Introduction of Deep Learning-Based Infrared Image Analysis to Marginal Reflex Distance1 Measurement Method to Simultaneously Capture Images and Compute Results: Clinical Validation Study
Abstract
1. Introduction
2. Materials and Methods
2.1. Deep Learning Model Selection—RITnet
2.2. Specific Information about Platform Configuration
- Specific information about hardware subunits.
- Laptop computer specification
- OS: Microsoft windows 10
- CPU: Intel® Core™ i5-1240F
- RAM: DDR 16G
- Storage: 10TB
- GPU: NVIDA GeForce RTX 4090
2.3. Image Analysis
- Traditional manual MRD1 measurements were obtained using a penlight by three different clinicians (MRD1_manual). The average of the three values obtained above is called MRD1_manual.
- Bilateral primary gaze photographs were taken using a Nikon D7500 digital camera (Nikon, Tokyo, Japan), and MRD1 images were analyzed using ImageJ software (version 1.53t) with the Java platform version (MRD1_RGB_ImageJ). To compensate for the time and position changes being measured, we positioned the DSLR camera at the same distance as the IR camera and in the same position (same head fixator) and measured the images. ImageJ analysis was performed using an IR camera image (MRD1_IR_ImageJ). We also took 10 consecutive photographs during the same time period and averaged their values to obtain the data.
- ImageJ analysis was performed using an IR camera image (MRD1_IR_ImageJ).
- Novel MRD1 measurements using an IR camera image and a deep learning method (RIT-net) were introduced in this study (MRD1_DL).
- (1)
- Data were excluded if MRD1 values were not measured by three independent clinicians (MRD1_manual).
- (2)
- Data with manually measured MRD1 values of 0 or negative values were excluded (MRD1_manual).
- (3)
- Data where the boundary between pupil and iris was not clearly distinguishable in the DLSR image were excluded (MRD1_RGB_ImageJ).
- (4)
- The average MRD1 values measured via the manual method and those with a difference of more than 1.0 mm from the reference value (MRD1_RGB_ImageJ or MRD1_IR_ImageJ) were excluded from the data for reliability reasons.
- (5)
- Data for which MRD1 values were not obtained by the machine were excluded (MRD1_DL).
- (6)
- The patients who underwent any blepharoplasty surgery within 1 month were excluded.
2.4. Statistical Analysis
3. Results
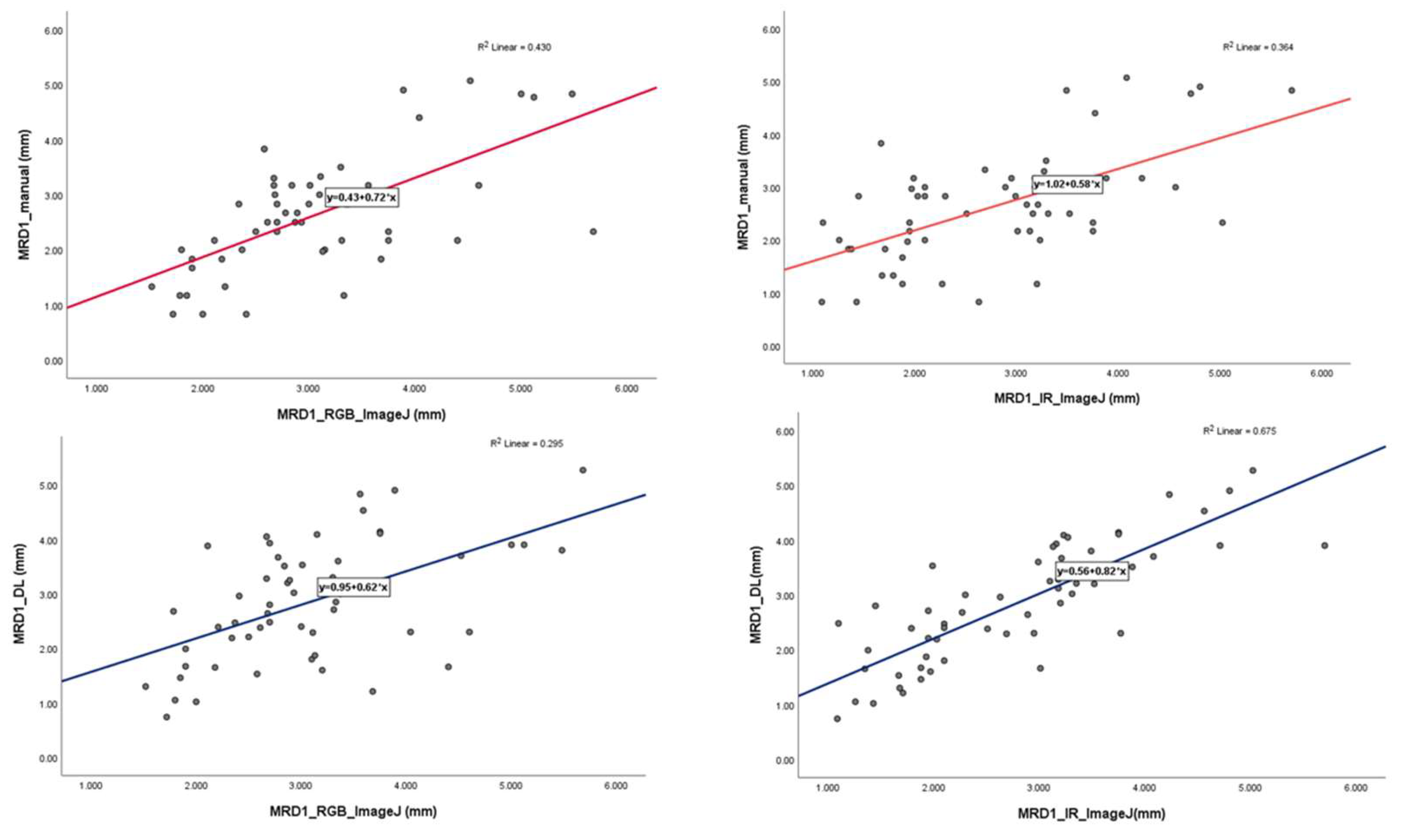
Real Patient Data
4. Discussion
5. Conclusions
