working Group on Sepsis-Related Problems of the European Society of Intensive Care Medicine. Intensive Care Med. 1996, 22, 707–710. [Google Scholar] [CrossRef]
- Charlson, M.E.; Pompei, P.; Ales, K.L.; MacKenzie, C.R. A new method of classifying prognostic comorbidity in longitudinal studies: Development and validation. J. Chronic Dis. 1987, 40, 373–383. [Google Scholar] [CrossRef]
- Quan, H.; Li, B.; Couris, C.M.; Fushimi, K.; Graham, P.; Hider, P.; Januel, J.M.; Sundararajan, V. Updating and validating the Charlson comorbidity index and score for risk adjustment in hospital discharge abstracts using data from 6 countries. Am. J. Epidemiol. 2011, 173, 676–682. [Google Scholar] [CrossRef]
- Zhang, Y.; He, L.; Chen, H.; Lu, S.; Xiong, Y.; Liu, J.; Zheng, Y.; Wang, S.; Liu, L. Manifestations of blood coagulation and its relation to clinical outcomes in severe COVID-19 patients: Retrospective analysis. Int. J. Lab. Hematol. 2020, 42, 766–772. [Google Scholar] [CrossRef] [PubMed]
- Panigada, M.; Bottino, N.; Tagliabue, P.; Grasselli, G.; Novembrino, C.; Chantarangkul, V.; Pesenti, A.; Peyvandi, F.; Tripodi, A. Hypercoagulability of COVID-19 patients in intensive care unit: A report of thromboelastography findings and other parameters of hemostasis. J. Thromb. Haemost. 2020, 18, 1738–1742. [Google Scholar] [CrossRef] [PubMed]
- Spiezia, L.; Boscolo, A.; Poletto, F.; Cerruti, L.; Tiberio, I.; Campello, E.; Navalesi, P.; Simioni, P. COVID-19-related severe hypercoagulability in patients admitted to intensive care unit for acute respiratory failure. Thromb. Haemost. 2020, 120, 998–1000. [Google Scholar] [CrossRef] [PubMed]
- Ranucci, M.; Sitzia, C.; Baryshnikova, E.; Di Dedda, U.; Cardani, R.; Martelli, F.; Corsi Romanelli, M. Covid-19-associated coagulopathy: Biomarkers of thrombin generation and fibrinolysis leading the outcome. J. Clin. Med. 2020, 9, 3487. [Google Scholar] [CrossRef]
- Wright, F.L.; Vogler, T.O.; Moore, E.E.; Moore, H.B.; Wohlauer, M.V.; Urban, S.; Nydam, T.L.; Moore, P.K.; McIntyre, R.C., Jr. Fibrinolysis shutdown correlation with thromboembolic events in severe COVID-19 infection. J. Am. Coll. Surg. 2020, 231, 193–203. [Google Scholar] [CrossRef]
- Ranucci, M.; Ballotta, A.; Di Dedda, U.; Baryshnikova, E.; Dei Poli, M.; Resta, M.; Falco, M.; Albano, G.; Menicanti, L. The procoagulant pattern of patients with COVID-19 acute respiratory distress syndrome. J. Thromb. Haemost. 2020, 18, 1747–1751. [Google Scholar] [CrossRef]
- Martín-Rojas, R.M.; Pérez-Rus, G.; Delgado-Pinos, V.E.; Domingo-González, A.; Regalado-Artamendi, I.; Alba-Urdiales, N.; Demelo-Rodríguez, P.; Monsalvo, S.; Rodríguez-Macías, G.; Ballesteros, M.; et al. COVID-19 coagulopathy: An in-depth analysis of the coagulation system. Eur. J. Haematol. 2020, 105, 741–750. [Google Scholar] [CrossRef]
