Mild Cardiotoxicity and Continued Trastuzumab Treatment in the Context of HER2-Positive Breast Cancer
Abstract
:1. Introduction
- To evaluate the outcomes (i.e., mortality, hospitalizations, development of signs or symptoms of heart failure, and impairment in left ventricular systolic function) in patients who develop mild cardiotoxicity under TTZ when the treatment is continued.
- To monitor the changes in echocardiographic parameters during treatment and up to six months after the discontinuation of TTZ.
- To investigate the potential predictive factors for the development of severe cardiotoxicity.
2. Materials and Methods
2.1. Follow-Up Modalities
2.2. Echocardiographic Data
2.3. Data Collection
2.4. Statistical Analysis
3. Results
3.1. Baseline Characteristics of the Study Population
3.2. Evolution of Cardioprotective Treatment
3.3. Clinical Evolution of the Studied Population
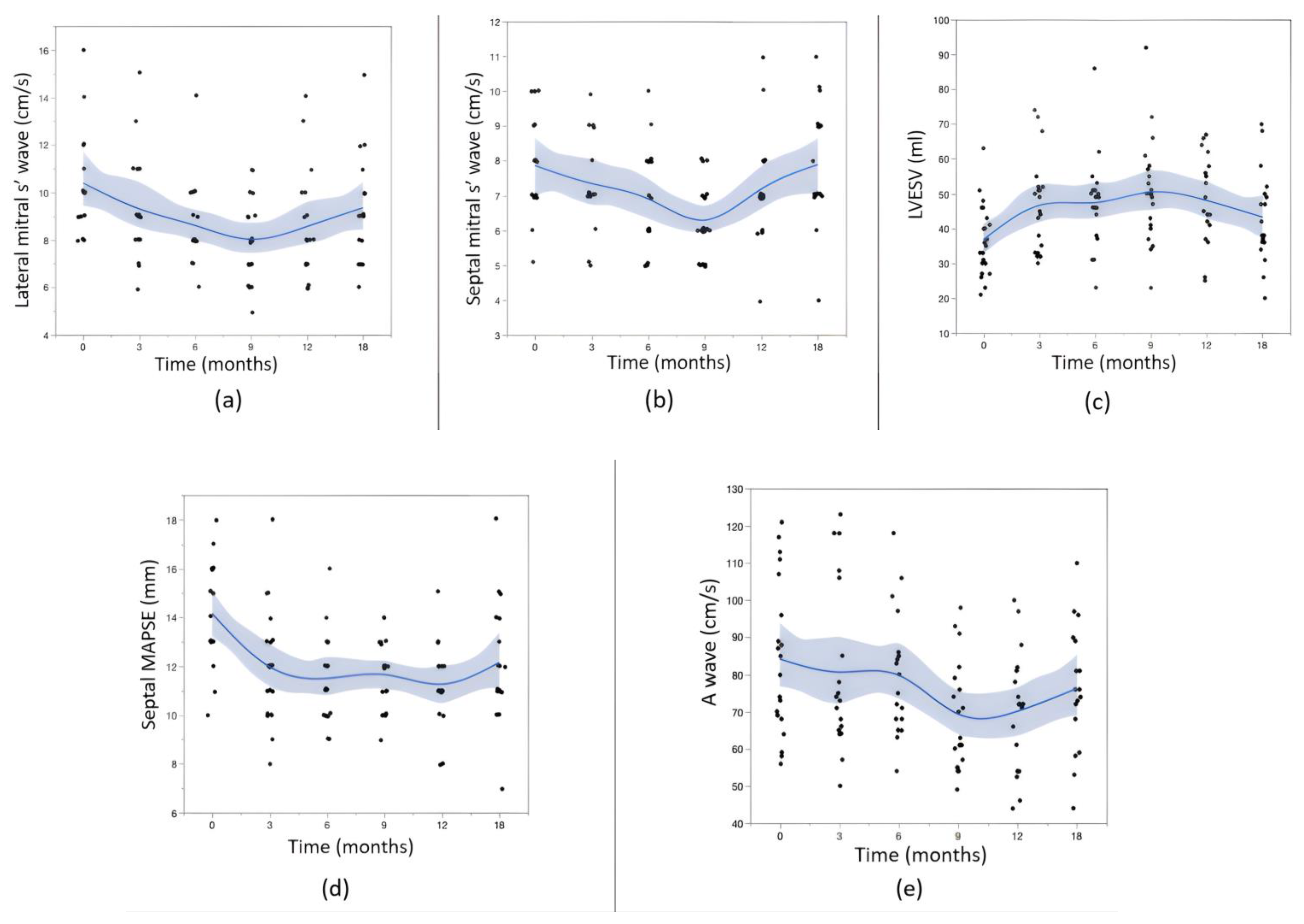
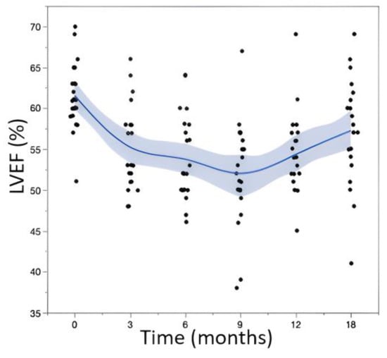
3.4. Evolution of Echocardiographic Parameters
3.5. Identification of Predictive Variables for Severe Cardiotoxicity
4. Discussion
4.1. Cardiotoxicity and Clinical Outcome
4.2. Impact of TTZ Therapy on Cardiac Function
4.3. Strengths and Limitations
5. Conclusions and Perspectives
Author Contributions
Funding
Informed Consent Statement
Data Availability Statement
Conflicts of Interest
Abbreviations
| ER | Estrogen receptors |
| PR | Progesterone receptors |
| HER2 | Human epidermal growth factor 2 |
| EGFR | Epidermal growth factor receptor |
| TTZ | Trastuzumab |
| IHC | Immunohistochemistry |
| FISH | Fluorescence in situ hybridization |
| LVEF | Left ventricular ejection fraction |
| ACEI | Angiotensin-converting enzyme inhibitor |
| MAPSE | Mitral annular plane systolic excursion |
| TAPSE | Tricuspid annular plane systolic excursion |
| LVOT VTI | Time-velocity integral within the left ventricular outflow tract |
| BP | Blood pressure |
| HR | Heart rate |
| BMI | Body mass index |
Appendix A
| Variable | Baseline | 3 Months | 6 Months | 9 Months | 12 Months | 18 Months |
|---|---|---|---|---|---|---|
| LVEF | 61.6 ± 4.1 | 55.1 ± 5.3 | 53.9 ± 5.1 | 51.9 ± 6.3 | 54.4 ± 5.3 | 57.2 ± 6.5 |
| LVED | 95.2 ± 23.5 | 104 ± 24.2 | 100.7 ± 21.4 | 103.2 ± 22.8 | 104.3 ± 24.2 | 99.5 ± 19.8 |
| LVES | 36.7 ± 10.2 | 47 ± 13.3 | 47.1 ± 12.6 | 50.7 ± 14.8 | 48 ± 12.5 | 43.3 ± 13.3 |
| s’ septal | 7.9 ± 1.5 | 7.3 ± 1.5 | 6.9 ± 1.5 | 6.3 ± 1 | 7.2 ± 1.5 | 7.9 ± 1.7 |
| s’ lateral | 10.4 ± 2.3 | 9.3 ± 2.3 | 8.6 ± 1.7 | 8 ± 1.7 | 8.6 ± 2.2 | 9.4 ± 2.3 |
| MAPSE septal | 14.2 ± 2.2 | 12 ± 2.4 | 11.5 ± 1.7 | 11.7 ± 1.4 | 11.2 ± 1.7 | 12.2 ± 2.5 |
| MAPSE lateral | 15 ± 3.1 | 14.6 ± 2.3 | 13.4 ± 2.5 | 13.4 ± 2 | 14.1 ± 2.3 | 14.8 ± 2.4 |
| GLS | −20.1 ± 2.8 | −18 ± 2.4 | −17 ± 2.5 | −17.3 ± 2.5 | −17.2 ± 2.2 | −18.3 ± 4 |
