Prostate Biopsy in the Case of PIRADS 5—Is Systematic Biopsy Mandatory?
Abstract
:1. Introduction
2. Materials and Methods
2.1. Materials and MRI–Ultrasound Fusion Biopsy
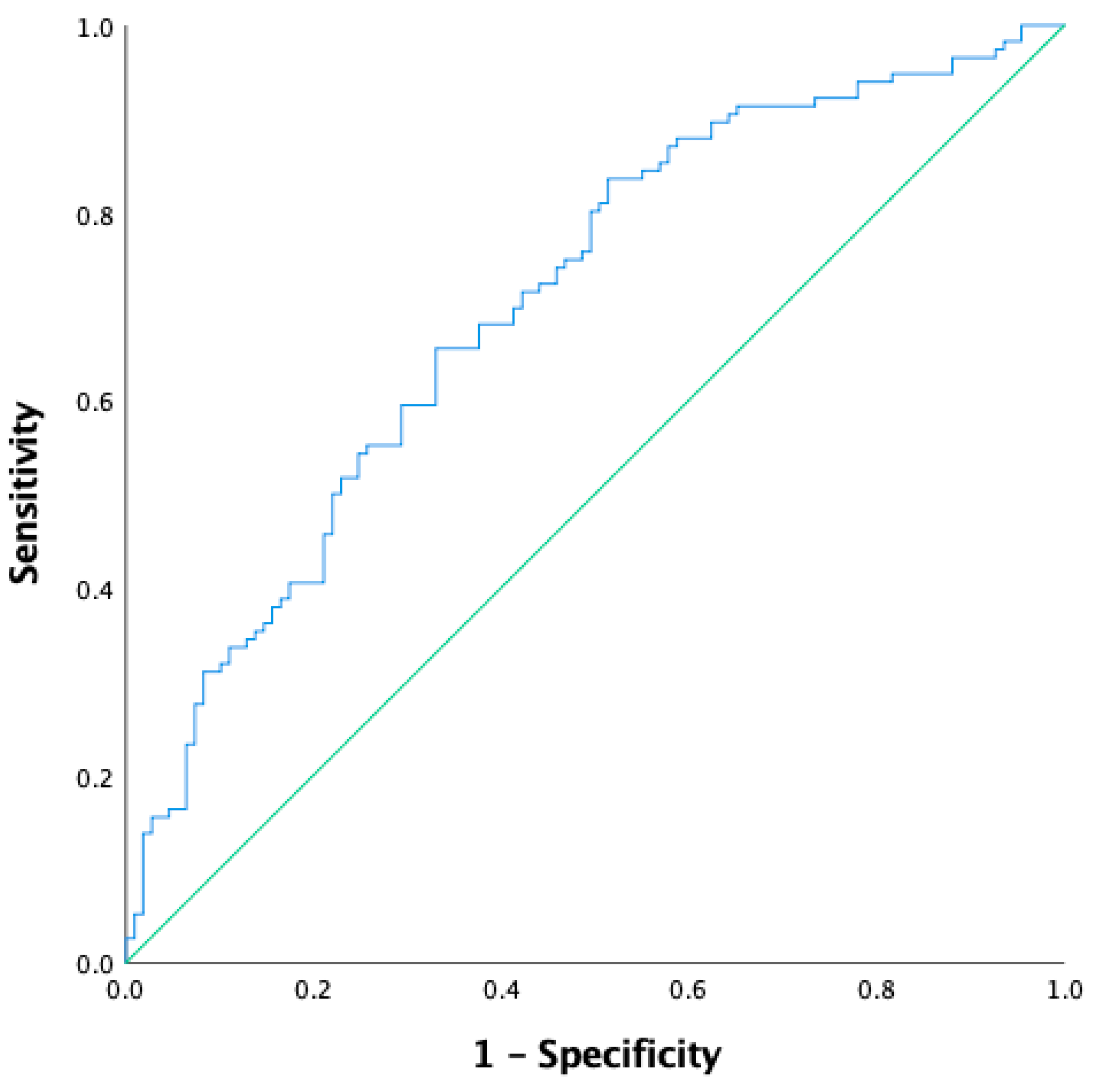
2.2. Statistical Analysis
3. Results
3.1. Characteristics of the Group and Comparison of Clinical Data between the csPC Group and No-csPC Group
3.2. MRI Targeted Biopsy vs. Combined Biopsy
3.3. Clinical Factors Impacting the Detection of csPC in SB and TB
3.4. Role of Clinical Factors: PSAD and Primary vs. Repeat Biopsy for csPC Detection in SB
3.4.1. Biopsy Setting—Primary vs. Repeat
3.4.2. Low PSAD (<0.17 ng/mL2) vs. High PSAD (>0.17 ng/mL2)
4. Discussion
Limitations
5. Conclusions
Author Contributions
Funding
Institutional Review Board Statement
Informed Consent Statement
Data Availability Statement
Conflicts of Interest
References
- World Health Organization International Agency for Research on Cancer (IARC). GLOBOCAN 2012: Estimated Cancer Incidence, Mortality and Prevalence Worldwide in 2012. Homepage on the Internet. 2012. Available online: http://globocan.iarc.fr/Pages/fact_sheets_cancer.aspx (accessed on 23 April 2016).
