Fibula Nail versus Locking Plate Fixation—A Biomechanical Study
Abstract
1. Introduction
2. Materials and Methods
2.1. Specimen
2.2. Standardized Instability and Fixation
2.3. Experimental Setup
2.3.1. Movement Measuring
2.3.2. Biomechanical Parameters
2.3.3. Range of Motion (ROM)
2.3.4. Rotational Stiffness (RS)
2.3.5. Diastasis
2.3.6. Normalized ROM, RS, and Diastasis
2.4. Statistics
3. Results
3.1. Bone Mineral Density
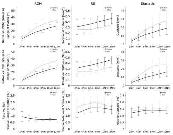
3.2. Native versus Plate and Nail
3.2.1. Range of Motion
3.2.2. Rotational Stiffness
3.2.3. Diastasis
3.3. Plate vs. Nail
3.3.1. Range of Motion
3.3.2. Rotational Stiffness
3.3.3. Diastasis
4. Discussion
Limitations
5. Conclusions
Author Contributions
Funding
Institutional Review Board Statement
Informed Consent Statement
Data Availability Statement
Acknowledgments
Conflicts of Interest
References
- Court-Brown, C.M.; McBirnie, J.; Wilson, G. Adult ankle fractures—an increasing problem? Acta Orthop. Scand. 1998, 69, 43–47. [Google Scholar] [CrossRef]
- Rupp, M.; Walter, N.; Pfeifer, C.; Lang, S.; Kerschbaum, M.; Krutsch, W.; Baumann, F.; Alt, V. The incidence of fractures among the adult population of Germany: An analysis from 2009 through 2019. Dtsch. Ärzteblatt Int. 2021, 118, 665. [Google Scholar]
- Elsoe, R.; Ostgaard, S.E.; Larsen, P. Population-based epidemiology of 9767 ankle fractures. Foot Ankle Surg. 2018, 24, 34–39. [Google Scholar] [CrossRef] [PubMed]
- Weber, B. Lengthening osteotomy of the fibula to correct a widened mortice of the ankle after fracture. Int. Orthop. 1981, 4, 289–293. [Google Scholar] [CrossRef] [PubMed]
- Pettrone, F.A.; Gail, M.; Pee, D.; Fitzpatrick, T.; Van Herpe, L.B. Quantitative criteria for prediction of the results after displaced fracture of the ankle. J. Bone Jt. Surg. Am. Vol. 1983, 65, 667–677. [Google Scholar] [CrossRef]
- Phillips, W.; Schwartz, H.; Keller, C.; Woodward, H.R.; Rudd, W.S.; Spiegel, P.; Laros, G. A prospective, randomized study of the management of severe ankle fractures. J. Bone Jt. Surg. Am. Vol. 1985, 67, 67–78. [Google Scholar] [CrossRef]
- Ali, M.; McLaren, C.; Rouholamin, E.; O’Connor, B. Ankle fractures in the elderly: Nonoperative or operative treatment. J. Orthop. Trauma 1987, 1, 275–280. [Google Scholar] [CrossRef]
- Varenne, Y.; Curado, J.; Asloum, Y.; de Chou, E.S.; Colin, F.; Gouin, F. Analysis of risk factors of the postoperative complications of surgical treatment of ankle fractures in the elderly: A series of 477 patients. Orthop. Traumatol. Surg. Res. 2016, 102, S245–S248. [Google Scholar] [CrossRef]
- Zaghloul, A.; Haddad, B.; Barksfield, R.; Davis, B. Early complications of surgery in operative treatment of ankle fractures in those over 60: A review of 186 cases. Injury 2014, 45, 780–783. [Google Scholar] [CrossRef]
- Smith, G.; Mackenzie, S.P.; Wallace, R.J.; Carter, T.; White, T.O. Biomechanical comparison of intramedullary fibular nail versus plate and screw fixation. Foot Ankle Int. 2017, 38, 1394–1399. [Google Scholar] [CrossRef]
- Switaj, P.J.; Fuchs, D.; Alshouli, M.; Patwardhan, A.G.; Voronov, L.I.; Muriuki, M.; Havey, R.M.; Kadakia, A.R. A biomechanical comparison study of a modern fibular nail and distal fibular locking plate in AO/OTA 44C2 ankle fractures. J. Orthop. Surg. Res. 2016, 11, 100. [Google Scholar] [CrossRef] [PubMed]
- Lynde, M.J.; Sautter, T.; Hamilton, G.A.; Schuberth, J.M. Complications after open reduction and internal fixation of ankle fractures in the elderly. Foot Ankle Surg. 2012, 18, 103–107. [Google Scholar] [CrossRef]
