Global Epidemiology and Burden of Elderly-Onset Inflammatory Bowel Disease: A Decade in Review
Abstract
1. Introduction
2. Materials and Methods
3. Results
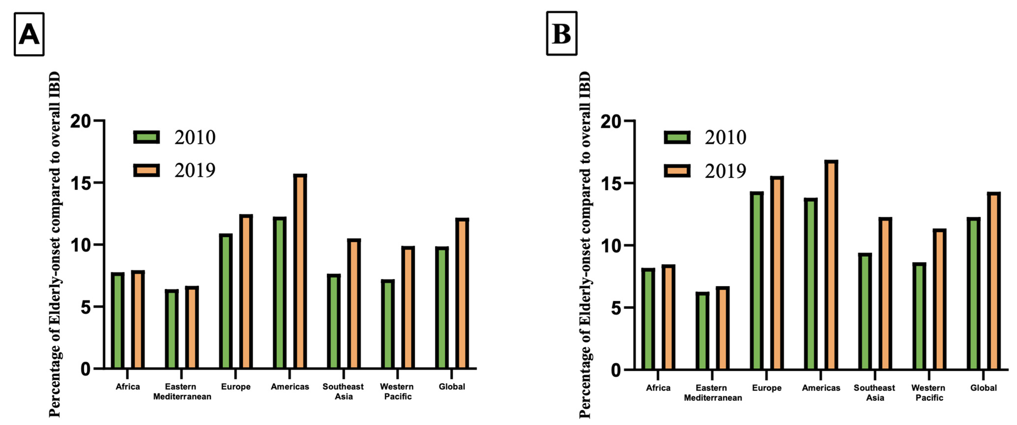
3.1. Incidence of Elderly-Onset IBD
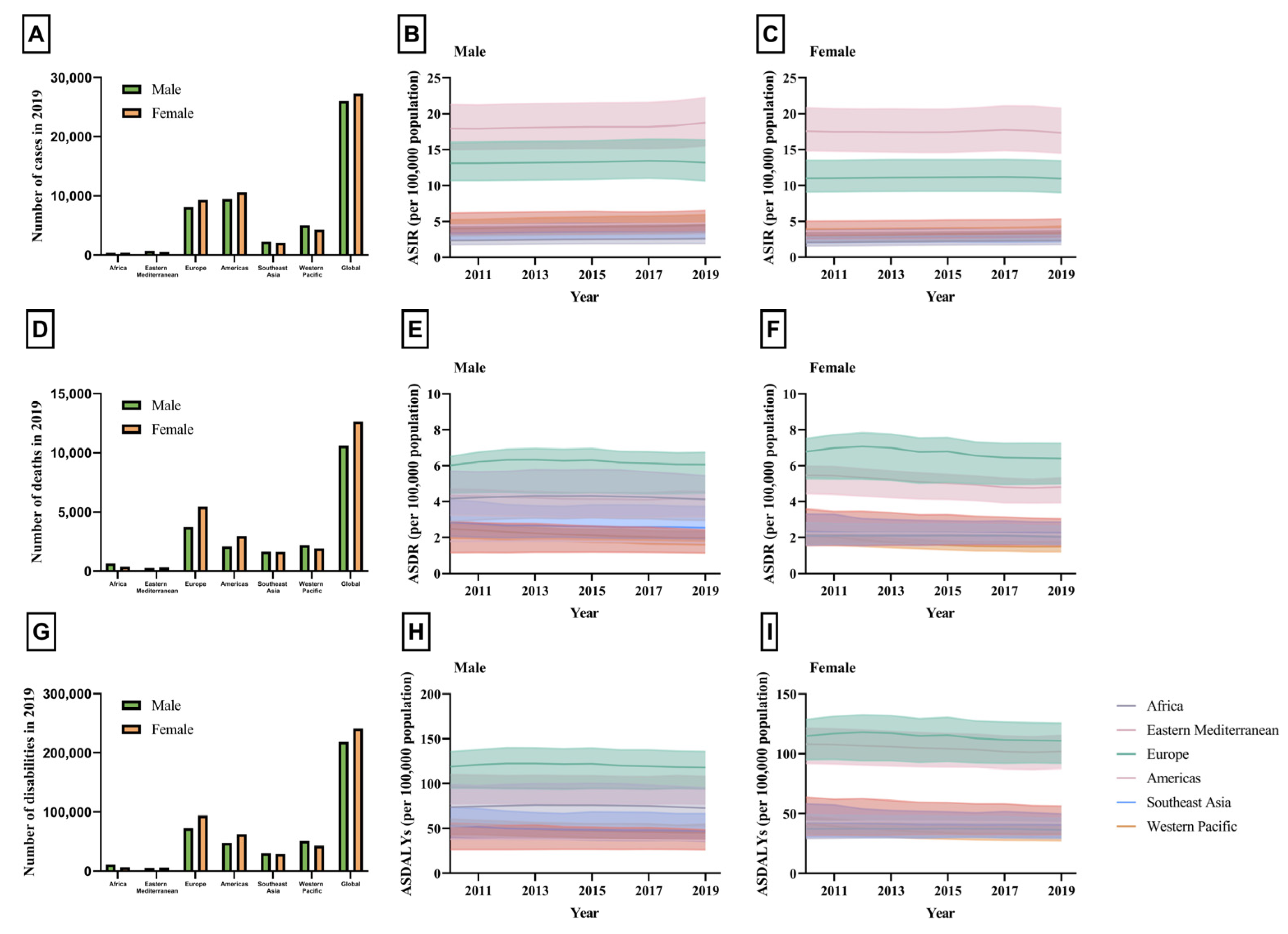
3.2. Mortality and Disabilities of Elderly-Onset IBD
4. Discussion
5. Conclusions
Supplementary Materials
Author Contributions
Funding
Institutional Review Board Statement
Informed Consent Statement
Data Availability Statement
Acknowledgments
Conflicts of Interest
References
- Geboes, K. Crohn’s disease, ulcerative colitis or indeterminate colitis—How important is it to differentiate? Acta Gastroenterol. Belg. 2001, 64, 197–200. [Google Scholar] [PubMed]
- Flynn, S.; Eisenstein, S. Inflammatory Bowel Disease Presentation and Diagnosis. Surg. Clin. N. Am. 2019, 99, 1051–1062. [Google Scholar] [CrossRef] [PubMed]
- Ng, S.C.; Shi, H.Y.; Hamidi, N.; Underwood, F.E.; Tang, W.; Benchimol, E.I.; Panaccione, R.; Ghosh, S.; Wu, J.C.Y.; Chan, F.K.L.; et al. Worldwide incidence and prevalence of inflammatory bowel disease in the 21st century: A systematic review of population-based studies. Lancet 2017, 390, 2769–2778. [Google Scholar] [CrossRef] [PubMed]
- Benchimol, E.I.; Bernstein, C.N.; Bitton, A.; Murthy, S.K.; Nguyen, G.C.; Lee, K.; Cooke-Lauder, J.; Siddiq, S.; Windsor, J.W.; Carroll, M.W.; et al. The Impact of Inflammatory Bowel Disease in Canada 2018: A Scientific Report from the Canadian Gastro-Intestinal Epidemiology Consortium to Crohn’s and Colitis Canada. J. Can. Assoc. Gastroenterol. 2018, 2, S1–S5. [Google Scholar] [CrossRef]
- Agrawal, M.; Christensen, H.S.; Bøgsted, M.; Colombel, J.-F.; Jess, T.; Allin, K.H. The Rising Burden of Inflammatory Bowel Disease in Denmark Over Two Decades: A Nationwide Cohort Study. Gastroenterology 2022, 163, 1547–1554.e5. [Google Scholar] [CrossRef]
- Coward, S.; Clement, F.; Benchimol, E.I.; Bernstein, C.N.; Avina-Zubieta, J.A.; Bitton, A.; Carroll, M.W.; Hazlewood, G.; Jacobson, K.; Jelinski, S.; et al. Past and Future Burden of Inflammatory Bowel Diseases Based on Modeling of Population-Based Data. Gastroenterology 2019, 156, 1345–1353.e4. [Google Scholar] [CrossRef]
