Development and Assessment of a Novel Predictive Nomogram to Predict the Risk of Secondary CR-GNB Bloodstream Infections among CR-GNB Carriers in the Gastroenterology Department: A Retrospective Case–Control Study
Abstract
1. Introduction
2. Materials and Methods
2.1. Study Design and Setting
2.2. Microbiology
2.3. Variables and Definitions
2.4. Statistical Analysis
3. Results
3.1. Characteristics of the Included Patients
3.2. An Analysis of Multivariate and Univariate Logistic Regression to Identify the Risk Factors for Secondary CR-GNB BSI from Colonization
3.3. Feature Selection
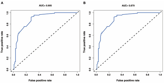
3.4. Model Development for Individualized Prediction
3.5. Clinical Use
4. Discussion
5. Conclusions
Author Contributions
Funding
Institutional Review Board Statement
Informed Consent Statement
Data Availability Statement
Acknowledgments
Conflicts of Interest
References
- Babiker, A.; Clarke, L.G.; Saul, M.; Gealey, J.A.; Clancy, C.J.; Nguyen, M.H.; Shields, R.K. Changing Epidemiology and Decreased Mortality Associated with Carbapenem-Resistant Gram-Negative Bacteria, 2000–2017. Clin. Infect. Dis. Off. Publ. Infect. Dis. Soc. Am. 2021, 73, e4521–e4530. [Google Scholar] [CrossRef] [PubMed]
- Shi, H.J.; Lee, J.S.; Cho, Y.K.; Eom, J.S. Predictors of Mortality in Patients with Carbapenem-Resistant Gram-Negative Bacilli or Vancomycin-Resistant Enterococci Bacteremia. Infect. Drug Resist. 2020, 13, 3535–3542. [Google Scholar] [CrossRef] [PubMed]
- Tang, B.; Wang, J.; Zheng, X.; Chang, J.; Ma, J.; Wang, J.; Ji, X.; Yang, H.; Ding, B. Antimicrobial resistance surveillance of Escherichia coli from chickens in the Qinghai Plateau of China. Front. Microbiol. 2022, 13, 885132. [Google Scholar] [CrossRef]
- Dias, V.M.D.C.H.; da Silva, D.M.W.; Burger, M.; de Oliveira, A.A.S.; Capelo, P.D.J.; Specian, F.A.d.R.; de Figueiredo, M.C.; Tuon, F.F.; Baena, C.P. Active surveillance of carbapenem-resistant Gram-negative healthcare-associated infections in a low-middle-income country city. Braz. J. Infect. Dis. Off. Publ. Braz. Soc. Infect. Dis. 2021, 25, 101540. [Google Scholar] [CrossRef]
- Tischendorf, J.; de Avila, R.A.; Safdar, N. Risk of infection following colonization with carbapenem-resistant Enterobacteriaceae: A systematic review. Am. J. Infect. Control. 2016, 44, 539–543. [Google Scholar] [CrossRef]
- Tang, S.S.; Chee, E.; Teo, J.Q.; Chlebicki, M.P.; Kwa, A.L. Incidence of a subsequent carbapenem-resistant Enterobacteriaceae infection after previous colonisation or infection: A prospective cohort study. Int. J. Antimicrob. Agents 2021, 57, 106340. [Google Scholar] [CrossRef]
- Chen, J.; Liang, Q.; Chen, X.; Wu, J.; Wu, Y.; Teng, G.; Huang, M. Ceftazidime/Avibactam versus Polymyxin B in the Challenge of Carbapenem-Resistant Pseudomonas aeruginosa Infection. Infect. Drug Resist. 2022, 15, 655–667. [Google Scholar] [CrossRef]
- Falcone, M.; Bassetti, M.; Tiseo, G.; Giordano, C.; Nencini, E.; Russo, A.; Graziano, E.; Tagliaferri, E.; Leonildi, A.; Barnini, S.; et al. Time to appropriate antibiotic therapy is a predictor of outcome in patients with bloodstream infection caused by KPC-producing Klebsiella pneumoniae. Crit. Care 2020, 24, 29. [Google Scholar] [CrossRef]
