Clinical Impact of Recipient-Derived Isoagglutinin Levels in ABO-Incompatible Hematopoietic Stem Cell Transplantation
Abstract
1. Introduction
2. Materials and Methods
2.1. Study Population
2.2. Measurement of Isoagglutinin Levels
2.3. Definition of Clinical Outcomes
2.4. Statistical Analysis
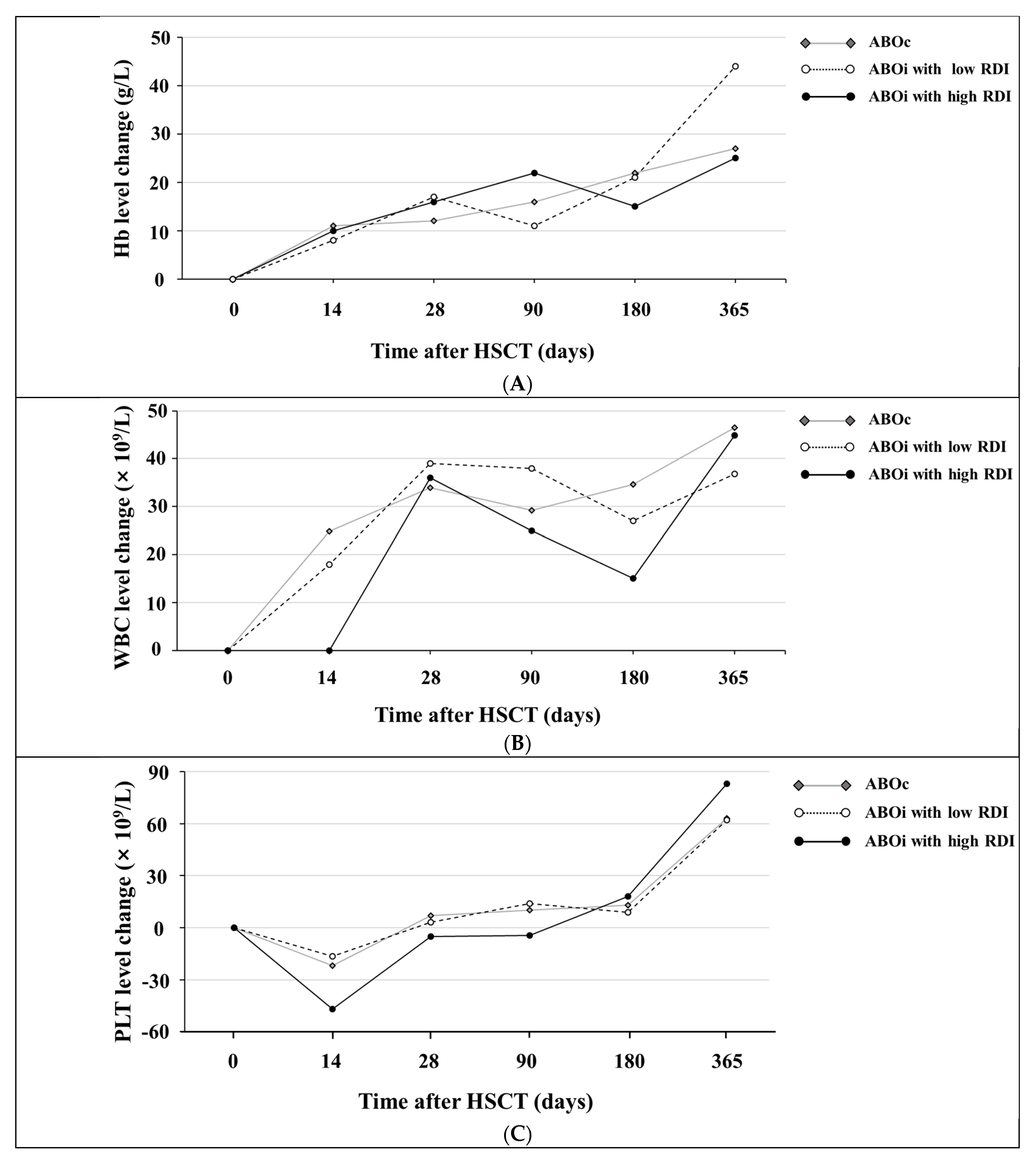
3. Results
4. Discussion
Author Contributions
Funding
Institutional Review Board Statement
Informed Consent Statement
Data Availability Statement
Conflicts of Interest
References
- Giralt, S.; Bishop, M.R. Principles and overview of allogeneic hematopoietic stem cell transplantation. Cancer Treat Res. 2009, 144, 1–21. [Google Scholar] [CrossRef] [PubMed]
- Olsson, M.L.; Westman, J.S. ABO and other carbohydrate blood group systems. In Technical Manual, 20th ed.; American Association of Blood Banks: Bethesda, MD, USA, 2020. [Google Scholar]
- Rowley, S. Hematopoietic stem cell transplantation between red cell incompatible donor-recipient pairs. Bone Marrow Transplant. 2001, 28, 315–321. [Google Scholar] [CrossRef] [PubMed][Green Version]
- Booth, G.S.; Gehrie, E.A.; Bolan, C.D.; Savani, B.N. Clinical guide to ABO-incompatible allogeneic stem cell transplantation. Biol. Blood Marrow Transplant. 2013, 19, 1152–1158. [Google Scholar] [CrossRef] [PubMed]
- Kim, J.G.; Sohn, S.K.; Kim, D.H.; Baek, J.H.; Lee, K.B.; Min, W.S.; Kim, C.C.; Lee, M.H.; Lee, J.J.; Chung, I.J.; et al. Impact of ABO incompatibility on outcome after allogeneic peripheral blood stem cell transplantation. Bone Marrow Transplant. 2005, 35, 489–495. [Google Scholar] [CrossRef]
- Vaezi, M.; Dameshaghi, D.O.; Souri, S.; Setarehdan, S.A.; Alimoghaddam, K.; Ghavamzadeh, A. ABO incompatibility and hematopoietic stem cell transplantation outcomes. Int. J. Hematol. Oncol. Stem Cell Res. 2017, 11, 139–147. [Google Scholar]
- Resnick, I.B.; Tsirigotis, P.D.; Shapira, M.Y.; Aker, M.; Bitan, M.; Samuel, S.; Abdul-Hai, A.; Ackerstein, A.; Or, R.; Slavin, S. ABO incompatibility is associated with increased non-relapse and GVHD related mortality in patients with malignancies treated with a reduced intensity regimen: A single center experience of 221 patients. Biol. Blood Marrow Transplant. 2008, 14, 409–417. [Google Scholar] [CrossRef]
- Valentini, C.G.; Metafuni, E.; Gallo, L.; Giammarco, S.; Orlando, N.; Bianchi, M.; Sica, S.; Bacigalupo, A.; Chiusolo, P.; Teofili, L. ABO mismatch in allogeneic hematopoietic stem cell transplant: Effect on short- and long-term outcomes. Transplant. Direct 2021, 7, e724. [Google Scholar] [CrossRef]