- Loftus, E.V.; Silverstein, M.D.; Sandborn, W.J.; Tremaine, W.J.; Harmsen, W.; Zinsmeister, A.R. Crohn’s disease in Olmsted County, Minnesota, 1940–1993: Incidence, prevalence, and survival. Gastroenterology 1998, 114, 1161–1168. [Google Scholar] [CrossRef]
- Khan, N.; Vallarino, C.; Lissoos, T.; Darr, U.; Luo, M. Risk of Malignancy in a Nationwide Cohort of Elderly Inflammatory Bowel Disease Patients. Drugs Aging 2017, 34, 859–868. [Google Scholar] [CrossRef]
- del Val, J.H. Old-age inflammatory bowel disease onset: A different problem? World J. Gastroenterol. 2011, 17, 2734–2739. [Google Scholar] [CrossRef]
- Ananthakrishnan, A.N.; McGinley, E.L.; Binion, D.G. Inflammatory bowel disease in the elderly is associated with worse outcomes: A national study of hospitalizations. Inflamm. Bowel Dis. 2009, 15, 182–189. [Google Scholar] [CrossRef]
- Afzali, A.; Katz, S. Inflammatory Bowel Disease in the Baby to Baby Boomer: Pediatric and Elderly Onset of IBD. Curr. Treat. Options Gastroenterol. 2018, 16, 289–305. [Google Scholar] [CrossRef]
- Taleban, S.; Colombel, J.-F.; Mohler, M.J.; Fain, M.J. Inflammatory Bowel Disease and the Elderly: A Review. J. Crohn’s Colitis 2015, 9, 507–515. [Google Scholar] [CrossRef]
- Fakhoury, M.; Negrulj, R.; Mooranian, A.; Al-Salami, H. Inflammatory bowel disease: Clinical aspects and treatments. J. Inflamm. Res. 2014, 7, 113–120. [Google Scholar] [CrossRef]
- Nimmons, D.; Limdi, J.K. Elderly patients and inflammatory bowel disease. World J. Gastrointest. Pharmacol. Ther. 2016, 7, 51–65. [Google Scholar] [CrossRef]
- Wang, R.; Li, Z.; Liu, S.; Zhang, D. Global, regional and national burden of inflammatory bowel disease in 204 countries and territories from 1990 to 2019: A systematic analysis based on the Global Burden of Disease Study 2019. BMJ Open 2023, 13, e065186. [Google Scholar] [CrossRef]
- Gupta, Y.K.; Singh, A.; Narang, V.; Midha, V.; Mahajan, R.; Mehta, V.; Singh, D.; Bansal, N.; Durairaj, M.V.B.; Dutta, A.K.; et al. Clinical spectrum of elderly-onset inflammatory bowel disease in India. Intest. Res. 2023, 21, 216–225. [Google Scholar] [CrossRef] [PubMed]
- Windsor, J.W.; Kaplan, G.G. Evolving Epidemiology of IBD. Curr. Gastroenterol. Rep. 2019, 21, 40. [Google Scholar] [CrossRef]
- Zuo, T.; Kamm, M.A.; Colombel, J.-F.; Ng, S.C. Urbanization and the gut microbiota in health and inflammatory bowel disease. Nat. Rev. Gastroenterol. Hepatol. 2018, 15, 440–452. [Google Scholar] [CrossRef]