- Lodise, T.P.; Bassetti, M.; Ferrer, R.; Naas, T.; Niki, Y.; Paterson, D.L.; Zeitlinger, M.; Echols, R. All-cause mortality rates in adults with carbapenem-resistant Gram-negative bacterial infections: A comprehensive review of pathogen-focused, prospective, randomized, interventional clinical studies. Expert Rev. Anti-Infect. Ther. 2022, 20, 707–719. [Google Scholar] [CrossRef]
- Tamma, P.D.; Aitken, S.L.; Bonomo, R.A.; Mathers, A.J.; van Duin, D.; Clancy, C.J. Infectious Diseases Society of America Guidance on the Treatment of AmpC β-Lactamase—Producing Enterobacterales, Carbapenem-Resistant Acinetobacter baumannii, and Stenotrophomonas maltophilia Infections. Clin. Infect. Dis. Off. Publ. Infect. Dis. Soc. Am. 2022, 74, 2089–2114. [Google Scholar] [CrossRef]
- Qu, J.; Feng, C.; Li, H.; Lv, X. Antibiotic strategies and clinical outcomes for patients with carbapenem-resistant Gram-negative bacterial bloodstream infection. Int. J. Antimicrob. Agents 2021, 57, 106284. [Google Scholar] [CrossRef] [PubMed]
- O’Horo, J.C.; Farrell, A.; Sohail, M.; Safdar, N. Carbapenem-resistant Enterobacteriaceae and endoscopy: An evolving threat. Am. J. Infect. Control. 2016, 44, 1032–1036. [Google Scholar] [CrossRef]
- Montrucchio, G.; Costamagna, A.; Pierani, T.; Petitti, A.; Sales, G.; Pivetta, E.; Corcione, S.; Curtoni, A.; Cavallo, R.; De Rosa, F.G.; et al. Bloodstream Infections Caused by Carbapenem-Resistant Pathogens in Intensive Care Units: Risk Factors Analysis and Proposal of a Prognostic Score. Pathogens 2022, 11, 718. [Google Scholar] [CrossRef] [PubMed]
- Chen, C.-Y.; Yang, K.-Y.; Peng, C.-K.; Sheu, C.-C.; Chan, M.-C.; Feng, J.-Y.; Wang, S.-H.; Chen, C.-M.; Zheng, Z.-R.; Liang, S.-J.; et al. Clinical outcome of nosocomial pneumonia caused by Carbapenem-resistant gram-negative bacteria in critically ill patients: A multicenter retrospective observational study. Sci. Rep. 2022, 12, 7501. [Google Scholar] [CrossRef]
- Wu, Q.; Qian, C.; Yin, H.; Liu, F.; Wu, Y.; Li, W.; Xia, L.; Ma, L.; Hong, M. A Novel Risk Predictive Scoring Model for Predicting Subsequent Infection After Carbapenem-Resistant Gram-Negative Bacteria Colonization in Hematological Malignancy Patients. Front. Oncol. 2022, 12, 897479. [Google Scholar] [CrossRef] [PubMed]
- De Florio, L.; Riva, E.; Giona, A.; Dedej, E.; Fogolari, M.; Cella, E.; Spoto, S.; Lai, A.; Zehender, G.; Ciccozzi, M.; et al. MALDI-TOF MS Identification and Clustering Applied to Enterobacter Species in Nosocomial Setting. Front. Microbiol. 2018, 9, 1885. [Google Scholar] [CrossRef]
- Shantiae, S.; Tajbakhsh, E.; Momtaz, H. Molecular characterization of Enterobacter aerogenes isolated from urinary tract infections in Iran. Acta Trop. 2022, 232, 106485. [Google Scholar] [CrossRef]
- Azam, F.; Latif, M.F.; Farooq, A.; Tirmazy, S.H.; AlShahrani, S.; Bashir, S.; Bukhari, N. Performance Status Assessment by Using ECOG (Eastern Cooperative Oncology Group) Score for Cancer Patients by Oncology Healthcare Professionals. Case Rep. Oncol. 2019, 12, 728–736. [Google Scholar] [CrossRef]