| LVOT VTI | 20.4 ± 3 | 20.5 ± 3.3 | 19.4 ± 3.9 | 19.1 ± 3.4 | 19.3 ± 3.3 | 19.5 ± 2.8 |
| LA volume | 48.7 ± 14.4 | 59.8 ± 18.6 | 58.5 ± 13.7 | 54.2 ± 15.5 | 51.8 ± 17.9 | 48.4 ± 13.8 |
| E wave | 75.4 ± 12 | 76.8 ± 19.4 | 74.9 ± 17.8 | 71.5 ± 12.5 | 70.8 ± 16.4 | 68.8 ± 16.1 |
| A wave | 84.3 ± 20.7 | 80.4 ± 22.6 | 80.3 ± 16.4 | 68.9 ± 14.4 | 70.3 ± 16.2 | 76.3 ± 17.1 |
| E/A ratio | 0.9 ± 0.3 | 1 ± 0.3 | 0.9 ± 0.2 | 1 ± 0.2 | 1.1 ± 0.3 | 0.9 ± 0.2 |
| DTE | 187.1 ± 48.4 | 191.9 ± 50 | 205 ± 59 | 194.2 ± 37 | 205.2 ± 42.5 | 204.8 ± 39.9 |
| E/E-prime ratio | 8.5 ± 1.9 | 8.6 ± 3.4 | 9 ± 2.9 | 8.4 ± 2.4 | 7.8 ± 2.2 | 8.1 ± 3.6 |
| RV diameter PSLAX | 30 ± 3.3 | 30.4 ± 2.4 | 30.9 ± 3.3 | 30.4 ± 2.6 | 31.1 ± 3.3 | 30.9 ± 3.2 |
| TAPSE | 22.7 ± 3.9 | 22.3 ± 3.9 | 21.2 ± 4 | 20.6 ± 3.3 | 20.9 ± 2.9 | 20.3 ± 2.7 |
| s’ tricuspid | 12.7 ± 1.7 | 11.8 ± 2.3 | 11.2 ± 2.2 | 11 ± 2.2 | 11.1 ± 1.5 | 12.5 ± 2.8 |
| TTG | 23.1 ± 9.9 | 22.8 ± 7.4 | 24.5 ± 6.5 | 22.7 ± 9.6 | 27.1 ± 8.4 | 25.8 ± 5.3 |
References
- World Health Organization International Agency for Research on Cancer. The Global Cancer Observatory. 2018 Statistics. Available online: http://gco.iarc.fr/today/data/factsheets/populations/900-world-fact-sheets.pdf (accessed on 17 August 2020).
- Torre, L.A.; Bray, F.; Siegel, R.L.; Ferlay, J.; Lortet-Tieulent, J.; Jemal, A. Global cancer statistics, 2012. CA Cancer J. Clin. 2015, 65, 87. [Google Scholar] [CrossRef] [PubMed]
- Desreux, J.; Gaspard, U.; Bleret, V.; Van Cauwenberge, J.R.; Thille, A.; Herman, P.; Lifrange, E. Breast cancer in Belgium: Why are we the first in Europe? Rev. Med. Liege 2011, 66, 231–237. [Google Scholar] [PubMed]
- de Gelder, R.; Heijnsdijk, E.A.; Fracheboud, J.; Draisma, G.; de Koning, H.J. The effects of population-based mammography screening starting between age 40 and 50 in the presence of adjuvant systemic therapy. Int. J. Cancer 2015, 137, 165. [Google Scholar] [CrossRef]
- Munoz, D.; Near, A.M.; Van Ravesteyn, N.T.; Lee, S.J.; Schechter, C.B.; Alagoz, O.; Berry, D.A.; Burnside, E.S.; Chang, Y.; Chisholm, G.; et al. Effects of screening and systemic adjuvant therapy on ER-specific US breast cancer mortality. J. Natl. Cancer Inst. 2014, 106, dju289. [Google Scholar] [CrossRef] [PubMed]
- Hammond, M.E.H.; Hayes, D.F.; Dowsett, M.; Allred, D.C.; Hagerty, K.L.; Badve, S.; Fitzgibbons, P.L.; Francis, G.; Goldstein, N.S.; Hayes, M.; et al. American Society of Clinical Oncology/College of American Pathologists guideline recommendations for immunohistochemical testing of estrogen and progesterone receptors in breast cancer. J. Clin. Oncol. 2010, 28, 2784. [Google Scholar] [CrossRef]