- EAU Guidelines: Edn. Presented at the EAU Annual Congress Amsterdam, 2022; EAU Guidelines Office: Arnhem, The Netherlands, 2022; ISBN 978-94-92671-16-51.
- Weinreb, J.C.; Barentsz, J.O.; Choyke, P.L.; Cornud, F.; Haider, M.A.; Macura, K.J.; Margolis, D.; Schnall, M.D.; Shtern, F.; Tempany, C.M.; et al. PI-RADS Prostate Imaging—Reporting and Data System: 2015, Version 2. Eur. Urol. 2016, 69, 16–40. [Google Scholar] [CrossRef] [PubMed]
- Panebianco, V.; Barchetti, G.; Simone, G.; Del Monte, M.; Ciardi, A.; Grompone, M.D.; Campa, R.; Indino, E.L.; Barchetti, F.; Sciarra, A.; et al. Negative Multiparametric Magnetic Resonance Imaging for Prostate Cancer: What’s Next? Eur. Urol. 2018, 74, 48–54. [Google Scholar] [CrossRef] [PubMed]
- Tu, X.; Liu, Z.; Chang, T.; Qiu, S.; Xu, H.; Bao, Y.; Yang, L.; Wei, Q. Transperineal Magnetic Resonance Imaging–Targeted Biopsy May Perform Better Than Transrectal Route in the Detection of Clinically Significant Prostate Cancer: Systematic Review and Meta-analysis. Clin. Genitourin. Cancer 2019, 17, e860–e870. [Google Scholar] [CrossRef]
- Wegelin, O.; van Melick, H.H.; Hooft, L.; Bosch, J.R.; Reitsma, H.B.; Barentsz, J.O.; Somford, D.M. Comparing Three Different Techniques for Magnetic Resonance Imaging-targeted Prostate Biopsies: A Systematic Review of In-bore versus Magnetic Resonance Imaging-transrectal Ultrasound fusion versus Cognitive Registration. Is There a Preferred Technique? Eur. Urol. 2017, 71, 517–531. [Google Scholar] [CrossRef]
- Kenigsberg, A.P.; Renson, A.; Rosenkrantz, A.B.; Huang, R.; Wysock, J.S.; Taneja, S.S.; Bjurlin, M.A. Optimizing the Number of Cores Targeted During Prostate Magnetic Resonance Imaging Fusion Target Biopsy. Eur. Urol. Oncol. 2018, 1, 418–425. [Google Scholar] [CrossRef]
- Donovan, J.; Hamdy, F.; Neal, D.; Peters, T.; Oliver, S.; Brindle, L.; Jewell, D.; Powell, P.; Gillatt, D.; Dedman, D.; et al. Prostate Testing for Cancer and Treatment (ProtecT) feasibility study. Health Technol. Assess 2003, 7, 1–88. [Google Scholar] [CrossRef]
- Drost, F.J.H.; Osses, D.F.; Nieboer, D.; Steyerberg, E.W.; Bangma, C.H.; Roobol, M.J.; Schoots, I.G. Prostate MRI with or without MRI-targeted biopsy, and systematic biopsy for detecting prostate cancer. Cochrane Database Syst. Rev. 2019, 2019, CD012663. [Google Scholar] [CrossRef]
- Lee, D.J.; Mallin, K.; Graves, A.J.; Chang, S.S.; Penson, D.F.; Resnick, M.J.; Barocas, D.A. Recent Changes in Prostate Cancer Screening Practices and Epidemiology. J. Urol. 2017, 198, 1230–1240. [Google Scholar] [CrossRef] [PubMed]
- Kaver, I.; Mabjeesh, N.J.; Matzkin, H. Randomized prospective study of periprostatic local anesthesia during transrectal ultrasound-guided prostate biopsy. Urology 2002, 59, 405–408. [Google Scholar] [CrossRef] [PubMed]