- Banks, P.A.; Bollen, T.L.; Dervenis, C.; Gooszen, H.G.; Johnson, C.D.; Sarr, M.G.; Tsiotos, G.G.; Vege, S.S. Classification of acute pancreatitis—2012: Revision of the Atlanta classification and definitions by international consensus. Gut 2013, 62, 102–111. [Google Scholar] [CrossRef]
- Wada, K.; Takada, T.; Kawarada, Y.; Nimura, Y.; Miura, F.; Yoshida, M.; Mayumi, T.; Strasberg, S.; Pitt, H.A.; Gadacz, T.R.; et al. Diagnostic criteria and severity assessment of acute cholangitis: Tokyo Guidelines. J. Hepato-Biliary-Pancreat. Surg. 2007, 14, 52–58. [Google Scholar] [CrossRef]
- Vasquez, M.M.; Hu, C.; Roe, D.J.; Chen, Z.; Halonen, M.; Guerra, S. Least absolute shrinkage and selection operator type methods for the identification of serum biomarkers of overweight and obesity: Simulation and application. BMC Med. Res. Methodol. 2016, 16, 154. [Google Scholar] [CrossRef] [PubMed]
- Balachandran, V.P.; Gonen, M.; Smith, J.J.; DeMatteo, R.P. Nomograms in oncology: More than meets the eye. Lancet Oncol. 2015, 16, e173–e180. [Google Scholar] [CrossRef] [PubMed]
- Iasonos, A.; Schrag, D.; Raj, G.V.; Panageas, K.S. How to build and interpret a nomogram for cancer prognosis. J. Clin. Oncol. Off. J. Am. Soc. Clin. Oncol. 2008, 26, 1364–1370. [Google Scholar] [CrossRef] [PubMed]
- Mei, Z.; Chen, J.; Chen, P.; Luo, S.; Jin, L.; Zhou, L. A nomogram to predict hyperkalemia in patients with hemodialysis: A retrospective cohort study. BMC Nephrol. 2022, 23, 351. [Google Scholar] [CrossRef]
- Pencina, M.J.; D’Agostino, R.B. Overall C as a measure of discrimination in survival analysis: Model specific population value and confidence interval estimation. Stat. Med. 2004, 23, 2109–2123. [Google Scholar] [CrossRef]
- Vickers, A.J.; Cronin, A.M.; Elkin, E.B.; Gonen, M. Extensions to decision curve analysis, a novel method for evaluating diagnostic tests, prediction models and molecular markers. BMC Med. Inform. Decis. Mak. 2008, 8, 53. [Google Scholar] [CrossRef]
- Yang, F.; Markovic, S.N.; Molina, J.R.; Halfdanarson, T.R.; Pagliaro, L.C.; Chintakuntlawar, A.V.; Li, R.; Wei, J.; Wang, L.; Liu, B.; et al. Association of Sex, Age, and Eastern Cooperative Oncology Group Performance Status with Survival Benefit of Cancer Immunotherapy in Randomized Clinical Trials: A Systematic Review and Meta-Analysis. JAMA Netw. Open 2020, 3, e2012534. [Google Scholar] [CrossRef]
- Kalil, A.C.; Opal, S.M. Sepsis in the Severely Immunocompromised Patient. Curr. Infect. Dis. Rep. 2015, 17, 487. [Google Scholar] [CrossRef]
- Berbudi, A.; Rahmadika, N.; Tjahjadi, A.; Ruslami, R. Type 2 Diabetes and its Impact on the Immune System. Curr. Diabetes Rev. 2020, 16, 442–449. [Google Scholar] [CrossRef]
- Noor, M.T.; Manoria, P. Immune Dysfunction in Cirrhosis. J. Clin. Transl. Hepatol. 2017, 5, 50–58. [Google Scholar] [CrossRef]
- Marik, P.E.; Zaloga, G.P. Meta-analysis of parenteral nutrition versus enteral nutrition in patients with acute pancreatitis. BMJ 2004, 328, 1407. [Google Scholar] [CrossRef] [PubMed]
- Takada, T. Tokyo Guidelines 2018: Updated Tokyo Guidelines for the management of acute cholangitis/acute cholecystitis. J. Hepato-Biliary-Pancreat. Sci. 2018, 25, 1–2. [Google Scholar] [CrossRef] [PubMed]