- Wolff, A.C.; Hammond, M.E.H.; Hicks, D.G.; Dowsett, M.; McShane, L.M.; Allison, K.H.; Allred, D.C.; Bartlett, J.M.S.A.; Bilous, M.; Fitzgibbons, P.; et al. Recommendations for human epidermal growth factor receptor 2 testing in breast cancer: American Society of Clinical Oncology/College of American Pathologists clinical practice guideline update. J. Clin. Oncol. 2013, 31, 3997. [Google Scholar] [CrossRef]
- Karunagaran, D.; Tzahar, E.; Beerli, R.R.; Chen, X.; Graus-Porta, D.; Ratzkin, B.J.; Seger, N.; Hynes, N.E.; Yarden, Y. ErbB-2 is a common auxiliary subunit of NDF and EGF receptors: Implications for breast cancer. EMBO J. 1996, 15, 254. [Google Scholar] [CrossRef]
- Hudis, C.A. Trastuzumab—Mechanism of Action and Use in Clinical Practice. N. Engl. J. Med. 2007, 357, 39–51. [Google Scholar] [CrossRef]
- Gianni, L.; Eiermann, W.; Semiglazov, V.; Lluch, A.; Tjulandin, S.; Zambetti, M.; Moliterni, A.; Vazquez, F.; Byakhov, M.J.; Lichinitser, M.; et al. Neoadjuvant and adjuvant trastuzumab in patients with HER2-positive locally advanced breast cancer (NOAH): Follow-up of a randomised controlled superiority trial with a parallel HER2-negative cohort. Lancet Oncol. 2014, 15, 640. [Google Scholar] [CrossRef]
- Moja, L.; Tagliabue, L.; Balduzzi, S.; Parmelli, E.; Pistotti, V.; Guarneri, V.; D’Amico, R. Trastuzumab containing regimens for early breast cancer. Cochrane Database Syst. Rev. 2012, 2012, CD006243. [Google Scholar]
- Keefe, D.L. Trastuzumab-associated cardiotoxicity. Cancer 2002, 95, 1592. [Google Scholar] [CrossRef] [PubMed]
- Perez, E.A.; Rodeheffer, R. Clinical cardiac tolerability of trastuzumab. J. Clin. Oncol. 2004, 22, 322. [Google Scholar] [CrossRef] [PubMed]
- Di Nardo, P.; Lisanti, C.; Garutti, M.; Buriolla, S.; Alberti, M.; Mazzeo, R.; Puglisi, F. Chemotherapy in patients with early breast cancer: Clinical overview and management of long-term side effects. Expert Opin. Drug Saf. 2022, 21, 1341–1355. [Google Scholar] [CrossRef]
- Ewer, M.S.; Lippman, S.M. Type II chemotherapy-related cardiac dysfunction: Time to recognize a new entity. J. Clin. Oncol. 2005, 23, 2900. [Google Scholar] [CrossRef]
- de Azambuja, E.; Procter, M.J.; van Veldhuisen, D.J.; Agbor-Tarh, D.; Metzger-Filho, O.; Steinseifer, J.; Untch, M.; Smith, I.E.; Gianni, L.; Baselga, J.; et al. Trastuzumab-associated cardiac events at 8 years of median follow-up in the Herceptin Adjuvant trial (BIG 1-01). J. Clin. Oncol. 2014, 32, 2159. [Google Scholar] [CrossRef] [PubMed]
- Perez, E.A.; Suman, V.J.; Davidson, N.E.; Sledge, G.W.; Kaufman, P.A.; Hudis, C.A.; Martino, S.; Gralow, J.R.; Dakhil, S.R.; Ingle, J.N.; et al. Cardiac safety analysis of doxorubicin and cyclophosphamide followed by paclitaxel with or without trastuzumab in the North Central Cancer Treatment Group N9831 adjuvant breast cancer trial. J. Clin. Oncol. 2008, 26, 1231. [Google Scholar] [CrossRef] [PubMed]