- Ding, X.-F.; Luan, Y.; Lu, S.-M.; Zhou, G.-C.; Huang, T.-B.; Zhu, L.-Y.; Guo, C.-H. Risk factors for infection complications after transrectal ultrasound-guided transperineal prostate biopsy. World J. Urol. 2021, 39, 2463–2467. [Google Scholar] [CrossRef]
- Ghafoori, M.; Velayati, M.; Aliyari Ghasabeh, M.; Shakiba, M.; Alavi, M. Prostate Biopsy Using Transrectal Ultrasonography; The Optimal Number of Cores Regarding Cancer Detection Rate and Complications. Iran. J. Radiol. 2015, 12, e13257. [Google Scholar] [CrossRef]
- Carneiro, A.; Sivaraman, A.; Sanchez-Salas, R.; Nunes-Silva, I.; Baghdadi, M.; Srougi, V.; di Trapani, E.; Pizzaro, F.U.; Doizi, S.; Barret, E.; et al. Un mayor número de cilindros de biopsia transrectal de próstata guiada por ultrasonido se asocia con una mayor pérdida de sangre y complicaciones perioperatorias en la prostatectomía radical asistida por robot. Actas Urológicas Españolas 2017, 41, 155–161. [Google Scholar] [CrossRef]
- Ahdoot, M.; Wilbur, A.R.; Reese, S.E.; Lebastchi, A.H.; Mehralivand, S.; Gomella, P.T.; Bloom, J.; Gurram, S.; Siddiqui, M.; Pinsky, P.; et al. MRI-Targeted, Systematic, and Combined Biopsy for Prostate Cancer Diagnosis. N. Engl. J. Med. 2020, 382, 917–928. [Google Scholar] [CrossRef] [PubMed]
- Wegelin, O.; Exterkate, L.; van der Leest, M.; Kummer, J.A.; Vreuls, W.; de Bruin, P.C.; Bosch, J.; Barentsz, J.O.; Somford, D.M.; van Melick, H.H. The FUTURE Trial: A Multicenter Randomised Controlled Trial on Target Biopsy Techniques Based on Magnetic Resonance Imaging in the Diagnosis of Prostate Cancer in Patients with Prior Negative Biopsies. Eur. Urol. 2019, 75, 582–590. [Google Scholar] [CrossRef]
- Rouvière, O.; Puech, P.; Renard-Penna, R.; Claudon, M.; Roy, C.; Mège-Lechevallier, F.; Decaussin-Petrucci, M.; Dubreuil-Chambardel, M.; Magaud, L.; Remontet, L.; et al. Use of prostate systematic and targeted biopsy on the basis of multiparametric MRI in biopsy-naive patients (MRI-FIRST): A prospective, multicentre, paired diagnostic study. Lancet Oncol. 2019, 20, 100–109. [Google Scholar] [CrossRef]
- Porpiglia, F.; Checcucci, E.; De Cillis, S.; Piramide, F.; Amparore, D.; Piana, A.; Volpi, G.; Granato, S.; Zamengo, D.; Stura, I.; et al. A prospective randomized controlled trial comparing target prostate biopsy alone approach vs. target plus standard in naïve patients with positive mpMRI. Minerva Urol. Nephrol. 2023, 75, 31–41. [Google Scholar] [CrossRef]
- Nakanishi, Y.; Ito, M.; Fukushima, H.; Yokoyama, M.; Kataoka, M.; Ikuta, S.; Sakamoto, K.; Takemura, K.; Suzuki, H.; Tobisu, K.; et al. Who Can Avoid Systematic Biopsy Without Missing Clinically Significant Prostate Cancer in Men Who Undergo Magnetic Resonance Imaging-Targeted Biopsy? Clin. Genitourin. Cancer 2019, 17, e664–e671. [Google Scholar] [CrossRef] [PubMed]