| Variables | Controls (CR-GNB Rectal Carriers Who Did Not Develop Secondary BSI) n = 90 (%) | Cases (CR-GNB Rectal Carriers Who Developed Secondary BSI) n = 90 (%) | Z/X2 | p Value | ||
|---|---|---|---|---|---|---|
| n | % | n | % | |||
| Age, year | 65.9 (62.1–69.7) (62.1–69.7) 69.7 | 64.3 (60.9–67.6) | −0.58 | 0.563 | ||
| Gender | 0.097 | 0.756 | ||||
| Male | 57 | 63% | 59 | 66% | ||
| Female | 33 | 37% | 31 | 34% | ||
| Ward | 1.133 | 0.568 | ||||
| Ward 1 | 52 | 58% | 45 | 50% | ||
| Ward 2 | 22 | 24% | 27 | 30% | ||
| Ward 3 | 16 | 18% | 18 | 20% | ||
| CR-GNB Isolates | 16.585 | 0.002 | ||||
| Klebsiella pnenmoniae | 36 | 40% | 54 | 60% | ||
| Escherichia coli | 26 | 29% | 19 | 21% | ||
| Enterobacter cloacae | 14 | 15% | 4 | 5% | ||
| Citrobacter freundii | 10 | 11% | 3 | 3% | ||
| Pseudomonas aeruginosa | 4 | 5% | 10 | 11% | ||
| ECOG Scores | 24.533 | <0.001 | ||||
| ECOG scores 0 | 6 | 7% | 1 | 1% | ||
| ECOG scores 1 | 15 | 17% | 4 | 4% | ||
| ECOG scores 2 | 27 | 30% | 12 | 13% | ||
| ECOG scores 3 | 33 | 37% | 53 | 59% | ||
| ECOG scores 4 | 9 | 10% | 20 | 22% | ||
| Past History | ||||||
| long-term stay in healthcare facility within 1 year | 24 | 2% | 50 | 56% | 3.107 | 0.078 |
| ICU admission history within 1 year | 10 | 11% | 12 | 13% | 0.207 | 0.650 |
| blood-stream infection history within 1 year | 9 | 10% | 8 | 9% | 0.065 | 0.799 |
| Provenance of Patient at Admission | ||||||
| Transfer from another healthcare facility | 38 | 42% | 42 | 47% | 0.360 | 0.550 |
| Diseases | ||||||
| gastrointestinal bleeding | 12 | 13% | 9 | 10% | 0.485 | 0.486 |
| inflammatory bowel disease | 2 | 2% | 2 | 2% | 0.000 | 1.000 |
| severe acute pancreatitis | 10 | 11% | 30 | 33% | 12.857 | <0.001 |
| acute cholangitis | 20 | 22% | 25 | 28% | 0.741 | 0.391 |
| cirrhosis | 19 | 21% | 22 | 24% | 0.284 | 0.595 |
| gastrointestinal obstruction | 10 | 11% | 7 | 8% | 0.585 | 0.446 |
| gastrointestinal cancer | 11 | 12% | 13 | 14% | 0.192 | 0.662 |
| diabetes | 20 | 22% | 33 | 37% | 4.519 | 0.034 |
| cardial vascular disease | 40 | 44% | 35 | 39% | 0.571 | 0.451 |
| cerebral vascular disease | 9 | 10% | 12 | 13% | 0.485 | 0.487 |
| pulmonary disease | 15 | 17% | 15 | 17% | 0.000 | 1.000 |
| uremia | 2 | 2% | 2 | 2% | 0.000 | 1.000 |
| neutropenia | 6 | 7% | 24 | 27% | 12.960 | <0.001 |
| Admission Duration | ||||||
| Length of stay from CR-GNB screen to outcome | 12 (12.1–15.1) | 13 (14.3–18.3) | 0.092 | |||
| Long-term stay in hospital | 39 | 43% | 50 | 56% | 15.512 | <0.001 |
| Surgical History | ||||||
| GI divert | 8 | 9% | 9 | 10% | 0.065 | 0.799 |
| Endoscopy Interventions after Survey | ||||||
| gastroscopy | 25 | 28% | 23 | 26% | 0.114 | 0.737 |
| colonoscopy | 7 | 8% | 5 | 8% | 0.357 | 0.551 |
| ERCP | 29 | 32% | 33 | 55% | 0.394 | 0.532 |
| Other Interventions after Survey | ||||||
| enbd | 25 | 28% | 28 | 47% | 0.241 | 0.625 |
| small bowel feeding tube | 14 | 16% | 3 | 3% | 7.860 | 0.005 |
| small bowel decompression tube | 6 | 7% | 4 | 7% | 0.106 | 0.745 |
| colon decompression tube | 5 | 6% | 5 | 8% | 0.00 | 1.000 |
| deep venous catheter | 22 | 24% | 25 | 42% | 0.259 | 0.612 |
| dialysis | 2 | 2% | 2 | 3% | 0.000 | 1.000 |