- Russell, S.D.; Blackwell, K.L.; Lawrence, J.; Pippen, J.E.; Roe, M.T.; Wood, F.; Paton, V.; Holmgren, E.; Mahaffey, K.W. Independent adjudication of symptomatic heart failure with the use of doxorubicin and cyclophosphamide followed by trastuzumab adjuvant therapy: A combined review of cardiac data from the National 36 Surgical Adjuvant breast and Bowel Project B-31 and the North Central Cancer Treatment Group N9831 clinical trials. J. Clin. Oncol. 2010, 28, 3416. [Google Scholar]
- Bria, E.; Cuppone, F.; Fornier, M.; Nisticò, C.; Carlini, P.; Milella, M.; Sperduti, I.; Terzoli, E.; Cognetti, F.; Giannarelli, D. Cardiotoxicity and incidence of brain metastases after adjuvant trastuzumab for early breast cancer: The dark side of the moon? A metaanalysis of the randomized trials. Breast Cancer Res. Treat. 2008, 109, 231. [Google Scholar] [CrossRef] [PubMed]
- Slamon, D.J.; Leyland-Jones, B.; Shak, S.; Fuchs, H.; Paton, V.; Bajamonde, A.; Fleming, T.; Eiermann, W.; Wolter, J.; Pegram, M.; et al. Use of chemotherapy plus a monoclonal antibody against HER2 for metastatic breast cancer that overexpresses HER2. N. Engl. J. Med. 2001, 344, 783. [Google Scholar] [CrossRef]
- Goldhar, H.A.; Yan, A.T.; Ko, D.T.; Earle, C.C.; Tomlinson, G.A.; Trudeau, M.E.; Krahn, M.D.; Krzyzanowska, M.K.; Pal, R.S.; Brezden-Masley, C.; et al. The Temporal Risk of Heart Failure Associated with Adjuvant Trastuzumab in Breast Cancer Patients: A Population Study. J. Natl. Cancer Inst. 2016, 108, djv301. [Google Scholar] [CrossRef]
- Romond, E.H.; Perez, E.A.; Bryant, J.; Suman, V.J.; Geyer, C.E., Jr.; Davidson, N.E.; Tan-Chiu, E.; Martino, S.; Paik, S.; Kaufman, P.A.; et al. Trastuzumab plus adjuvant chemotherapy for operable HER2-positive breast cancer. N. Engl. J. Med. 2005, 353, 1673. [Google Scholar] [CrossRef] [PubMed]
- Jones, A.L.; Barlow, M.; Barrett-Lee, P.J.; Canney, P.A.; Gilmour, I.M.; Robb, S.D.; Plummer, C.J.; Wardley, A.M.; Verrill, M.W. Management of cardiac health in trastuzumab-treated patients with breast cancer: Updated United Kingdom National Cancer Research Institute recommendations for monitoring. Br. J. Cancer 2009, 100, 684–692. [Google Scholar] [CrossRef] [PubMed]
- Leong, D.P.; Cosman, T.; Alhussein, M.M.; Tyagi, N.K.; Karampatos, S.; Barron, C.C.; Wright, D.; Tandon, V.; Magloire, P.; Joseph, P.; et al. Safety of Continuing Trastuzumab Despite Mild Cardiotoxicity. JACC CardioOncol. 2019, 1, 1–10. [Google Scholar] [CrossRef]
- Barron, C.C.; Alhussein, M.; Kaur, U.; Cosman, T.L.; Tyagi, N.K.; Brown, M.; Mukherjee, S.D.; Ellis, P.M.; Dhesy-Thind, S.; Leong, D.P. An evaluation of the safety of continuing trastuzumab despite overt left ventricular dysfunction. Curr. Oncol. 2019, 26, 240–246. [Google Scholar] [CrossRef] [PubMed]