- Gando, S.; Shiraishi, A.; Yamakawa, K.; Ogura, H.; Saitoh, D.; Fujishima, S.; Mayumi, T.; Kushimoto, S.; Abe, T.; Shiino, Y.; et al. Role of disseminated intravascular coagulation in severe sepsis. Thromb. Res. 2019, 178, 182–188. [Google Scholar] [CrossRef]
- Iba, T.; Levy, J.H.; Warkentin, T.E.; Thachil, J.; van der Poll, T.; Levi, M.; Scientific and Standardization Committee on DIC, and the Scientific and Standardization Committee on Perioperative and Critical Care of the International Society on Thrombosis and Haemostasis. Diagnosis and management of sepsis-induced coagulopathy and disseminated intravascular coagulation. J. Thromb. Haemost. 2019, 17, 1989–1994. [Google Scholar] [CrossRef]
- Ackermann, M.; Verleden, S.E.; Kuehnel, M.; Haverich, A.; Welte, T.; Laenger, F.; Vanstapel, A.; Werlein, C.; Stark, H.; Tzankov, A.; et al. Pulmonary Vascular Endothelialitis, Thrombosis, and Angiogenesis in COVID-19. N. Engl. J. Med. 2020, 383, 120–128. [Google Scholar] [CrossRef]
- Vassiliou, A.G.; Keskinidou, C.; Jahaj, E.; Gallos, P.; Dimopoulou, I.; Kotanidou, A.; Orfanos, S.E. ICU admission levels of endothelial biomarkers as predictors of mortality in critically ill COVID-19 patients. Cells 2021, 10, 186. [Google Scholar] [CrossRef] [PubMed]
- Goshua, G.; Pine, A.B.; Meizlish, M.L.; Chang, C.H.; Zhang, H.; Bahel, P.; Baluha, A.; Bar, N.; Bona, R.D.; Burns, A.J.; et al. Endotheliopathy in COVID-19-associated coagulopathy: Evidence from a single-centre, cross-sectional study. Lancet Haematol. 2020, 7, e575–e582. [Google Scholar] [CrossRef] [PubMed]
- Alessi, M.C.; Juhan-Vague, I.; Declerck, P.J.; Anfosso, F.; Gueunoun, E.; Collen, D. Correlations between t-PA and PAI-1 antigen and activity and t-PA/PAI-1 complexes in plasma of control subjects and of patients with increased t-PA or PAI-1 levels. Thromb. Res. 1990, 60, 509–516. [Google Scholar] [CrossRef] [PubMed]
- Jin, X.; Duan, Y.; Bao, T.; Gu, J.; Chen, Y.; Li, Y.; Mao, S.; Chen, Y.; Xie, W. The values of coagulation function in COVID-19 patients. PLoS ONE 2020, 15, e0241329. [Google Scholar] [CrossRef]




| Characteristics | Total (n = 164) | Survivors (n = 131) | Nonsurvivors (n = 33) | p Value | |
|---|---|---|---|---|---|
| Age in years mean ± SD | 62.5 ± 12.9 | 61.0 ± 13.2 | 69.1 ± 9.5 | 0.0023 | |
| Sex | Male, n (%) | 117 (71.3) | 98 (74.8) | 19 (57.6) | 0.0561 |
| Female, n (%) | 47 (28.7) | 33 (25.2) | 14 (42.4) | ||
| BMI, median (IQR) | 24.8 (22.8–28.1) | 24.9 (22.9–27.8) | 23.9 (21.8–29.2) | 0.7568 | |
| History of smoking, n (%) | 86 (52.4) | 68 (51.9) | 17 (51.5) | 1.0000 | |