- Kimura, F.; Sato, K.; Kobayashi, S.; Ikeda, T.; Sao, H.; Okamoto, S.; Miyamura, K.; Mori, S.; Akiyama, H.; Hirokawa, M.; et al. Impact of ABO-blood group incompatibility on the outcome of recipients of bone marrow transplants from unrelated donors in the Japan marrow donor program. Haematologica 2008, 93, 1686–1693. [Google Scholar] [CrossRef]
- Stussi, G.; Muntwyler, J.; Passweg, J.R.; Seebach, L.; Schanz, U.; Gmur, J.; Gratwohl, A.; Seebach, J.D. Consequences of ABO incompatibility in allogeneic hematopoietic stem cell transplantation. Bone Marrow Transplant. 2002, 30, 87–93. [Google Scholar] [CrossRef]
- Blin, N.; Traineau, R.; Houssin, S.; de Latour, R.P.; Petropoulou, A.; Robin, M.; Larghero, J.; Ribaud, P.; Socie, G. Impact of donor-recipient major ABO mismatch on allogeneic transplantation outcome according to stem cell source. Biol. Blood Marrow Transplant. 2010, 16, 1315–1323. [Google Scholar] [CrossRef]
- Bolan, C.D.; Childs, R.W.; Procter, J.L.; Barrett, A.J.; Leitman, S.F. Massive immune haemolysis after allogeneic peripheral blood stem cell transplantation with minor ABO incompatibility. Br. J. Haematol. 2001, 112, 787–795. [Google Scholar] [CrossRef] [PubMed]
- Chung, H.J.; Lee, J.H.; Kwon, S.W. Significance of donor-derived isoagglutinins in ABO-incompatible hematopoietic stem cell transplantation. J. Clin. Lab. Anal. 2008, 22, 383–390. [Google Scholar] [CrossRef] [PubMed]
- Worel, N. ABO-mismatched allogeneic hematopoietic stem cell transplantation. Transfus. Med. Hemother. 2016, 43, 3–12. [Google Scholar] [CrossRef]
- Zachary, A.A.; Leffell, M.S. Desensitization for solid organ and hematopoietic stem cell transplantation. Immunol. Rev. 2014, 258, 183–207. [Google Scholar] [CrossRef] [PubMed]
- Gyurkocza, B.; Sandmaier, B.M. Conditioning regimens for hematopoietic cell transplantation: One size does not fit all. Blood 2014, 124, 344–353. [Google Scholar] [CrossRef]
- van der Maas, N.G.; Berghuis, D.; van der Burg, M.; Lankester, A.C. B cell reconstitution and influencing factors after hematopoietic stem cell transplantation in children. Front. Immunol. 2019, 10, 782. [Google Scholar] [CrossRef]
- Rovira, J.; Cid, J.; Gutiérrez-García, G.; Pereira, A.; Fernández-Avilés, F.; Rosiñol, L.; Martínez, C.; Carreras, E.; Urbano, A.; Rovira, M.; et al. Fatal immune hemolytic anemia following allogeneic stem cell transplantation: Report of 2 cases and review of literature. Transfus. Med. Rev. 2013, 27, 166–170. [Google Scholar] [CrossRef]
- Igarashi, A.; Kakihana, K.; Haraguchi, K.; Aoki, J.; Kobayashi, T.; Okuyama, Y.; Ohashi, K.; Sakamaki, H. Anti-host isohemagglutinin production is associated with a higher risk of acute GVHD in ABO-incompatible transplantation. Bone Marrow Transplant. 2012, 47, 1356–1360. [Google Scholar] [CrossRef][Green Version]