- Lyon, A.R.; López-Fernández, T.; Couch, L.S.; Asteggiano, R.; Aznar, M.C.; Bergler-Klein, J.; Boriani, G.; Cardinale, D.; Cordoba, R.; Cosyns, B.; et al. 2022 ESC Guidelines on cardio-oncology developed in collaboration with the 332 European Hematology Association (EHA), the European Society for Therapeutic Radiology and Oncology (ESTRO) and the 333 International Cardio-Oncology Society (IC-OS). Eur. Heart J. 2022, 43, 4229–4361. [Google Scholar] [CrossRef] [PubMed]
- Zamorano, J.L.; Lancellotti, P.; Rodriguez Munoz, D.; Aboyans, V.; Asteggiano, R.; Galderisi, M.; Habib, G.; Leniham, D.J.; Lip, G.Y.H.; Lyon, A.R.; et al. 2016 ESC Position Paper on cancer treatments and cardiovascular toxicity 335 developed under the auspices of the ESC Committee for Practice Guidelines: The Task Force for cancer treatments and cardio- 336 vascular toxicity of the European Society of Cardiology (ESC). Eur. Heart J. 2016, 37, 2768–2801. [Google Scholar]
- Lancellotti, P.; Suter, T.M.; López-Fernández, T.; Galderisi, M.; Lyon, A.R.; Van der Meer, P.; Solal, A.C.; Zamorano, J.-L.; Jerusalem, G.; Moonen, M.; et al. Cardio-Oncology Services: Rationale, organization, and implementation. Eur. Heart J. 2019, 40, 1756–1763. [Google Scholar] [CrossRef] [PubMed]
- Lyon, A.R.; Dent, S.; Stanway, S.; Earl, H.; Brezden-Masley, C.; Cohen-Solal, A.; Tocchetti, C.G.; Mosheli, J.J.; Groarke, J.D.; Bergler-Klein, J.; et al. Baseline cardiovascular risk assessment in cancer patients scheduled to receive cardiotoxic cancer therapies: A position statement and new risk assessment tools from the Cardio-Oncology Study Group of the Heart Failure Association of the European Society. Eur. J. Heart Fail. 2020, 22, 1945–1960. [Google Scholar] [CrossRef] [PubMed]
- Battisti, N.M.L.; Andres, M.S.; Lee, K.A.; Ramalingam, S.; Nash, T.; Mappouridou, S.; Senthivel, N.; Asavisanu, K.; Obeid, M.; Tripodaki, E.-S.; et al. Incidence of cardiotoxicity and validation of the Heart Failure Association– International Cardio-Oncology Society risk stratification tool in patients treated with trastuzumab for HER2-positive early breast cancer. Breast Cancer Res. Treat. 2021, 188, 149–163. [Google Scholar] [CrossRef]
- Modi, S.; Jacot, W.; Yamashita, T.; Sohn, J.; Vidal, M.; Tokunaga, E.; Tsurutani, J.; Ueno, N.T.; Prat, A.; Chae, Y.S.; et al. Trastuzumab deruxtecan in previously treated HER2-low advanced breast cancer. N. Engl. J. Med. 2022, 387, 9–20. [Google Scholar] [CrossRef]
- Corti, C.; Giugliano, F.; Nicolò, E.; Tarantino, P.; Criscitiello, C.; Curigliano, G. HER2-Low Breast Cancer: A New Subtype? Curr. Treat Options Oncol. 2023, 24, 468–478. [Google Scholar] [CrossRef]
- Marchiò, C.; Annaratone, L.; Marques, A.; Casorzo, L.; Berrino, E.; Sapino, A. Evolving concepts in HER2 evaluation in breast cancer: Heterogeneity, HER2-low carcinomas and beyond. Semin. Cancer Biol. 2021, 72, 123–135. [Google Scholar] [CrossRef]