| Charlson comorbidity index, median (IQR) | 1 (0–2) | 1 (0–2) | 1.5 (1–3) | 0.0016 | |
| APACHE II, median (IQR) | 11 (7–17) | 9 (6–14.3) | 16 (13–20.5) | <0.0001 | |
| SOFA score; median (IQR) | 3 (2–6) | 2 (2–5) | 7 (5.3–9) | <0.0001 | |
| ISTH overt DIC (≥5 points), n (%) | 8 (4.9) | 2 (1.5) | 6 (18.2) | 0.0009 | |
| Severity | Severe, n (%) | 84 (51.2) | 82 (62.6) | 2 (6.1) | <0.0001 |
| Critical, n (%) | 80 (48.8) | 49 (37.4) | 31 (93.9) | <0.0001 | |
| Comorbidities | Total (n = 164) | Survivors (n = 131) | Nonsurvivors (n = 33) | p Value |
|---|---|---|---|---|
| Hypertension, n (%) | 78 (47.6) | 58 (44.3) | 20 (60.6) | 0.1189 |
| Diabetes, n (%) | 66 (40.2) | 50 (38.2) | 16 (48.5) | 0.3229 |
| Chronic heart disease, n (%) | 32 (19.5) | 23 (17.6) | 9 (27.3) | 0.2236 |
| Chronic lung disease, n (%) | 29 (17.7) | 21 (16.0) | 8 (24.2) | 0.3080 |
| Stroke, n (%) | 16 (9.8) | 10 (7.6) | 6 (18.2) | 0.0956 |
| Chronic kidney disease, n (%) | 13 (7.9) | 8 (6.1) | 5 (15.2) | 0.1399 |
| Malignancy, n (%) | 11 (6.7) | 6 (4.6) | 4 (12.1) | 0.1163 |
| Chronic liver disease, n (%) | 11 (6.7) | 7 (5.3) | 4 (12.1) | 0.2341 |
| Immunosuppressive disease, n (%) | 10 (6.1) | 8 (6.1) | 2 (6.1) | 1.0000 |
| Treatments | Total (n = 164) | Survivors (n = 131) | Nonsurvivors (n = 33) | p Value |
|---|---|---|---|---|
| Mechanical ventilation, n (%) | 81 (49.4) | 50 (38.2) | 31 (93.9) | <0.0001 |
| High-flow nasal canal, n (%) | 63 (38.4) | 53 (40.5) | 10 (30.3) | 0.3220 |
| Extracorporeal membrane oxygenation, n (%) | 10 (6.1) | 5 (3.9) | 5 (15.2) | 0.0291 |
| Renal replacement therapy, n (%) | 16 (9.8) | 3 (2.3) | 13 (39.4) | <0.0001 |
| Prone position, n (%) | 66 (40.2) | 38 (29.0) | 28 (84.9) | <0.0001 |
| Corticosteroids, n (%) | 158 (96.3) | 128 (97.7) | 30 (90.9) | 0.0965 |
| Remdesivir, n (%) | 84 (51.2) | 73 (55.7) | 11 (33.3) | 0.0312 |
| Tocilizumab, n (%) | 82 (50.0) | 63 (48.1) | 19 (57.6) | 0.4363 |
| Heparin, n (%) | 164 (100) | 131 (100) | 33 (100) | 1.0000 |
| Use of antibiotics in secondary infections, n (%) | 80 (48.8) | 49 (37.4) | 31 (93.9) | <0.0001 |
| Parameters | Reference Range | Survivors (n = 131) | Nonsurvivors (n = 33) | p Value |
|---|---|---|---|---|
| WBC (/µL) | 4000–9000 | 11,420 (9110–14130) | 13,610 (9710–15138) | 0.1092 |
| CRP (mg/dL) | ≤0.3 | 9.4 (5.5–14.5) | 11.0 (6.4–21.8) | 0.2045 |
| PLT (×104/µL) | 15–35 | 19 (16–25) | 14 (9–19) | 0.0006 |
| PT-INR | 0.85–1.15 | 1.15(1.07–1.26) | 1.25 (1.13–1.52) | 0.0024 |
| APTT (sec) | 26.1–35.6 | 37.8 (32.5–47.2) | 57.0 (42.9–97.1) | <0.0001 |
| Fibrinogen (mg/dL) | 150–450 | 342 (284–429) | 270(221–353) | 0.0022 |
| SF (µg/mL) | <7 | 10.2 (6.1–22.6) | 23.3 (10.2–62.1) | 0.0004 |
| TAT (ng/mL) | ≤3 | 6.8 (4–13.8) | 13.6 (8.0–20.2) | 0.0023 |