- Lee, J.H.; Lee, J.H.; Choi, S.J.; Kim, S.; Seol, M.; Kwon, S.W.; Park, C.J.; Chi, H.S.; Lee, J.S.; Kim, W.K.; et al. Changes of isoagglutinin titres after ABO-incompatible allogeneic stem cell transplantation. Br. J. Haematol. 2003, 120, 702–710. [Google Scholar] [CrossRef]
- Jagasia, M.H.; Greinix, H.T.; Arora, M.; Williams, K.M.; Wolff, D.; Cowen, E.W.; Palmer, J.; Weisdorf, D.; Treister, N.S.; Cheng, G.S.; et al. National institutes of health consensus development project on criteria for clinical trials in chronic graft-versus-host disease: I. The 2014 diagnosis and staging working group report. Biol. Blood Marrow Transplant. 2015, 21, 389–401.E1. [Google Scholar] [CrossRef]
- Przepiorka, D.; Weisdorf, D.; Martin, P.; Klingemann, H.G.; Beatty, P.; Hows, J.; Thomas, E.D. 1994 consensus conference on acute GVHD grading. Bone Marrow Transplant. 1995, 15, 825–828. [Google Scholar] [PubMed]
- Ljungman, P.; Boeckh, M.; Hirsch, H.H.; Josephson, F.; Lundgren, J.; Nichols, G.; Pikis, A.; Razonable, R.R.; Miller, V.; Griffiths, P.D.; et al. Definitions of cytomegalovirus infection and disease in transplant patients for use in clinical trials. Clin. Infect. Dis. 2017, 64, 87–91. [Google Scholar] [CrossRef] [PubMed]
- Styczynski, J.; van der Velden, W.; Fox, C.P.; Engelhard, D.; de la Camara, R.; Cordonnier, C.; Ljungman, P. Management of Epstein-Barr Virus infections and post-transplant lymphoproliferative disorders in patients after allogeneic hematopoietic stem cell transplantation: Sixth european conference on infections in leukemia (ECIL-6) guidelines. Haematologica 2016, 101, 803–811. [Google Scholar] [CrossRef]
- Cole, T.J. Too many digits: The presentation of numerical data. Arch. Dis. Child. 2015, 100, 608–609. [Google Scholar] [CrossRef] [PubMed]
- Michallet, M.; Le, Q.H.; Mohty, M.; Prebet, T.; Nicolini, F.; Boiron, J.M.; Esperou, H.; Attal, M.; Milpied, N.; Lioure, B.; et al. Predictive factors for outcomes after reduced intensity conditioning hematopoietic stem cell transplantation for hematological malignancies: A 10-year retrospective analysis from the société française de greffe de moelle et de thérapie cellulaire. Exp. Hematol. 2008, 36, 535–544. [Google Scholar] [CrossRef]
- Mehta, J.; Powles, R.; Sirohi, B.; Treleaven, J.; Kulkarni, S.; Saso, R.; Tait, D.; Singhal, S. Does donor-recipient ABO incompatibility protect against relapse after allogeneic bone marrow transplantation in first remission acute myeloid leukemia? Bone Marrow Transplant. 2002, 29, 853–859. [Google Scholar] [CrossRef]