- Gomez-Gomez, E.; Sorribas, S.M.; Valero-Rosa, J.; Blanca, A.; Mesa, J.; Salguero, J.; Carrasco-Valiente, J.; López-Ruiz, D.; Anglada-Curado, F.J. Does Adding Standard Systematic Biopsy to Targeted Prostate Biopsy in PI-RADS 3 to 5 Lesions Enhance the Detection of Clinically Significant Prostate Cancer? Should All Patients with PI-RADS 3 Undergo Targeted Biopsy? Diagnostics 2021, 11, 1335. [Google Scholar] [CrossRef]
- Drobish, J.N.; Bevill, M.D.; Tracy, C.R.; Sexton, S.M.; Rajput, M.; Metz, C.M.; Gellhaus, P.T. Do patients with a PI-RADS 5 lesion identified on magnetic resonance imaging require systematic biopsy in addition to targeted biopsy? Urol. Oncol. Semin. Orig. Investig. 2021, 39, e1–e235. [Google Scholar] [CrossRef] [PubMed]
- Tafuri, A.; Iwata, A.; Shakir, A.; Iwata, T.; Gupta, C.; Sali, A.; Sugano, D.; Mahdi, A.S.; Cacciamani, G.E.; Kaneko, M.; et al. Systematic Biopsy of the Prostate can Be Omitted in Men with PI-RADSTM 5 and Prostate Specific Antigen Density Greater than 15%. J. Urol. 2021, 206, 289–297. [Google Scholar] [CrossRef]
- Arabi, A.; Deebajah, M.; Yaguchi, G.; Pantelic, M.; Williamson, S.; Gupta, N.; Park, H.; Peabody, J.; Menon, M.; Dabaja, A.; et al. Systematic Biopsy Does Not Contribute to Disease Upgrading in Patients Undergoing Targeted Biopsy for PI-RADS 5 Lesions Identified on Magnetic Resonance Imaging in the Course of Active Surveillance for Prostate Cancer. Urology 2019, 134, 168–172. [Google Scholar] [CrossRef]
- Cheng, X.; Xu, J.; Chen, Y.; Liu, Z.; Sun, G.; Yang, L.; Yao, J.; Zeng, H.; Song, B. Is Additional Systematic Biopsy Necessary in All Initial Prostate Biopsy Patients With Abnormal MRI? Front. Oncol. 2021, 11, 643051. [Google Scholar] [CrossRef]
- Johnson, D.C.; Raman, S.S.; Mirak, S.A.; Kwan, L.; Bajgiran, A.M.; Hsu, W.; Maehara, C.K.; Ahuja, P.; Faiena, I.; Pooli, A.; et al. Detection of Individual Prostate Cancer Foci via Multiparametric Magnetic Resonance Imaging. Eur. Urol. 2019, 75, 712–720. [Google Scholar] [CrossRef] [PubMed]
- Andreoiu, M.; Cheng, L. Multifocal prostate cancer: Biologic, prognostic, and therapeutic implications. Hum. Pathol. 2010, 41, 781–793. [Google Scholar] [CrossRef]
- Checcucci, E.; De Cillis, S.; Piramide, F.; Amparore, D.; Kasivisvanathan, V.; Giganti, F.; Fiori, C.; Moore, C.M.; Porpiglia, F. The role of additional standard biopsy in the MRI-targeted biopsy era. Minerva Urol. Nefrol. 2020, 72, 637–639. [Google Scholar] [CrossRef]
- Cash, H.; Maxeiner, A.; Stephan, C.; Fischer, T.; Durmus, T.; Holzmann, J.; Asbach, P.; Haas, M.; Hinz, S.; Neymeyer, J.; et al. The detection of significant prostate cancer is correlated with the Prostate Imaging Reporting and Data System (PI-RADS) in MRI/transrectal ultrasound fusion biopsy. World J. Urol. 2016, 34, 525–532. [Google Scholar] [CrossRef] [PubMed]
- Stabile, A.; Dell’oglio, P.; De Cobelli, F.; Esposito, A.; Gandaglia, G.; Fossati, N.; Brembilla, G.; Cristel, G.; Cardone, G.; Deho’, F.; et al. Association Between Prostate Imaging Reporting and Data System (PI-RADS) Score for the Index Lesion and Multifocal, Clinically Significant Prostate Cancer. Eur. Urol. Oncol. 2018, 1, 29–36. [Google Scholar] [CrossRef]