| vWF (%) | 50–155 | 380(326–444) | 399 (359–507) | 0.0284 |
| α2PI (%) | 85–115 | 109 (99–117) | 92 (85–109) | 0.0003 |
| PIC (µg/mL) | ≤0.8 | 2.1 (1.6–2.8) | 1.9 (1.3–2.9) | 0.1495 |
| D-dimer (µg/mL) | ≤0.5 | 2.0 (1.1–3.7 | 5.9 (3.3–13.1) | <0.0001 |
| FDP (µg/mL) | ≤5 | 5.5 (5.0–10.5) | 13.4 (9.0–29.8) | <0.0001 |
| AT activity (%) | 80–120 | 80 (69–89) | 69 (57–81) | 0.0001 |
| TM (U/mL) | 12.1–24.9 | 11.5 (4.2–18.6) | 18.8 (5.5–27.4) | 0.0061 |
| PC (%) | 70–150 | 84 (68–109) | 70 (51–84) | 0.0044 |
| PS (%) | 73–137 | 97 (85–109) | 86 (70–96) | 0.0038 |
| tPAPAI-1C (ng/mL) | 0–50 | 54.0 (39.0–75.0) | 84.5 (68.0–130.5) | <0.0001 |
Disclaimer/Publisher’s Note: The statements, opinions and data contained in all publications are solely those of the individual author(s) and contributor(s) and not of MDPI and/or the editor(s). MDPI and/or the editor(s) disclaim responsibility for any injury to people or property resulting from any ideas, methods, instructions or products referred to in the content. |
© 2023 by the authors. Licensee MDPI, Basel, Switzerland. This article is an open access article distributed under the terms and conditions of the Creative Commons Attribution (CC BY) license (https://creativecommons.org/licenses/by/4.0/).
Share and Cite
Shirai, K.; Ishikawa, M.; Kobayashi, T.; Sato, K.; Murakami, H.; Kohama, K.; Manbo, N.; Hasegawa, K.; Hirata, J. High Plasma tPAPAI-1C Levels May Be Related to a Poor Prognosis in Patients with Severe or Critical COVID-19: A Single-Center Retrospective Study. J. Clin. Med. 2023, 12, 2019. https://doi.org/10.3390/jcm12052019
Shirai K, Ishikawa M, Kobayashi T, Sato K, Murakami H, Kohama K, Manbo N, Hasegawa K, Hirata J. High Plasma tPAPAI-1C Levels May Be Related to a Poor Prognosis in Patients with Severe or Critical COVID-19: A Single-Center Retrospective Study. Journal of Clinical Medicine. 2023; 12(5):2019. https://doi.org/10.3390/jcm12052019
Chicago/Turabian StyleShirai, Kunihiro, Michiko Ishikawa, Tomoyuki Kobayashi, Kiyoko Sato, Hiromoto Murakami, Keisuke Kohama, Naomi Manbo, Kana Hasegawa, and Junichi Hirata. 2023. "High Plasma tPAPAI-1C Levels May Be Related to a Poor Prognosis in Patients with Severe or Critical COVID-19: A Single-Center Retrospective Study" Journal of Clinical Medicine 12, no. 5: 2019. https://doi.org/10.3390/jcm12052019
APA StyleShirai, K., Ishikawa, M., Kobayashi, T., Sato, K., Murakami, H., Kohama, K., Manbo, N., Hasegawa, K., & Hirata, J. (2023). High Plasma tPAPAI-1C Levels May Be Related to a Poor Prognosis in Patients with Severe or Critical COVID-19: A Single-Center Retrospective Study. Journal of Clinical Medicine, 12(5), 2019. https://doi.org/10.3390/jcm12052019