- Kontola, K.; Oksanen, P.; Huhtala, H.; Jussila, A. Increasing Incidence of Inflammatory Bowel Disease, with Greatest Change Among the Elderly: A Nationwide Study in Finland, 2000–2020. J. Crohn’s Colitis 2022, 17, 706–711. [Google Scholar] [CrossRef]
- Peery, A.F.; Crockett, S.D.; Murphy, C.C.; Lund, J.L.; Dellon, E.S.; Williams, J.L.; Jensen, E.T.; Shaheen, N.J.; Barritt, A.S.; Lieber, S.R.; et al. Burden and Cost of Gastrointestinal, Liver, and Pancreatic Diseases in the United States: Update 2018. Gastroenterology 2019, 156, 254–272.e11. [Google Scholar] [CrossRef]
- Kaplan, G.G. The global burden of IBD: From 2015 to 2025. Nat. Rev. Gastroenterol. Hepatol. 2015, 12, 720–727. [Google Scholar] [CrossRef]
- Rocchi, A.; Benchimol, E.I.; Bernstein, C.N.; Bitton, A.; Feagan, B.; Panaccione, R.; Glasgow, K.W.; Fernandes, A.; Ghosh, S. Inflammatory Bowel Disease: A Canadian Burden of Illness Review. Can. J. Gastroenterol. 2012, 26, 811–817. [Google Scholar] [CrossRef] [PubMed]
- Molodecky, N.A.; Panaccione, R.; Ghosh, S.; Barkema, H.W.; Kaplan, G.G.; Alberta Inflammatory Bowel Disease Consortium. Challenges associated with identifying the environmental determinants of the inflammatory bowel diseases. Inflamm. Bowel Dis. 2011, 17, 1792–1799. [Google Scholar] [CrossRef] [PubMed]



| Males | Females | |||||||
|---|---|---|---|---|---|---|---|---|
| 2010 | 2019 | 2010 | 2019 | |||||
| IBD in Patient Aged 65–89 | Percentage of Aged 65–89 to Overall | IBD in Patient Aged 65–89 | Percentage of Aged 65–89 to Overall | IBD in Patient Aged 65–89 | Percentage of Aged 65–89 to Overall | IBD in Patient Aged 65–89 | Percentage of Aged 65–89 to Overall | |
| Global | 18,747.87 | 9.85% | 26,029.84 | 12.17% | 21,109.48 | 12.28% | 27,297.73 | 14.31 |
| Region | ||||||||
| Africa | 288.17 | 7.77% | 412.7 | 7.94% | 289.6 | 8.19% | 428.55 | 8.47% |
| Eastern Mediterranean | 508.19 | 6.4% | 716.56 | 6.68% | 382.31 | 6.28% | 553.66 | 6.73% |
| Europe | 6701.27 | 10.9% | 8128.09 | 12.46% | 8273.82 | 14.34% | 9319.63 | 15.58% |
| Americas | 6585.68 | 12.25% | 9454.55 | 15.73% | 8033.62 | 13.83% | 10,603.66 | 16.88% |
| Southeast Asia | 1502.49 | 7.66% | 2266.15 | 10.51% | 1390.22 | 9.4% | 2099.30 | 12.27% |