- Erker, C.G.; Steins, M.B.; Fischer, R.J.; Kienast, J.; Berdel, W.E.; Sibrowski, W.; Cassens, U. The influence of blood group differences in allogeneic hematopoietic peripheral blood progenitor cell transplantation. Transfusion 2005, 45, 1382–1390. [Google Scholar] [CrossRef]
- Jaing, T.H. Complications of haematopoietic stem cell transplantation. ISBT Sci. Ser. 2011, 6, 332–336. [Google Scholar] [CrossRef]
- Ghimire, S.; Weber, D.; Mavin, E.; Wang, X.N.; Dickinson, A.M.; Holler, E. Pathophysiology of GVHD and other HSCT-related major complications. Front. Immunol. 2017, 8, 79. [Google Scholar] [CrossRef]
- Shimabukuro-Vornhagen, A.; Hallek, M.J.; Storb, R.F.; von Bergwelt-Baildon, M.S. The role of B cells in the pathogenesis of graft-versus-host disease. Blood 2009, 114, 4919–4927. [Google Scholar] [CrossRef]
- Guidelines on Blood Transfusion, 5th Edition (Revised Edition). Ministry of Health and Welfare, Korea Centers for Disease Control and Prevention, Korean Society of Blood Transfusion. Available online: http://www.transfusion.or.kr/KOR/images/file/2022_5.pdf (accessed on 14 November 2022).
- Rowley, S.D.; Liang, P.S.; Ulz, L. Transplantation of ABO-incompatible bone marrow and peripheral blood stem cell components. Bone Marrow Transplant. 2000, 26, 749–757. [Google Scholar] [CrossRef] [PubMed]
- Adkins, B.D.; Andrews, J.; Sharma, D.; Hughes, C.; Kassim, A.A.; Eichbaum, Q. Low rates of anti-recipient isohemagglutinins in ABO incompatible hematopoietic stem cell transplants. Transfus. Apher. Sci. 2021, 60, 102965. [Google Scholar] [CrossRef] [PubMed]
- Malfuson, J.V.; Amor, R.B.; Bonin, P.; Rodet, M.; Boccaccio, C.; Pautas, C.; Kuentz, M.; Cordonnier, C.; Noizat-Pirenne, F.; Maury, S. Impact of nonmyeloablative conditioning regimens on the occurrence of pure red cell after ABO-incompatible allogeneic haematopoietic stem cell transplantation. Vox Sang. 2007, 92, 85–89. [Google Scholar] [CrossRef]


| Characteristics | ABOc (n = 53) | ABOi (N = 50) | p Value * | |
|---|---|---|---|---|
| Low RDI (n = 36) | High RDI (n = 14) | |||
| Recipient age, years | 41.0 (28.8–53.3) | 55.5 (51.0–58.0) | 38.5 (27.0–51.0) | 0.01 |
| Recipient sex | ||||
| Male | 36 (67.9) | 21 (58.3) | 10 (71.4) | 0.49 |
| Female | 17 (32.1) | 15 (41.7) | 4 (28.6) | 0.64 |
| ABO incompatibility | ||||
| Major | - | 8 (22.2) | 9 (64.3) | 0.09 |
| Minor | - | 21 (58.3) | 0 (0.0) | - |
| Bidirectional | - | 7 (19.4) | 5 (35.7) | 0.54 |
| Diagnosis | ||||
| AML | 17 (32.1) | 13 (36.1) | 4 (28.6) | 0.79 |
| ALL | 12 (22.6) | 7 (19.4) | 1 (7.1) | 0.78 |