Author Contributions
Funding
Institutional Review Board Statement
Informed Consent Statement
Data Availability Statement
Acknowledgments
Conflicts of Interest
References
- Boboridis, K.; Assi, A.; Indar, A.; Bunce, C.; Tyers, A. Repeatability and reproducibility of upper eyelid measurements. Br. J. Ophthalmol. 2001, 85, 99–101. [Google Scholar] [CrossRef] [PubMed]
- Nemet, A.Y. Accuracy of marginal reflex distance measurements in eyelid surgery. J. Craniofacial Surg. 2015, 26, e569–e571. [Google Scholar] [CrossRef] [PubMed]
- Coombes, A.G.; Sethi, C.S.; Kirkpatrick, W.N.; Waterhouse, N.; Kelly, M.H.; Joshi, N. A standardized digital photography system with computerized eyelid measurement analysis. Plast. Reconstr. Surg. 2007, 120, 647–656. [Google Scholar] [CrossRef] [PubMed]
- Chun, Y.S.; Park, H.H.; Park, I.K.; Moon, N.J.; Park, S.J.; Lee, J.K. Topographic analysis of eyelid position using digital image processing software. Acta Ophthalmol. 2017, 95, e625–e632. [Google Scholar] [CrossRef] [PubMed]
- Liu, N.; Liang, G.; Li, L.; Zhou, H.; Zhang, L.; Song, X. An eyelid parameters auto-measuring method based on 3D scanning. Displays 2021, 69, 102063. [Google Scholar] [CrossRef]
- Song, X.; Tong, W.; Lei, C.; Huang, J.; Fan, X.; Zhai, G.; Zhou, H. A clinical decision model based on machine learning for ptosis. BMC Ophthalmol. 2021, 21, 169. [Google Scholar] [CrossRef] [PubMed]
- Sahoo, M.; Ghorai, S.; Pal, S.; Mitra, M. A Multi-Layer stacked ensemble classifier model for improved classification accuracy of Maculopathy gradation. Displays 2022, 73, 102213. [Google Scholar] [CrossRef]
- Lei, C.; Qu, M.; Sun, H.; Huang, J.; Huang, J.; Song, X.; Zhai, G.; Zhou, H. Facial expression of patients with Graves’ orbitopathy. J. Endocrinol. Investig. 2023, 46, 2055–2066. [Google Scholar] [CrossRef] [PubMed]
- Luo, R.; Ge, Y.; Hu, Z.; Liang, D.; Li, Z.-C. DeepPhase: Learning phase contrast signal from dual energy X-ray absorption images. Displays 2021, 69, 102027. [Google Scholar] [CrossRef]
- Mariakakis, A.; Baudin, J.; Whitmire, E.; Mehta, V.; Banks, M.A.; Law, A.; Mcgrath, L.; Patel, S.N. PupilScreen: Using smartphones to assess traumatic brain injury. Proc. ACM Interact. Mob. Wearable Ubiquitous Technol. 2017, 1, 1–27. [Google Scholar] [CrossRef]
- McAnany, J.J.; Smith, B.M.; Garland, A.; Kagen, S.L. iPhone-based pupillometry: A novel approach for assessing the pupillary light reflex. Optom. Vis. Sci. 2018, 95, 953. [Google Scholar] [CrossRef] [PubMed]