| cholecystostomy | 7 | 8% | 10 | 17% | 0.585 | 0.446 |
| PTCD | 5 | 6% | 8 | 13% | 0.746 | 0.389 |
| parenteral nutrition above 3 days | 10 | 11% | 32 | 36% | 15.031 | <0.001 |
| Drugs after Survey | ||||||
| chemotherapy | 8 | 9% | 14 | 16% | 1.864 | 0.173 |
| steroid usage above 5 days | 5 | 4% | 7 | 16% | 0.357 | 0.551 |
| Antibiotics after Survey | ||||||
| β-lactam-β-lactamase inhibitor | 30 | 33% | 36 | 40% | 0.861 | 0.355 |
| cephalosporins | 53 | 59% | 62 | 69% | 1.951 | 0.164 |
| quinolone | 23 | 26% | 21 | 23% | 0.120 | 0.729 |
| carbapenem | 28 | 31% | 37 | 41% | 1.951 | 0.164 |
| poly antibiotics | 46 | 51% | 51 | 57% | 0.559 | 0.456 |
| Variables | Univariate Analysis | Multivariate Analysis | ||
|---|---|---|---|---|
| OR (95% CI) | p Value | OR (95% CI) | p Value | |
| Age, year | / | 0.521 | N/A | N/A |
| Gender | 1.10 (0.60–2.03) | 0.756 | N/A | N/A |
| Ward | 1.18 (0.81–1.72) | 0.389 | N/A | N/A |
| CR-GNB isolates | 0.84 (0.67–1.07) | 0.158 | N/A | N/A |
| Klebsiella pnenmoniae | 2.25 (1.24–4.09) | 0.008 | 1.08 (0.45–2.60) | 0.861 |
| Escherichia coli | 0.66 (0.33–1.30) | 0.230 | N/A | N/A |
| Enterobacter cloacae | 0.25 (0.08–0.80) | 0.019 | N/A | N/A |
| Citrobacter freundii | 0.28 (0.07–1.04) | 0.057 | 0.21 (0.04–1.23) | 0.084 |
| Pseudomonas aeruginosa | 2.69 (0.81–8.91) | 0.106 | N/A | N/A |
| ECOG scores | 2.24 (1.56–3.21) | <0.001 | 5.68 (2.96–10.90) | <0.001 |
| Past History | ||||
| long-term stay in healthcare facility within 1 year | 1.769 (0.94–3.35) | 0.079 | N/A | N/A |
| ICU admission history within 1 year | 1.23 (0.50–3.01) | 0.649 | N/A | N/A |
| blood stream infection history within 1 year | 0.88 (0.32–2.39) | 0.799 | N/A | N/A |
| Provenance of Patient at Admission | ||||
| Transfer from another healthcare facility | 1.20 (0.67–2.16) | 0.549 | N/A | N/A |
| Diseases | ||||
| gastrointestinal bleeding | 0.72 (0.29–1.81) | 0.487 | N/A | N/A |
| inflammatory bowel disease | 1.00 (0.14–7.26) | 1.000 | N/A | N/A |
| severe acute pancreatitis | 4.00 (1.82–8.81) | 0.001 | 6.32 (2.02–19.81) | 0.002 |
| acute cholangitis | 1.35 (0.68–2.65) | 0.390 | N/A | N/A |
| cirrhosis | 1.21 (0.60–2.43) | 0.594 | N/A | N/A |
| obstruction | 0.68 (0.25–1.86) | 0.447 | N/A | N/A |
| gastrointestinal cancer | 1.21 (0.51–2.87) | 0.661 | N/A | N/A |
| diabetes | 2.03 (1.05–3.91) | 0.035 | 4.02 (1.40–11.50) | 0.01 |
| cardial vascular disease | 0.80 (0.44–1.44) | 0.450 | N/A | N/A |
| cerebral vascular disease | 1.39 (0.55–3.47) | 0.487 | N/A | N/A |
| pulmonary disease | 1.00 (0.46–2.19) | 1.000 | N/A | N/A |
| uremia | 1.00 (0.14–7.26) | 1.000 | N/A | N/A |
| neutropenia | 5.09 (1.97–13.18) | 0.001 | 4.77 (1.4–15.76) | 0.01 |
| Admission Duration | ||||
| Long-term stay in hospital (days in hospital > 12 days) | 3.44 (1.84–6.43) | <0.001 | 5.32 (2.25–12.54) | <0.001 |
| Surgery History | ||||
| GI divert | 1.14 (0.42–3.10) | 0.799 | N/A | N/A |
| Endoscopy Interventions after Survey | ||||
| gastroscopy | 0.89 (0.46–1.73) | 0.736 | N/A | N/A |
| colonoscopy | 0.70 (0.21–2.29) | 0.552 | N/A | N/A |
| ERCP | 1.22 (0.66–2.25) | 0.531 | N/A | N/A |
| Other Interventions after Survey | ||||
| enbd | 1.17 (0.62–2.23) | 0.624 | N/A | N/A |