| MDS | 8 (15.1) | 9 (25.0) | 4 (28.6) | 0.90 |
| Lymphoma | 3 (5.7) | 2 (5.6) | 3 (21.4) | 0.67 |
| ALAL | 2 (3.8) | 2 (5.6) | 0 (0.0) | - |
| PCM | 3 (5.7) | 0 (0.0) | 1 (7.1) | - |
| CML | 4 (7.5) | 0 (0.0) | 0 (0.0) | - |
| Other † | 4 (7.5) | 3 (8.3) | 1 (7.1) | 0.97 |
| Conditioning regimen | ||||
| Myeloablative | 24 (45.3) | 10 (27.8) | 4 (28.6) | 0.98 |
| RIC | 29 (54.7) | 26 (72.2) | 10 (71.4) | 0.96 |
| Donor age, years | 36.0 (27.0–44.5) | 35.0 (26.0–46.0) | 41.5 (33.0–50.0) | 0.25 |
| Donor sex | ||||
| Male | 31 (58.5) | 22 (61.1) | 9 (64.3) | 0.87 |
| Female | 22 (41.5) | 14 (38.9) | 5 (35.7) | 0.90 |
| Outcomes | ABOc (n = 53) | ABOi (N = 50) | p Value * | |
|---|---|---|---|---|
| Low RDI (n = 36) | High RDI (n = 14) | |||
| Survival | ||||
| 1-year survival | 33 (62.3) | 26 (72.2) | 4 (28.6) | 0.02 |
| 5-year survival | 20 (37.7) | 13 (36.1) | 3 (21.4) | 0.52 |
| 10-year survival | 8 (15.1) | 4 (11.1) | 3 (21.4) | 0.73 |
| aGVHD | ||||
| Gr I | 8 (15.1) | 3 (21.4) | 1 (7.1) | 0.52 |
| Gr II | 5 (9.4) | 1 (2.8) | 0 (0.0) | 0.26 |
| Gr III | 4 (7.5) | 8 (22.2) | 1 (7.1) | 0.10 |
| Gr IV | 2 (3.8) | 1 (2.8) | 3 (21.4) | 0.03 |
| cGVHD | 19 (35.8) | 7 (19.4) | 1 (7.1) | 0.05 |
| Relapse | 18 (34.0) | 14 (38.9) | 4 (28.6) | 0.77 |
| Infection | ||||
| CMV | 18 (34.0) | 13 (36.1) | 5 (35.7) | 0.98 |
| EBV | 14 (22.6) | 5 (13.9) | 0 (0.0) | 0.11 |
| Transfusion | ||||
| RBC, 30 days | 23 (43.4) | 20 (55.6) | 11 (78.6) | 0.03 |
| RBC, 90 days | 29 (54.7) | 25 (69.4) | 12 (85.7) | 0.04 |
| PLT, 30 days | 16 (30.2) | 15 (41.7) | 8 (42.9) | 0.11 |
| PLT, 90 days | 23 (43.4) | 18 (50.0) | 10 (71.4) | 0.17 |
| Engraftment | ||||
| Neutrophils at 30 days | 26 (49.1) | 15 (41.7) | 8 (57.1) | 0.59 |
| PLT at 90 days | 44 (83.0) | 30 (83.3) | 8 (57.1) | 0.08 |
| Factors | Death | aGVHD Grade IV | ||||||
|---|---|---|---|---|---|---|---|---|
| β | SE | p Value | OR (95% CI) | β | SE | p Value | OR (95% CI) | |
| Age_R | 0.00 | 0.01 | 0.84 | 1.00 (0.98–1.03) | 0.03 | 0.05 | 0.58 | 1.03 (0.93–1.14) |
| Female_R | 0.83 | 0.32 | 0.01 | 2.28 (1.22–4.26) | 0.43 | 1.34 | 0.75 | 1.54 (0.11–21.19) |
| MR | −0.58 | 0.31 | 0.07 | 0.56 (0.30–1.04) | 0.41 | 1.51 | 0.79 | 1.50 (0.08–28.80) |
| High RDI | 1.16 | 0.43 | 0.01 | 3.20 (1.38–7.43) | 0.92 | 1.74 | 0.60 | 2.51 (0.08–76.51) |
| ABOi | −0.03 | 0.32 | 0.92 | 0.97 (0.52–1.81) | −0.62 | 1.47 | 0.67 | 0.54 (0.03–9.54) |
| Age_D | 0.02 | 0.01 | 0.08 | 1.02 (1.00–1.05) | −0.07 | 0.06 | 0.24 | 0.93 (0.83–1.05) |
| Female_D | 0.35 | 0.31 | 0.26 | 1.42 (0.77–2.61) | 0.46 | 1.18 | 0.69 | 1.59 (0.16–15.90) |
| Factors | RBC Transfusion | PLT Engraftment | ||||||