- Chaudhary, A.K.; Kothari, R.; Acharya, M.; Dangi, S.; Nair, N.; Bailey, R.; Kanan, C.; Diaz, G.; Pelz, J.B. Ritnet: Real-time semantic segmentation of the eye for gaze tracking. In Proceedings of the 2019 IEEE/CVF International Conference on Computer Vision Workshop (ICCVW), Seoul, Republic of Korea, 27–28 October 2019; pp. 3698–3702. [Google Scholar]
- Bodnar, Z.M.; Neimkin, M.; Holds, J.B. Automated ptosis measurements from facial photographs. JAMA Ophthalmol. 2016, 134, 146–150. [Google Scholar] [CrossRef] [PubMed]
- Burmann, T.G.; Valiatti, F.B.; Correa, Z.M.; Bayer, M.; Marcon, Í. Margin reflex distance measure by computerized image processing in rigid contact lens wearers. Arq. Bras. De Oftalmol. 2008, 71, 34–37. [Google Scholar] [CrossRef] [PubMed][Green Version]
- Cruz, A.; Lucchezi, M.C. Quantification of palpebral fissure shape in severe congenital blepharoptosis. Ophthalmic Plast. Reconstr. Surg. 1999, 15, 232–235. [Google Scholar] [CrossRef] [PubMed]
- Cruz, A.A.; Coelho, R.P.; Baccega, A.; Lucchezi, M.C.; Souza, A.D.; Ruiz, E.E. Digital image processing measurement of the upper eyelid contour in Graves disease and congenital blepharoptosis. Ophthalmology 1998, 105, 913–918. [Google Scholar] [CrossRef] [PubMed]
- Shao, J.; Huang, X.; Gao, T.; Cao, J.; Wang, Y.; Zhang, Q.; Lou, L.; Ye, J. Deep learning-based image analysis of eyelid morphology in thyroid-associated ophthalmopathy. Quant. Imaging Med. Surg. 2023, 13, 1592. [Google Scholar] [CrossRef] [PubMed]
- Solyman, O.; Abushanab, M.M.I.; Carey, A.R.; Henderson, A.D. Pilot study of smartphone infrared pupillography and pupillometry. Clin. Ophthalmol. 2022, 16, 303–310. [Google Scholar] [CrossRef] [PubMed]
- Cherif, Z.R.; Nait-Ali, A.; Motsch, J.; Krebs, M. An adaptive calibration of an infrared light device used for gaze tracking. In Proceedings of the IMTC/2002. Proceedings of the 19th IEEE Instrumentation and Measurement Technology Conference (IEEE Cat. No. 00CH37276), Anchorage, AK, USA, 21–23 May 2002; pp. 1029–1033. [Google Scholar]
- Lu, C.; Chakravarthula, P.; Liu, K.; Liu, X.; Li, S.; Fuchs, H. Neural 3D Gaze: 3D Pupil Localization and Gaze Tracking based on Anatomical Eye Model and Neural Refraction Correction. In Proceedings of the 2022 IEEE International Symposium on Mixed and Augmented Reality (ISMAR), Singapore, 17–21 October 2022; pp. 375–383. [Google Scholar]