- Bugler, K.; Watson, C.; Hardie, A.; Appleton, P.; McQueen, M.; Court-Brown, C.; White, T. The treatment of unstable fractures of the ankle using the Acumed fibular nail: Development of a technique. J. Bone Jt. Surg. Br. Vol. 2012, 94, 1107–1112. [Google Scholar] [CrossRef] [PubMed]
- Giordano, V.; Boni, G.; Godoy-Santos, A.L.; Pires, R.E.; Fukuyama, J.M.; Koch, H.A.; Giannoudis, P.V. Nailing the fibula: Alternative or standard treatment for lateral malleolar fracture fixation? A broken paradigm. Eur. J. Trauma Emerg. Surg. 2021, 47, 1911–1920. [Google Scholar] [CrossRef] [PubMed]
- Sain, A.; Garg, S.; Sharma, V.; Meena, U.K.; Bansal, H. Osteoporotic Distal Fibula Fractures in the Elderly: How to Fix Them. Cureus 2020, 12, e6552. [Google Scholar] [CrossRef]
- Carter, T.H.; Mackenzie, S.P.; Bell, K.R.; Bugler, K.E.; MacDonald, D.; Duckworth, A.D.; White, T.O. Optimizing long-term outcomes and avoiding failure with the fibula intramedullary nail. J. Orthop. Trauma 2019, 33, 189–195. [Google Scholar] [CrossRef]
- Dabash, S.; Eisenstein, E.D.; Potter, E.; Kusnezov, N.; Thabet, A.M.; Abdelgawad, A.A. Unstable ankle fracture fixation using locked fibular intramedullary nail in high-risk patients. J. Foot Ankle Surg. 2019, 58, 357–362. [Google Scholar] [CrossRef]
- White, T.O.; Bugler, K.; Appleton, P.; Will, E.; McQueen, M.; Court-Brown, C. A prospective randomised controlled trial of the fibular nail versus standard open reduction and internal fixation for fixation of ankle fractures in elderly patients. Bone Jt. J. 2016, 98, 1248–1252. [Google Scholar] [CrossRef]
- Jain, S.; Haughton, B.A.; Brew, C. Intramedullary fixation of distal fibular fractures: A systematic review of clinical and functional outcomes. J. Orthop. Traumatol. 2014, 15, 245. [Google Scholar] [CrossRef]
- Jordan, R.; Chapman, A.; Buchanan, D.; Makrides, P. The role of intramedullary fixation in ankle fractures—A systematic review. Foot Ankle Surg. 2018, 24, 1–10. [Google Scholar] [CrossRef]
- Asloum, Y.; Bedin, B.; Roger, T.; Charissoux, J.-L.; Arnaud, J.-P.; Mabit, C. Internal fixation of the fibula in ankle fractures. A prospective, randomized and comparative study: Plating versus nailing. Orthop. Traumatol. Surg. Res. 2014, 100, S255–S259. [Google Scholar] [CrossRef] [PubMed]
- Challagundla, S.R.; Shewale, S.; Cree, C.; Hawkins, A. Intramedullary fixation of lateral malleolus using Fibula Rod System in ankle fractures in the elderly. Foot Ankle Surg. 2018, 24, 423–426. [Google Scholar] [CrossRef] [PubMed]
- Carter, T.H.; Wallace, R.; Mackenzie, S.A.; Oliver, W.M.; Duckworth, A.D.; White, T.O. The fibular intramedullary nail versus locking plate and lag screw fixation in the management of unstable elderly ankle fractures: A cadaveric biomechanical comparison. J. Orthop. Trauma 2020, 34, e401–e406. [Google Scholar] [CrossRef]
- Ramm, R.; Heinze, M.; Kühmstedt, P.; Christoph, A.; Heist, S.; Notni, G. Portable solution for high-resolution 3D and color texture on-site digitization of cultural heritage objects. J. Cult. Herit. 2022, 53, 165–175. [Google Scholar] [CrossRef]
- Lauge-Hansen, N. Fractures of the ankle. II. Combined experimental-surgical and experimental-roentgenologic investigations. Arch. Surg. 1950, 60, 957–985. [Google Scholar] [CrossRef]
- Appleton, P.; McQueen, M. The fibula nail for treatment of ankle fractures in elderly and high risk patients. Tech. Foot Ankle Surg. 2006, 5, 204–208. [Google Scholar] [CrossRef]
- Dingemans, S.; Rammelt, S.; White, T.; Goslings, J.; Schepers, T. Should syndesmotic screws be removed after surgical fixation of unstable ankle fractures? A systematic review. Bone Jt. J. 2016, 98, 1497–1504. [Google Scholar] [CrossRef]