|---|---|---|---|---|---|---|---|---|
| β | SE | p Value | OR (95% CI) | β | SE | p Value | OR (95% CI) | |
| Age_R | −0.01 | 0.02 | 0.76 | 0.99 (0.96–1.03) | 0.01 | 0.02 | 0.52 | 1.02 (0.97–1.06) |
| Female_R | 0.84 | 0.50 | 0.10 | 2.31 (0.86–6.16) | −0.74 | 0.56 | 0.18 | 0.48 (0.16–1.42) |
| MR | −0.16 | 0.54 | 0.77 | 0.85 (0.30–2.46) | −0.50 | 0.65 | 0.45 | 0.61 (0.17–2.19) |
| High RDI | 2.11 | 0.93 | 0.02 | 8.28 (1.33–51.74) | −1.71 | 0.80 | 0.03 | 0.18 (0.04–0.87) |
| ABOi | 0.49 | 0.49 | 0.32 | 1.63 (0.62–4.30) | 0.01 | 0.63 | 0.99 | 1.01 (0.29–3.48) |
| Age_D | −0.06 | 0.02 | 0.12 | 0.94 (0.90–0.99) | 0.00 | 0.03 | 0.90 | 1.00 (0.95–1.06) |
| Female_D | −0.06 | 0.50 | 0.91 | 0.95 (0.35–2.53) | 0.09 | 0.60 | 0.87 | 1.10 (0.34–3.54) |
Disclaimer/Publisher’s Note: The statements, opinions and data contained in all publications are solely those of the individual author(s) and contributor(s) and not of MDPI and/or the editor(s). MDPI and/or the editor(s) disclaim responsibility for any injury to people or property resulting from any ideas, methods, instructions or products referred to in the content. |
© 2023 by the authors. Licensee MDPI, Basel, Switzerland. This article is an open access article distributed under the terms and conditions of the Creative Commons Attribution (CC BY) license (https://creativecommons.org/licenses/by/4.0/).
Share and Cite
Nam, M.; Hur, M.; Kim, H.; Lee, T.-H.; Lee, G.-H.; Yoon, S.; Park, S.; Kim, S.Y.; Lee, M.H. Clinical Impact of Recipient-Derived Isoagglutinin Levels in ABO-Incompatible Hematopoietic Stem Cell Transplantation. J. Clin. Med. 2023, 12, 458. https://doi.org/10.3390/jcm12020458
Nam M, Hur M, Kim H, Lee T-H, Lee G-H, Yoon S, Park S, Kim SY, Lee MH. Clinical Impact of Recipient-Derived Isoagglutinin Levels in ABO-Incompatible Hematopoietic Stem Cell Transplantation. Journal of Clinical Medicine. 2023; 12(2):458. https://doi.org/10.3390/jcm12020458
Chicago/Turabian StyleNam, Minjeong, Mina Hur, Hanah Kim, Tae-Hwan Lee, Gun-Hyuk Lee, Sumi Yoon, Seungman Park, Sung Yong Kim, and Mark Hong Lee. 2023. "Clinical Impact of Recipient-Derived Isoagglutinin Levels in ABO-Incompatible Hematopoietic Stem Cell Transplantation" Journal of Clinical Medicine 12, no. 2: 458. https://doi.org/10.3390/jcm12020458
APA StyleNam, M., Hur, M., Kim, H., Lee, T.-H., Lee, G.-H., Yoon, S., Park, S., Kim, S. Y., & Lee, M. H. (2023). Clinical Impact of Recipient-Derived Isoagglutinin Levels in ABO-Incompatible Hematopoietic Stem Cell Transplantation. Journal of Clinical Medicine, 12(2), 458. https://doi.org/10.3390/jcm12020458