| Descriptive Statistics for Four Different MRD1 Measurement Methods | ||||||||
|---|---|---|---|---|---|---|---|---|
| MRD1(mm) | ||||||||
| N | Mean | Std. Deviation | Std. Error | 95% Confidence Interval for Mean | Minimum | Maximum | ||
| Lower Bound | Upper Bound | |||||||
| MRD1_manual | 56 | 2.6404 | 1.03859 | 0.13879 | 2.3622 | 2.9185 | 0.83 | 5.07 |
| MRD1_DL | 56 | 2.8450 | 1.07324 | 0.14342 | 2.5576 | 3.1324 | 0.74 | 5.27 |
| MRD1_IR_ ImageJ | 56 | 2.7839 | 1.07560 | 0.14373 | 2.4959 | 3.0720 | 1.09 | 5.70 |
| MRD1_RGB_ ImageJ | 56 | 3.0737 | 0.94669 | 0.12651 | 2.8201 | 3.3272 | 1.52 | 5.68 |
| Total | 224 | 2.8357 | 1.03971 | 0.06947 | 2.6988 | 2.9726 | 0.74 | 5.70 |
| ANOVA | |||||
|---|---|---|---|---|---|
| MRD1 (mm) | |||||
| Sum of Squares | df | Mean Square | F | Sig. | |
| Between Groups | 5.463 | 3 | 1.821 | 1.700 | 0.168 |
| Within Groups | 235.601 | 220 | 1.071 | ||
| Total | 241.064 | 223 | |||
| Post hoc Analysis for Four Different MRD1 Measurement Methods. | ||||||
|---|---|---|---|---|---|---|
| Dependent Variable: MRD1 (mm) | ||||||
| Scheffe | ||||||
| (I) Methods | (J) Methods | Mean Difference (I-J) | Std. Error | Sig. | 95% Confidence Interval | |
| Lower Bound | Upper Bound | |||||
| MRD1_manual | MRD1_DL | −0.20464 | 0.19557 | 0.778 | −0.7556 | 0.3463 |
| MRD1_IR_ImageJ | −0.14355 | 0.19557 | 0.910 | −0.6945 | 0.4074 | |
| MRD1_RGB_ImageJ | −0.43330 | 0.19557 | 0.182 | −0.9843 | 0.1177 | |
| MRD1_DL | MRD1_manual | 0.20464 | 0.19557 | 0.778 | −0.3463 | 0.7556 |
| MRD1_IR_ImageJ | 0.06109 | 0.19557 | 0.992 | −0.4899 | 0.6121 | |
| MRD1_RGB_ImageJ | −0.22866 | 0.19557 | 0.714 | −0.7796 | 0.3223 | |
| MRD1_IR_ImageJ | MRD1_manual | 0.14355 | 0.19557 | 0.910 | −0.4074 | 0.6945 |
| MRD1_DL | −0.06109 | 0.19557 | 0.992 | −0.6121 | 0.4899 | |
| MRD1_RGB_ImageJ | −0.28975 | 0.19557 | 0.534 | −0.8407 | 0.2612 | |
| MRD1_RGB_ImageJ | MRD1_manual | 0.43330 | 0.19557 | 0.182 | −0.1177 | 0.9843 |
| MRD1_DL | 0.22866 | 0.19557 | 0.714 | −0.3223 | 0.7796 | |
| MRD1_IR_ImageJ | 0.28975 | 0.19557 | 0.534 | −0.2612 | 0.8407 | |
| Pearson Correlations Analysis for Different Measurement Methods | |||||
|---|---|---|---|---|---|
| MRD1_Manual | MRD1_DL | MRD1_IR_ImageJ | MRD1_RGB_ImageJ | ||
| MRD1_manual | Pearson Correlation | 1 | 0.473 ** | 0.603 ** | 0.656 ** |
| Sig. (2-tailed) | 0.000 | 0.000 | 0.000 | ||
| N | 56 | 56 | 56 | 56 | |