| Western Pacific | 3136.91 | 7.21% | 5013.01 | 9.89% | 2714.20 | 8.64% | 4254.55 | 11.36% |
| SDI | ||||||||
| Low | 378.22 | 7.26% | 547.62 | 8.09% | 348.74 | 7.77% | 515.58 | 8.58% |
| Low-Middle | 1443.08 | 8.38% | 2035.61 | 10.24% | 1359.06 | 9.6% | 1971.13 | 11.57% |
| Middle | 2260.48 | 7.85% | 3637.88 | 10.34% | 2046.41 | 9.01% | 3294.56 | 11.56% |
| High-Middle | 4709.37 | 10.24% | 6293.83 | 12.43% | 5931.03 | 14.44% | 7217.30 | 16.41% |
| High | 9950.22 | 10.7% | 13,506.38 | 13.33% | 11,417.34 | 12.78% | 14,290.41 | 15.02% |
| Male | Female | |||||||
|---|---|---|---|---|---|---|---|---|
| 2010 ASIR, per 100,000 (95% UI) | 2019 ASIR, per 100,000 (95% UI) | APC in ASIR (95% UI) | p | 2010 ASIR, per 100,000 (95% UI) | 2019 ASIR, per 100,000 (95% UI) | APC in ASIR (95% CI) | p | |
| Global | 7.92 (6.39 to 9.71) | 8.12 (6.5 to 10.04) | 0.29 (0.21 to 0.36) | <0.001 | 7.34 (6.04 to 8.92) | 7.18 (5.85 to 8.77) | −0.21 (−0.32 to −0.09) | <0.001 |
| Region | ||||||||
| Africa | 2.36 (1.76 to 3.21) | 2.63 (1.94 to 3.52) | 1.18 (1.04 to 1.32) | <0.001 | 2.1 (1.57 to 2.84) | 2.35 (1.76 to 3.12) | 1.28 (1.14 to 1.42) | <0.001 |
| Eastern Mediterranean | 4.47 (3.19 to 6.18) | 4.75 (3.44 to 6.56) | 0.68 (0.64 to 0.72) | <0.002 | 3.61 (2.61 to 5.04) | 3.88 (2.83 to 5.32) | 0.82 (0.79 to 0.84) | <0.001 |
| Europe | 13.11 (10.69 to 16.02) | 13.2 (10.66 to 16.35) | 0.14 (0.03 to 0.25) | 0.014 | 11.02 (9.1 to 13.5) | 10.98 (8.98 to 13.46) | −0.02 (−0.09 to 0.04) | 0.479 |
| Americas | 17.94 (15.02 to 21.28) | 18.76 (15.54 to 22.28) | 0.47 (0.35 to 0.58) | <0.001 | 17.57 (14.84 to 20.82) | 17.31 (14.5 to 20.76) | 0.03 (−0.17 to 0.23) | 0.75 |
| Southeast Asia | 3.28 (2.39 to 4.45) | 3.52 (2.6 to 4.73) | 0.75 (0.57 to 0.94) | <0.002 | 2.71 (2 to 3.67) | 2.92 (2.18 to 3.91) | 0.66 (0.36 to 0.96) | 0.001 |
| Western Pacific | 3.99 (2.99 to 5.27) | 4.47 (3.37 to 5.95) | 1.22 (1.09 to 1.36) | <0.003 | 3.02 (2.32 to 3.94) | 3.32 (2.53 to 4.32) | 1.02 (0.93 to 1.11) | <0.001 |
| SDI | ||||||||
| Low | 2.79 (2.07 to 3.77) | 3.03 (2.26 to 4.03) | 0.92 (0.81 to 1.04) | <0.001 | 2.45 (1.81 to 3.24) | 2.69 (2.02 to 3.57) | 1.03 (0.93 to 1.14) | <0.001 |
| Low-Middle | 3.78 (2.82 to 5.02) | 3.99 (2.99 to 5.29) | 0.61 (0.55 to 0.66) | <0.001 | 3.23 (2.46 to 4.27) | 3.43 (2.6 to 4.52) | 0.59 (0.47 to 0.72) | <0.001 |