| small bowel feeding tube | 0.19 (0.05–0.68) | 0.011 | 0.12 (0.02–0.70) | 0.019 |
| small bowel decompression tube | 0.65 (0.18–2.39) | 0.518 | N/A | N/A |
| colon decompression tube | 1.00 (0.28–3.58) | 1.000 | N/A | N/A |
| deep venous catheter | 1.19 (0.61–2.31) | 0.611 | N/A | N/A |
| dialysis | 1.00 (0.14–7.26) | 1.000 | N/A | N/A |
| cholecystostomy | 1.48 (0.54–4.08) | 0.447 | N/A | N/A |
| PTCD | 1.66 (0.52–5.28) | 0.392 | N/A | N/A |
| parenteral nutrition above 3 days | 4.41 (2.01–9.69) | <0.001 | 9.01 (2.77–29.36) | <0.001 |
| Drugs Usage after Survey | ||||
| chemotherapy | 1.888 (0.75–4.75) | 0.177 | N/A | N/A |
| steroid usage above 5 days | 1.43 (0.44–4.70) | 0.552 | N/A | N/A |
| Antibiotics Usage after Survey | ||||
| β-lactam-β-lactamase inhibitor | 1.33 (0.73–2.45) | 0.354 | N/A | N/A |
| cephalosporins | 1.55 (0.84–2.85) | 0.164 | N/A | N/A |
| quinolone | 0.89 (0.45–1.75) | 0.729 | N/A | N/A |
| carbapenem | 1.55 (0.84–2.85) | 0.164 | N/A | N/A |
| poly antibiotics | 1.25 (0.70–2.25) | 0.455 | N/A | N/A |
Disclaimer/Publisher’s Note: The statements, opinions and data contained in all publications are solely those of the individual author(s) and contributor(s) and not of MDPI and/or the editor(s). MDPI and/or the editor(s) disclaim responsibility for any injury to people or property resulting from any ideas, methods, instructions or products referred to in the content. |
© 2023 by the authors. Licensee MDPI, Basel, Switzerland. This article is an open access article distributed under the terms and conditions of the Creative Commons Attribution (CC BY) license (https://creativecommons.org/licenses/by/4.0/).
Share and Cite
Zhang, H.; Hu, S.; Li, L.; Jin, H.; Yang, J.; Shen, H.; Zhang, X. Development and Assessment of a Novel Predictive Nomogram to Predict the Risk of Secondary CR-GNB Bloodstream Infections among CR-GNB Carriers in the Gastroenterology Department: A Retrospective Case–Control Study. J. Clin. Med. 2023, 12, 804. https://doi.org/10.3390/jcm12030804
Zhang H, Hu S, Li L, Jin H, Yang J, Shen H, Zhang X. Development and Assessment of a Novel Predictive Nomogram to Predict the Risk of Secondary CR-GNB Bloodstream Infections among CR-GNB Carriers in the Gastroenterology Department: A Retrospective Case–Control Study. Journal of Clinical Medicine. 2023; 12(3):804. https://doi.org/10.3390/jcm12030804
Chicago/Turabian StyleZhang, Hongchen, Shanshan Hu, Lingyun Li, Hangbin Jin, Jianfeng Yang, Hongzhang Shen, and Xiaofeng Zhang. 2023. "Development and Assessment of a Novel Predictive Nomogram to Predict the Risk of Secondary CR-GNB Bloodstream Infections among CR-GNB Carriers in the Gastroenterology Department: A Retrospective Case–Control Study" Journal of Clinical Medicine 12, no. 3: 804. https://doi.org/10.3390/jcm12030804
APA StyleZhang, H., Hu, S., Li, L., Jin, H., Yang, J., Shen, H., & Zhang, X. (2023). Development and Assessment of a Novel Predictive Nomogram to Predict the Risk of Secondary CR-GNB Bloodstream Infections among CR-GNB Carriers in the Gastroenterology Department: A Retrospective Case–Control Study. Journal of Clinical Medicine, 12(3), 804. https://doi.org/10.3390/jcm12030804