| MRD1_DL | Pearson Correlation | 0.473 ** | 1 | 0.822 ** | 0.543 ** |
| Sig. (2-tailed) | 0.000 | 0.000 | 0.000 | ||
| N | 56 | 56 | 56 | 56 | |
| MRD1_IR_ImageJ | Pearson Correlation | 0.603 ** | 0.822 ** | 1 | 0.720 ** |
| Sig. (2-tailed) | 0.000 | 0.000 | 0.000 | ||
| N | 56 | 56 | 56 | 56 | |
| MRD1_RGB_ImageJ | Pearson Correlation | 0.656 ** | 0.543 ** | 0.720 ** | 1 |
| Sig. (2-tailed) | 0.000 | 0.000 | 0.000 | ||
| N | 56 | 56 | 56 | 56 | |
Disclaimer/Publisher’s Note: The statements, opinions and data contained in all publications are solely those of the individual author(s) and contributor(s) and not of MDPI and/or the editor(s). MDPI and/or the editor(s) disclaim responsibility for any injury to people or property resulting from any ideas, methods, instructions or products referred to in the content. |
© 2023 by the authors. Licensee MDPI, Basel, Switzerland. This article is an open access article distributed under the terms and conditions of the Creative Commons Attribution (CC BY) license (https://creativecommons.org/licenses/by/4.0/).
Share and Cite
Song, B.; Kwon, H.; Kim, S.; Ha, Y.; Oh, S.-H.; Song, S.-H. Introduction of Deep Learning-Based Infrared Image Analysis to Marginal Reflex Distance1 Measurement Method to Simultaneously Capture Images and Compute Results: Clinical Validation Study. J. Clin. Med. 2023, 12, 7466. https://doi.org/10.3390/jcm12237466
Song B, Kwon H, Kim S, Ha Y, Oh S-H, Song S-H. Introduction of Deep Learning-Based Infrared Image Analysis to Marginal Reflex Distance1 Measurement Method to Simultaneously Capture Images and Compute Results: Clinical Validation Study. Journal of Clinical Medicine. 2023; 12(23):7466. https://doi.org/10.3390/jcm12237466
Chicago/Turabian StyleSong, Bokeun, Hyeokjae Kwon, Sunje Kim, Yooseok Ha, Sang-Ha Oh, and Seung-Han Song. 2023. "Introduction of Deep Learning-Based Infrared Image Analysis to Marginal Reflex Distance1 Measurement Method to Simultaneously Capture Images and Compute Results: Clinical Validation Study" Journal of Clinical Medicine 12, no. 23: 7466. https://doi.org/10.3390/jcm12237466
APA StyleSong, B., Kwon, H., Kim, S., Ha, Y., Oh, S.-H., & Song, S.-H. (2023). Introduction of Deep Learning-Based Infrared Image Analysis to Marginal Reflex Distance1 Measurement Method to Simultaneously Capture Images and Compute Results: Clinical Validation Study. Journal of Clinical Medicine, 12(23), 7466. https://doi.org/10.3390/jcm12237466