- Modi, S.; Saura, C.; Yamashita, T.; Park, Y.H.; Kim, S.-B.; Tamura, K.; Andre, F.; Iwata, H.; Ito, Y.; Tsurutani, J.; et al. Trastuzumab Deruxtecan in Previously Treated HER2-Positive Breast Cancer. N. Engl. J. Med. 2020, 382, 610–621. [Google Scholar] [CrossRef] [PubMed]
- Jerusalem, G.; Lancellotti, P.; Kim, S.B. HER2+ breast cancer treatment and cardiotoxicity: Monitoring and management. Breast Cancer Res. Treat. 2019, 177, 237–250. [Google Scholar] [CrossRef] [PubMed]
- Swain, S.M.; Kim, S.-B.; Cortés, J.; Ro, J.; Semiglazov, V.; Campone, M.; Ciruelos, E.; Ferrero, J.-M.; Schneeweiss, A.; Knott, A.; et al. Pertuzumab, trastuzumab, and docetaxel for HER2-positive metastatic breast cancer (CLEOPATRA study): Overall survival results from a randomised, double-blind, placebo-controlled, phase 3 study. Lancet Oncol. 2013, 14, 461–471. [Google Scholar] [CrossRef] [PubMed]
- Yu, A.F.; Singh, J.C.; Wang, R.; Liu, J.E.; Eaton, A.; Oeffinger, K.C.; Steingart, R.M.; Hudis, C.A.; Dang, C.T. Cardiac safety of dual anti-HER2 therapy in the neoadjuvant setting for treatment of HER2-positive breast cancer. Oncologist 2017, 22, 642–647. [Google Scholar] [CrossRef]
- Born, B. Mild Cardiotoxicity and Continuation of Trastuzumab Treatment in the Context of Breast Cancer. Master’s Thesis, University of Liège, Liège, Belgium, 2020. [Google Scholar]
- Khuanjing, T.; Maneechote, C.; Ongnok, B.; Prathumsap, N.; Arinno, A.; Chunchai, T.; Arunsak, B.; Chattipakorn, S.C.; Chattipakorn, N. Acetylcholinesterase inhibition protects against trastuzumab-induced cardiotoxicity through reducing multiple programmed cell death pathways. Mol. Med. 2023, 29, 123. [Google Scholar] [CrossRef]




| Demographics | Chronic Treatment | ||
|---|---|---|---|
| Female gender | 23 (100%) | ACEI | 3 (13%) |
| Age (years) | 56 ± 10 | ARB | 2 (9%) |
| BMI kg/m² | 27.3 ± 5.8 | Beta blocker | 5 (22%) |
| Invasive ductal carcinoma | 22 (96%) | Loop diuretic | 1 (4%) |
| Undifferentiated carcinoma | 1 (4%) | Clinical data | |
| HER-2-positive status | 23 (100%) | NYHA class: | |
| ER-positive status | 12 (52%) | – I | 22 (96%) |
| PR-positive status | 10 (43%) | – II | 0 (0%) |
| Left laterality | 9 (39%) | – III | 1 (4%) |
| Neoplasm stage | – IV | 0 (0%) | |
| – Stage I | 12 (52%) | Systolic blood pressure, mmHg | 127 ± 23 |
| – Stage II | 4 (17%) | Diastolic blood pressure, mmHg | 76 ± 11 |
| – Stage III | 1 (4%) | Heart rate (HR), beats per minute | 79 ± 12 |
| – Stage IV | 6 (26%) | Echographical data | |
| Previous surgical treatment | 8 (35%) | LVEF before chemotherapy, % | 62.1 ± 4.3 |
| Previous thoracic radiotherapy | LVEF before TTZ, % | 61.6 ± 4.1 | |