| Middle | 3.37 (2.51 to 4.52) | 3.85 (2.85 to 5.17) | 1.41 (1.31 to 1.51) | <0.001 | 2.72 (2.05 to 3.6) | 3.07 (2.3 to 4.07) | 1.32 (1.24 to 1.39) | <0.001 |
| Middle-High | 8.19 (6.59 to 10.17) | 8.03 (6.37 to 10.09) | −0.2 (−0.26 to −0.14) | <0.001 | 7.55 (6.15 to 9.34) | 7.12 (5.75 to 8.87) | −0.63 (−0.69 to −0.58) | <0.001 |
| High | 16.48 (13.67 to 19.64) | 17.24 (14.24 to 20.57) | 0.44 (0.37 to 0.5) | <0.001 | 14.79 (12.51 to 17.48) | 15.13 (12.64 to 18.07) | 0.3 (0.21 to 0.39) | <0.001 |
| Male | Female | |||||||
|---|---|---|---|---|---|---|---|---|
| 2010 ASDR, per 100,000 (95% UI) | 2019 ASDR, per 100,000 (95% UI) | APC in ASDR (95% UI) | p | 2010 ASDR, per 100,000 (95% UI) | 2019 ASDR, per 100,000 (95% UI) | APC in ASDR (95% CI) | p | |
| Global | 3.65 (2.87 to 4.1) | 3.31 (2.63 to 3.69) | −1.19 (−1.29 to −1.08) | <0.001 | 3.91 (3.19 to 4.26) | 3.33 (2.79 to 3.66) | −2.02 (−2.26 to −1.79) | <0.001 |
| Region | ||||||||
| Africa | 4.17 (2.89 to 5.7) | 4.12 (2.95 to 5.44) | −0.18 (−0.45 to 0.09) | 0.191 | 2.08 (1.59 to 2.82) | 2.03 (1.61 to 2.63) | −0.32 (−0.49 to −0.16) | <0.001 |
| Eastern Mediterranean | 1.8 (1.15 to 2.9) | 1.71 (1.13 to 2.42) | −0.55 (−0.66 to −0.44) | <0.001 | 2.24 (1.55 to 3.59) | 2.17 (1.57 to 3.04) | −0.36 (−0.48 to −0.25) | <0.001 |
| Europe | 6.01 (4.48 to 6.52) | 6.06 (4.47 to 6.75) | 0.06 (−0.3 to 0.42) | 0.751 | 6.79 (5.28 to 7.51) | 6.41 (5 to 7.24) | −0.82 (−1.52 to −0.11) | 0.024 |
| Americas | 4.33 (3.24 to 4.7) | 4.16 (3.15 to 4.57) | −0.47 (−0.73 to −0.2) | 0.001 | 5.46 (4.44 to 5.99) | 4.81 (3.93 to 5.32) | −1.56 (−1.89 to −1.23) | <0.001 |
| Southeast Asia | 2.83 (2.07 to 4.09) | 2.55 (1.91 to 3.72) | −1.2 (−1.45 to −0.95) | <0.001 | 2.32 (1.58 to 3.31) | 2.27 (1.63 to 2.86) | −0.24 (−0.52 to 0.05) | 0.108 |
| Western Pacific | 2.48 (1.94 to 2.78) | 1.97 (1.59 to 2.36) | −2.65 (−2.9 to −2.38) | <0.001 | 2.12 (1.63 to 2.41) | 1.5 (1.2 to 1.79) | −3.88 (−4.14 to −3.61) | <0.001 |
| SDI | ||||||||
| Low | 3.77 (2.47 to 5.54) | 3.63 (2.47 to 5.03) | −0.46 (−0.69 to −0.22) | <0.001 | 2.41 (1.72 to 3.9) | 2.42 (1.81 to 3.47) | 0.1 (0.03 to 0.17) | 0.011 |
| Low-Middle | 3.38 (2.25 to 4.64) | 3.03 (2.2 to 3.99) | −1.25 (−1.56 to −0.94) | <0.001 | 2.82 (1.8 to 3.89) | 2.64 (1.92 to 3.23) | −0.65 (−0.88 to −0.42) | <0.001 |