- Exterkate, L.; Wegelin, O.; Barentsz, J.O.; van der Leest, M.G.; Kummer, J.A.; Vreuls, W.; de Bruin, P.C.; Bosch, J.R.; van Melick, H.H.; Somford, D.M. Is There Still a Need for Repeated Systematic Biopsies in Patients with Previous Negative Biopsies in the Era of Magnetic Resonance Imaging-targeted Biopsies of the Prostate? Eur. Urol. Oncol. 2020, 3, 216–223. [Google Scholar] [CrossRef] [PubMed]
- Stevens, E.; Truong, M.; Bullen, J.A.; Ward, R.D.; Purysko, A.S.; Klein, E.A. Clinical utility of PSAD combined with PI-RADS category for the detection of clinically significant prostate cancer. Urol. Oncol. Semin. Orig. Investig. 2020, 38, 846.e9–846.e16. [Google Scholar] [CrossRef]
- Zhang, Y.; Zeng, N.; Zhang, F.; Huang, Y.; Tian, Y. How to make clinical decisions to avoid unnecessary prostate screening in biopsy-naïve men with PI-RADs v2 score ≤ 3? Int. J. Clin. Oncol. 2020, 25, 175–186. [Google Scholar] [CrossRef]
- Girometti, R.; Giannarini, G.; Panebianco, V.; Maresca, S.; Cereser, L.; De Martino, M.; Pizzolitto, S.; Pecoraro, M.; Ficarra, V.; Zuiani, C.; et al. Comparison of different thresholds of PSA density for risk stratification of PI-RADSv2.1 categories on prostate MRI. BJR 2022, 95, 20210886. [Google Scholar]
- Magheli, A.; Hinz, S.; Hege, C.; Stephan, C.; Jung, K.; Miller, K.; Lein, M. Prostate Specific Antigen Density to Predict Prostate Cancer Upgrading in a Contemporary Radical Prostatectomy Series: A Single Center Experience. J. Urol. 2010, 183, 126–132. [Google Scholar] [CrossRef]
- Sfoungaristos, S.; Katafigiotis, I.; Perimenis, P. The role of PSA density to predict a pathological tumour upgrade between needle biopsy and radical prostatectomy for low risk clinical prostate cancer in the modified Gleason system era. Can. Urol. Assoc. J. 2013, 7, 722. [Google Scholar] [CrossRef] [PubMed]
- Yu, A.; Yamany, T.; Mojtahed, A.; Hanna, N.; Nicaise, E.; Harisinghani, M.; Wu, C.-L.; Dahl, D.M.; Wszolek, M.; Blute, M.L.; et al. Combination MRI-targeted and systematic prostate biopsy may overestimate gleason grade on final surgical pathology and impact risk stratification. Urol. Oncol. Semin. Orig. Investig. 2022, 40, e1–e59. [Google Scholar]
- Mischinger, J.; Schöllnast, H.; Zurl, H.; Geyer, M.; Fischereder, K.; Adelsmayr, G.; Igrec, J.; Fritz, G.; Merdzo-Hörmann, M.; Elstner, J.; et al. Combining targeted and systematic prostate biopsy improves prostate cancer detection and correlation with the whole mount histopathology in biopsy naïve and previous negative biopsy patients. Front. Surg. 2022, 9, 1013389. [Google Scholar]
- Chung, J.H.; Park, B.K.; Song, W.; Kang, M.; Sung, H.H.; Jeon, H.G.; Jeong, B.C.; Seo, S.I.; Jeon, S.S.; Lee, H.M. TRUS-Guided Target Biopsy for a PI-RADS 3–5 Index Lesion to Reduce Gleason Score Underestimation: A Propensity Score Matching Analysis. Front. Oncol. 2022, 11, 824204. [Google Scholar] [PubMed]