| – Left side | 1 (4%) | Left ventricular end systolic volume, ml | 95 ± 24 |
| – Right side | 3 (13%) | Left ventricular end-diastolic volume, ml | 37 ± 10 |
| Previous chemotherapy | Septal mitral s’ wave, cm/s | 8 ± 1 | |
| – With anthracyclines | 16 (70%) | Lateral mitral s’ wave, cm/s | 10 ± 2 |
| – Without anthracyclines | 1 (4%) | Septal MAPSE, mm | 14 ± 2 |
| Previous hormone therapy | 0 (0%) | Lateral MAPSE, mm | 15 ± 3 |
| Previous TTZ therapy | 2 (9%) | LVOT VTI, cm | 20.4 ± 3 |
| Previous pertuzumab therapy | 0 (0%) | Left atrial volume, ml | 49 ± 14 |
| Concurrent pertuzumab therapy | 6 (26%) | E wave, cm/s | 75 ± 12 |
| Concurrent taxane chemotherapy | 23 (100%) | A wave, cm/s | 84 ± 21 |
| Risk factors and comorbidities | E/A ratio | 0.9 ± 0.3 | |
| Smoking history | 6 (26%) | E wave deceleration time, ms | 187 ± 48 |
| Actively smoking | 3 (13%) | E/e’ mean ratio | 8.5 ± 1.8 |
| Alcoholism | 3 (13%) | Right ventricle diameter in PSLAX, mm | 30 ± 3 |
| Hypertension | 10 (43%) | TAPSE | 23 ± 4 |
| Dyslipidemia | 11 (48%) | Tricuspid s’ wave, cm/s | 13 ± 2 |
| Diabetes mellitus | 4 (17%) | Transtricuspid gradient, mmHg | 23 ± 10 |
| Coronary heart disease | 0 (0%) | Mean global longitudinal strain, % | −19 ± 2 |
| Atrial fibrillation | 1 (4%) | ||
| Anemia | 15 (65%) |
| Time | ACEI (N = 23) | ARBs (N = 23) | Beta-blockers (N = 23) | BP (Systolic/Diastolic) | HR (/min) |
|---|---|---|---|---|---|
| Baseline | 3 (13%) | 2 (9%) | 5 (22%) | 127/76 mmHg | 79 |
| 3 months | 3 (13%) | 2 (9%) | 6 (26%) | 132/76 mmHg | 80 |
| 6 months | 8 (35%) | 2 (9%) | 9 (39%) | 135/78 mmHg | 75 |
| 9 months | 10 (43%) | 4 (17%) | 11 (48%) | 134/82 mmHg | 74 |
| 12 months | 13 (57%) | 4 (17%) | 14 (61%) | 124/73 mmHg | 72 |
| 18 months | 11 (48%) | 6 (26%) | 14 (61%) | 123/71 mmHg | 71 |
| Control Group (N = 21) | Mild Cardiotoxicity (N = 21) | p-Value | Randomization Factor | |
|---|---|---|---|---|
| Pre-trastuzumab LVEF, % | 61.9 ± 3.4 | 62.2 ± 3.4 | 0.75 | Yes |
| Age, years | 59 ± 10 | 56 ± 10 | 0.36 | Yes |
| BMI, kg/m2 | 27 ± 6 | 27 ± 6 | 0.71 | Yes |
| Hypertension | 9 (43%) | 9 (43%) | 1.00 | Yes |
| Diabetes | 4 (19%) | 4 (19%) | 1.00 | Yes |
| Dyslipidemia | 4 (19%) | 9 (43%) | 0.18 | No |
| Smoking | 5 (24%) | 5 (24%) | 1.00 | No |
| Coronary artery disease | 1 (5%) | 0 (0%) | 1.00 | No |
| Atrial fibrillation | 0 (0%) | 1 (5%) | 1.00 | No |
| Anemia | 13 (62%) | 13 (62%) | 1.00 | No |
| Prior left thoracic radiotherapy | 2 (10%) | 1 (5%) | 1.00 | No |
| Prior anthracycline treatment | 14 (67%) | 15 (71%) | 0.74 | No |
| LVEF at 18 months, % | 61.7 ± 5.5 | 58.4 ± 5.3 | 0.059 | No |
| Variable | Baseline | 3 Months | 6 Months | 9 Months | 12 Months | 18 Months |
|---|---|---|---|---|---|---|
| LVEF | 61.6 ± 4.1 | 55.1 ± 5.3 | 53.9 ± 5.1 | 51.9 ± 6.3 | 54.4 ± 5.3 | 57.2 ± 6.5 |