- Rajeev, A.; Senevirathna, S.; Radha, S.; Kashayap, N. Functional outcomes after fibula locking nail for fragility fractures of the ankle. J. Foot Ankle Surg. 2011, 50, 547–550. [Google Scholar] [CrossRef]
- Walsh, J.P.; Hsiao, M.S.; LeCavalier, D.; McDermott, R.; Gupta, S.; Watson, T.S. Clinical outcomes in the surgical management of ankle fractures: A systematic review and meta-analysis of fibular intramedullary nail fixation vs. open reduction and internal fixation in randomized controlled trials. Foot Ankle Surg. 2022, 28, 836–844. [Google Scholar] [CrossRef] [PubMed]



| Load Level, [Nm] | Nail | Plate | p-Value | ES | |
|---|---|---|---|---|---|
| Normalized ROM [%] | 2 | 0.90 ± 0.53 | 0.93 ± 0.40 | 0.896 | 0.07 |
| 4 | 0.78 ± 0.35 | 0.81 ± 0.20 | 0.862 | 0.09 | |
| 6 | 0.72 ± 0.20 | 0.74 ± 0.13 | 0.854 | 0.10 | |
| 8 | 0.70 ± 0.17 | 0.72 ± 0.09 | 0.768 | 0.15 | |
| 10 | 0.72 ± 0.22 | 0.72 ± 0.07 | 0.974 | 0.02 | |
| 12 | 0.69 ± 0.12 | 0.72 ± 0.07 | 0.686 | 0.30 | |
| Mean values | 0.75 ± 0.31 | 0.77 ± 0.22 | 0.694 | 0.08 | |
| Normalized RS [%] | 2 | 1.59 ± 0.69 | 1.18 ± 0.35 | 0.172 | 0.73 |
| 4 | 1.83 ± 0.59 | 1.40 ± 0.28 | 0.095 | 0.91 | |
| 6 | 1.91 ± 0.61 | 1.59 ± 0.40 | 0.253 | 0.60 | |
| 8 | 2.04 ± 0.62 | 1.59 ± 0.28 | 0.094 | 0.90 | |
| 10 | 1.78 ± 0.59 | 1.55 ± 0.29 | 0.416 | 0.50 | |
| 12 | 1.67 ± 0.23 | 1.45 ± 0.24 | 0.270 | 0.91 | |
| Mean values | 1.80 ± 0.59 | 1.46 ± 0.33 | <0.001 | 0.76 | |
| Normalized diastasis [%] | 2 | 1.33 ± 0.47 | 1.20 ± 0.36 | 0.547 | 0.31 |
| 4 | 1.43 ± 0.43 | 1.30 ± 0.33 | 0.527 | 0.33 | |
| 6 | 1.48 ± 0.39 | 1.40 ± 0.26 | 0.650 | 0.24 | |
| 8 | 1.51 ± 0.38 | 1.41 ± 0.17 | 0.512 | 0.33 | |
| 10 | 1.50 ± 0.47 | 1.39 ± 0.13 | 0.648 | 0.32 | |
| 12 | 1.49 ± 0.23 | 1.41 ± 0.16 | 0.582 | 0.41 | |
| Mean values | 12 | 1.46 ± 0.39 | 1.35 ± 0.26 | 0.166 | 0.32 |
Disclaimer/Publisher’s Note: The statements, opinions and data contained in all publications are solely those of the individual author(s) and contributor(s) and not of MDPI and/or the editor(s). MDPI and/or the editor(s) disclaim responsibility for any injury to people or property resulting from any ideas, methods, instructions or products referred to in the content. |
© 2023 by the authors. Licensee MDPI, Basel, Switzerland. This article is an open access article distributed under the terms and conditions of the Creative Commons Attribution (CC BY) license (https://creativecommons.org/licenses/by/4.0/).
Share and Cite
Kohler, F.C.; Schenk, P.; Nies, T.; Hallbauer, J.; Hofmann, G.O.; Biedermann, U.; Kielstein, H.; Wildemann, B.; Ramm, R.; Ullrich, B.W. Fibula Nail versus Locking Plate Fixation—A Biomechanical Study. J. Clin. Med. 2023, 12, 698. https://doi.org/10.3390/jcm12020698
Kohler FC, Schenk P, Nies T, Hallbauer J, Hofmann GO, Biedermann U, Kielstein H, Wildemann B, Ramm R, Ullrich BW. Fibula Nail versus Locking Plate Fixation—A Biomechanical Study. Journal of Clinical Medicine. 2023; 12(2):698. https://doi.org/10.3390/jcm12020698
Chicago/Turabian StyleKohler, Felix Christian, Philipp Schenk, Theresa Nies, Jakob Hallbauer, Gunther Olaf Hofmann, Uta Biedermann, Heike Kielstein, Britt Wildemann, Roland Ramm, and Bernhard Wilhelm Ullrich. 2023. "Fibula Nail versus Locking Plate Fixation—A Biomechanical Study" Journal of Clinical Medicine 12, no. 2: 698. https://doi.org/10.3390/jcm12020698
APA StyleKohler, F. C., Schenk, P., Nies, T., Hallbauer, J., Hofmann, G. O., Biedermann, U., Kielstein, H., Wildemann, B., Ramm, R., & Ullrich, B. W. (2023). Fibula Nail versus Locking Plate Fixation—A Biomechanical Study. Journal of Clinical Medicine, 12(2), 698. https://doi.org/10.3390/jcm12020698