- Cata, E.; Andras, I.; Ferro, M.; Kadula, P.; Leucuta, D.; Musi, G.; Matei, D.-V.; De Cobelli, O.; Tamas-Szora, A.; Caraiani, C.; et al. Systematic sampling during MRI-US fusion prostate biopsy can overcome errors of targeting—Prospective single center experience after 300 cases in first biopsy setting. Transl. Androl. Urol. 2020, 9, 2510–2518. [Google Scholar] [CrossRef] [PubMed]
- Hansen, N.L.; Barrett, T.; Lloyd, T.; Warren, A.; Samel, C.; Bratt, O.; Kastner, C. Optimising the number of cores for magnetic resonance imaging—Guided targeted and systematic transperineal prostate biopsy. BJU Int. 2020, 125, 260–269. [Google Scholar] [CrossRef]
- Pooli, A.; Johnson, D.C.; Shirk, J.; Markovic, D.; Sadun, T.Y.; Sisk, A.E.J.; Bajgiran, A.M.; Mirak, S.A.; Felker, E.R.; Hughes, A.K.; et al. Predicting Pathological Tumor Size in Prostate Cancer Based on Multiparametric Prostate Magnetic Resonance Imaging and Preoperative Findings. J. Urol. 2021, 205, 444–451. [Google Scholar]
- Triquell, M.; Regis, L.; Winkler, M.; Valdés, N.; Cuadras, M.; Celma, A.; Planas, J.; Morote, J.; Trilla, E. Multiparametric MRI for Staging of Prostate Cancer: A Multicentric Analysis of Predictive Factors to Improve Identification of Extracapsular Extension before Radical Prostatectomy. Cancers 2022, 14, 3966. [Google Scholar] [CrossRef]
- Lee, A.Y.; Chen, K.; Tan, Y.G.; Lee, H.J.; Shutchaidat, V.; Fook-Chong, S.; Cheng, C.W.; Ho, H.S.; Yuen, J.S.; Ngo, N.T.; et al. Reducing the number of systematic biopsy cores in the era of MRI targeted biopsy—Implications on clinically-significant prostate cancer detection and relevance to focal therapy planning. Prostate Cancer Prostatic Dis. 2022, 25, 720–726. [Google Scholar] [PubMed]
- Zapała, P.; Dybowski, B.; Bres-Niewada, E.; Lorenc, T.; Powała, A.; Lewandowski, Z.; Gołębiowski, M.; Radziszewski, P. Predicting side-specific prostate cancer extracapsular extension: A simple decision rule of PSA biopsy, and MRI parameters. Int. Urol. Nephrol. 2019, 51, 1545–1552. [Google Scholar] [PubMed]
- Gandaglia, G.; Ploussard, G.; Valerio, M.; Marra, G.; Moschini, M.; Martini, A.; Roumiguié, M.; Fossati, N.; Stabile, A.; Beauval, J.-B.; et al. Prognostic Implications of Multiparametric Magnetic Resonance Imaging and Concomitant Systematic Biopsy in Predicting Biochemical Recurrence after Radical Prostatectomy in Prostate Cancer Patients Diagnosed with Magnetic Resonance Imaging-Targeted Biopsy. Eur. Urol. Oncol. 2020, 3, 739–747. [Google Scholar] [PubMed]
- Gandaglia, G.; Martini, A.; Ploussard, G.; Fossati, N.; Stabile, A.; De Visschere, P.; Borgmann, H.; Heidegger, I.; Steinkohl, F.; Kretschmer, A.; et al. External Validation of the 2019 Briganti Nomogram for the Identification of Prostate Cancer Patients Who Should Be Considered for an Extended Pelvic Lymph Node Dissection. Eur. Urol. 2020, 78, 138–142. [Google Scholar] [CrossRef] [PubMed]