| ESV | 36.7 ± 10.2 | 47 ± 13.3 | 47.1 ± 12.6 | 50.7 ± 14.8 | 48 ± 12.5 | 43.3 ± 13.3 |
| Lateral s’ wave | 10.4 ± 2.3 | 9.3 ± 2.3 | 8.6 ± 1.7 | 8 ± 1.7 | 8.6 ± 2.2 | 9.4 ± 2.3 |
| Septal s’ wave | 7.9 ± 1.5 | 7.3 ± 1.5 | 6.9 ± 1.5 | 6.3 ± 1 | 7.2 ± 1.5 | 7.9 ± 1.7 |
| MAPSE septal | 14.2 ± 2.2 | 12 ± 2.4 | 11.5 ± 1.7 | 11.7 ± 1.4 | 11.2 ± 1.7 | 12.2 ± 2.5 |
| A wave | 84.3 ± 20.7 | 80.4 ± 22.6 | 80.3 ± 16.4 | 68.9 ± 14.4 | 70.3 ± 16.2 | 76.3 ± 17.1 |
| Echocardiographic Parameters | p-Value |
|---|---|
| LVEF at 3 months | 0.001 |
| LVEF at 6 months | <0.001 |
| LVEF at 9 months | <0.001 |
| LVEF at 12 months | <0.001 |
| LVEF at 18 months | 0.042 |
| ESV at 3 months | 0.045 |
| ESV at 6 months | 0.037 |
| ESV at 9 months | 0.002 |
| ESV at 12 months | 0.025 |
| Septal s’ wave at 9 months | 0.007 |
| Lateral s’ wave at 9 months | 0.005 |
| MAPSE septal at 3 months | 0.005 |
| MAPSE septal at 6 months | <0.001 |
| MAPSE septal at 9 months | 0.001 |
| MAPSE septal at 12 months | <0.001 |
| MAPSE septal at 18 months | 0.019 |
| A wave at 9 months | 0.041 |
Disclaimer/Publisher’s Note: The statements, opinions and data contained in all publications are solely those of the individual author(s) and contributor(s) and not of MDPI and/or the editor(s). MDPI and/or the editor(s) disclaim responsibility for any injury to people or property resulting from any ideas, methods, instructions or products referred to in the content. |
© 2023 by the authors. Licensee MDPI, Basel, Switzerland. This article is an open access article distributed under the terms and conditions of the Creative Commons Attribution (CC BY) license (https://creativecommons.org/licenses/by/4.0/).
Share and Cite
de la Brassinne Bonardeaux, O.; Born, B.; Moonen, M.; Lancellotti, P. Mild Cardiotoxicity and Continued Trastuzumab Treatment in the Context of HER2-Positive Breast Cancer. J. Clin. Med. 2023, 12, 6708. https://doi.org/10.3390/jcm12216708
de la Brassinne Bonardeaux O, Born B, Moonen M, Lancellotti P. Mild Cardiotoxicity and Continued Trastuzumab Treatment in the Context of HER2-Positive Breast Cancer. Journal of Clinical Medicine. 2023; 12(21):6708. https://doi.org/10.3390/jcm12216708
Chicago/Turabian Stylede la Brassinne Bonardeaux, Orianne, Benjamin Born, Marie Moonen, and Patrizio Lancellotti. 2023. "Mild Cardiotoxicity and Continued Trastuzumab Treatment in the Context of HER2-Positive Breast Cancer" Journal of Clinical Medicine 12, no. 21: 6708. https://doi.org/10.3390/jcm12216708
APA Stylede la Brassinne Bonardeaux, O., Born, B., Moonen, M., & Lancellotti, P. (2023). Mild Cardiotoxicity and Continued Trastuzumab Treatment in the Context of HER2-Positive Breast Cancer. Journal of Clinical Medicine, 12(21), 6708. https://doi.org/10.3390/jcm12216708