- Baio, R.; Napodano, G.; Caruana, C.; Molisso, G.; Di Mauro, U.; Intilla, O.; Pane, U.; D’Angelo, C.; Francavilla, A.B.; Guarnaccia, C.; et al. Association between obesity and frequency of high-grade prostate cancer on biopsy in men: A single-center retrospective study. Mol. Clin. Oncol. 2022, 17, 127. [Google Scholar] [CrossRef]

| Total (n = 225) | No csPC (n = 109) | csPC (n = 116) | No csPC vs. csPC p Value | |
|---|---|---|---|---|
| Age (years) Me (IQR) | 67.0 (62.0–70.0) | 67.0 (62.0–70.0) | 67.0 (62.0–71.0) | p > 0.05 |
| PSA (ng/mL) Me (IQR) | 8.6 (5.6–14.0) | 7.6 (5.0–11.1) | 10.5 (6.0–15.0) | p < 0.001 |
| PSAD (ng/mL2) Me (IQR) | 0.19 (0.13–0.35) | 0.15 (0.10–0.23) | 0.25 (0.16–0.45) | p < 0.005 |
| DRE n (%): | p < 0.05 | |||
| Normal | 147 (65.3%) | 83 (76.1%) | 64 (55.2%) | |
| Abnormal | 73 (32.4%) | 23 (21.1%) | 50 (43.1%) | |
| No info | 5 (2.2%) | 4 (3.7%) | 2 (1.7%) | |
| Biopsy n (%): | p = 0.07 | |||
| 1—primary | 103 (45.8%) | 43 (39.4%) | 60 (51.7%) | |
| >1—repeat | 122 (54.2%) | 66 (60.6%) | 56 (48.3%) | |
| Prostate volume (mL) Me (IQR) | 42.0 (33.0–60.0) | 48.0 (37.0–66.0) | 38.8 (31.6–49.5) | p = 0.048 |
| Max diameter of IL in mpMRI (mm) Me (IQR) | 19.0 (16.0–23.0) | 18.0 (16.0–23.0) | 19.0 (23.0–24.0) | p > 0.05 |
| mpMRI zone location n (%): | p = 0.05 | |||
| Peripheral zone | 145 (64.4%) | 62 (56.9%) | 83 (71.6%) | |
| Non-peripheral zone | 51 (22.7%) | 30 (27.5%) | 21 (18.1%) | |
| No information | 29 (12.9%) | 17 (15.6%) | 12 (10.3%) | |
| Biopsy access n (%): | p = 0.5 | |||
| Transrectal | 53 (23.6%) | 26 (23.9%) | 27 (23.3%) | |
| Transperineal | 172(76.4%) | 83 (76.1%) | 89 (76.7%) |
| Univariate Analysis | Multivariate Analysis | |||
|---|---|---|---|---|
| Systematic Biopsy | ||||
| OR (95%CI) | pValue | OR (95%CI) | pValue | |
| Age (years) (lineal) | 0.984 (0.943–1.025) | 0.436 | ||
| PSA (ng/mL) (lineal) | 1.013 (1.000–1.027) | 0.058 | ||
| DRE: normal (ref) abnormal (1) | 3.509 (1.773–6.944) | 0.001 | 2.746 (1.328–5.678) | 0.008 |
| PSAD: <0.17ng/mL2 (ref) >0.17ng/mL2 (1) | 4.084 (1.645–10.14) | 0.002 | 4.038 (1.568–10.398) | 0.004 |
| Prostate volume (mL): 0–30 mL (ref) 30–60 mL (1) >60 mL (2) | 0.932 (0.397–2.186) 0.306 (0.093–1.006) | 0.871 0.051 | ||
| Index lesion diameter (mm) (lineal) | 1.043 (0.995–1.093) | 0.082 | ||
| Biopsy: Repeat (ref) Primary (1) | 3.071 (1.548–6.093) | 0.001 | 2.818 (1.334–5.952) | 0.006 |
| Targeted Biopsy | ||||
| Age (years) (lineal) | 1.022 (0.987–1.058) | 0.216 | ||
| PSA (ng/mL) (lineal) | 1.035 (1.008–1.063) | 0.11 | ||
| DRE: normal (ref) abnormal (1) | 2.864 (1.595–5.141) | 0.001 | 2.911 (1.576–5.377) | 0.001 |
| PSAD: <0.17ng/mL2 (ref) >0.17ng/mL2 (1) | 3.771 (2.056–6.917) | 0.001 | 3.759 (2.002–7.060) | 0.001 |
| Prostate volume (mL): 0–30 mL (ref) 30–60 mL (1) >60 mL (2) | 0.747 (0.355–1.571) 0.357 (0.149–0.854) | 0.441 0.21 | ||
| Index lesion diameter (mm) (lineal) | 1.023 (0.982–1.066) | 0.272 | ||
| Biopsy: Repeat (ref) Primary (1) | 1.388 (0.820–2.349) | 0.222 | ||
| SB n (%) | TB n (%) | CB n (%) | TB vs. CB p Value | |
|---|---|---|---|---|
| All biopsies n = 225 | ||||
| csPC detection | 46/225 (20.4%) | 108/225 (48%) | 116/225 (51.5%) | 0.008 |
| csPC missed | 70/116 (60.3%) | 8/116 (6.9%) | - | |
| No csPC | - | 109/225 (48.4%) | ||
| Initial biopsy n = 103 | ||||
| csPC detection | 31/103 (30.0%) | 54/103 (52.4%) | 60/103 (58.3%) | 0.031 |
| csPC missed | 29/60 (48.3%) | 6/60 (10.0%) | - | |
| No csPC | - | 43/103 (41.7%) | ||
| Repeat biopsy n = 122 | ||||
| csPC detection | 15/122 (12.3%) | 54/122 (44.3%) | 56/122 (45.9%) | 0.5 |
| csPC missed | 41/56 (73.2%) | 2/56 (3.6%) | - | |
| No csPC | - | 66/122 (54.1%) | ||
| PSAD < 0.17 ng/mL2 n = 74 | ||||
| csPC detection | 6/74 (8.1%) | 20/74 (27.0%) | 21/74 (28.4%) | 1.0 |
| csPC missed | 15/21 (71.4%) | 1/21 (4.8%) | - | |
| No csPC | - | 53/74 (71.6%) | ||
| PSAD > 0.17 ng/mL2 n = 151 | ||||
| csPC detection | 40/151 (26.5%) | 88/151 (58.3%) | 95/151 (62.9%) | 0.016 |
| csPC missed | 55/95 (57.9%) | 7/95 (7.4%) | - | |
| No csPC | - | 56/151 (37.1%) | ||
Disclaimer/Publisher’s Note: The statements, opinions and data contained in all publications are solely those of the individual author(s) and contributor(s) and not of MDPI and/or the editor(s). MDPI and/or the editor(s) disclaim responsibility for any injury to people or property resulting from any ideas, methods, instructions or products referred to in the content. |
© 2023 by the authors. Licensee MDPI, Basel, Switzerland. This article is an open access article distributed under the terms and conditions of the Creative Commons Attribution (CC BY) license (https://creativecommons.org/licenses/by/4.0/).
Share and Cite
Malewski, W.; Milecki, T.; Szempliński, S.; Tayara, O.; Kuncman, Ł.; Kryst, P.; Nyk, Ł. Prostate Biopsy in the Case of PIRADS 5—Is Systematic Biopsy Mandatory? J. Clin. Med. 2023, 12, 5612. https://doi.org/10.3390/jcm12175612
Malewski W, Milecki T, Szempliński S, Tayara O, Kuncman Ł, Kryst P, Nyk Ł. Prostate Biopsy in the Case of PIRADS 5—Is Systematic Biopsy Mandatory? Journal of Clinical Medicine. 2023; 12(17):5612. https://doi.org/10.3390/jcm12175612
Chicago/Turabian StyleMalewski, Wojciech, Tomasz Milecki, Stanisław Szempliński, Omar Tayara, Łukasz Kuncman, Piotr Kryst, and Łukasz Nyk. 2023. "Prostate Biopsy in the Case of PIRADS 5—Is Systematic Biopsy Mandatory?" Journal of Clinical Medicine 12, no. 17: 5612. https://doi.org/10.3390/jcm12175612
APA StyleMalewski, W., Milecki, T., Szempliński, S., Tayara, O., Kuncman, Ł., Kryst, P., & Nyk, Ł. (2023). Prostate Biopsy in the Case of PIRADS 5—Is Systematic Biopsy Mandatory? Journal of Clinical Medicine, 12(17), 5612. https://doi.org/10.3390/jcm12175612