| Middle | 2.41 (1.86 to 2.72) | 2.07 (1.62 to 2.43) | −1.68 (−1.73 to −1.62) | <0.001 | 2.12 (1.64 to 2.34) | 1.69 (1.38 to 1.94) | −2.41 (−2.58 to −2.23) | <0.001 |
| Middle-High | 2.94 (2.54 to 3.37) | 2.48 (2.15 to 2.94) | −1.98 (−2.1 to −1.85) | <0.001 | 2.78 (2.39 to 3.05) | 2.28 (1.96 to 2.55) | −2.41 (−2.68 to −2.14) | <0.001 |
| High | 5.85 (4.25 to 6.36) | 5.73 (4.21 to 6.39) | −0.47 (−0.73 to −0.2) | 0.003 | 7.68 (5.98 to 8.53) | 6.9 (5.45 to 7.74) | −1.59 (−1.98 to −1.2) | <0.001 |
| Male | Female | |||||||
|---|---|---|---|---|---|---|---|---|
| 2010 ASDALYs, per 100,000 (95% UI) | 2019 ASDALYs, per 100,000 (95% UI) | APC in ASDALYs (95% UI) | p | 2010 ASDALYs, per 100,000 (95% UI) | 2019 ASDALYs, per 100,000 (95% UI) | APC in ASDALYs (95% CI) | p | |
| Global | 74.04 (60.7 to 84.61) | 68.25 (57.37 to 77.88) | −0.93 (−0.99 to −0.87) | <0.001 | 71.23 (60.49 to 79.72) | 63.51 (54.35 to 71.74) | −1.4 (−1.54 to −1.26) | <0.001 |
| Region | ||||||||
| Africa | 73.75 (51.92 to 98.67) | 72.79 (52.64 to 95.38) | −0.18 (−0.43 to 0.06) | 0.142 | 37.21 (29.15 to 49.15) | 36.43 (29.34 to 46.27) | −0.27 (−0.34 to −0.2) | <0.001 |
| Eastern Mediterranean | 37.99 (26.66 to 56.3) | 36.54 (26.38 to 48.42) | −0.42 (−0.5 to −0.34) | <0.001 | 43.59 (31.66 to 63.72) | 42.5 (32.49 to 56.28) | −0.26 (−0.37 to −0.16) | <0.001 |
| Europe | 118.92 (95.14 to 135.57) | 117.92 (94.52 to 135.71) | −0.08 (−0.34 to 0.17) | 0.524 | 114.82 (95.16 to 128.61) | 110.91 (92.03 to 125.59) | −0.47 (−0.91 to −0.02) | 0.039 |
| Americas | 96.02 (77.47 to 110.09) | 94.24 (77.13 to 108.16) | −0.18 (−0.27 to −0.09) | 0.001 | 108.01 (92 to 121.59) | 101.76 (87.58 to 115.41) | −0.79 (−0.91 to −0.66) | <0.001 |
| Southeast Asia | 52.99 (39.69 to 73.66) | 47.08 (35.65 to 66.41) | −1.3 (−1.5 to −1.1) | <0.001 | 42.7 (30.53 to 58.22) | 40.43 (30.01 to 49.63) | −0.61 (−0.75 to −0.48) | <0.001 |
| Western Pacific | 52.45 (43.18 to 60.99) | 45.37 (36.99 to 55.09) | −1.66 (−1.8 to −1.53) | <0.001 | 41.26 (33.6 to 47.42) | 33.32 (27.24 to 40.1) | −2.35 (−2.55 to −2.15) | <0.001 |
| SDI | ||||||||
| Low | 68.6 (46.56 to 97.93) | 65.44 (45.43 to 88.85) | −0.54 (−0.78 to −0.3) | <0.001 | 44.09 (32.28 to 67.43) | 43.42 (33.31 to 60.4) | −0.15 (−0.21 to −0.09) | <0.001 |
| Low-Middle | 62.82 (43.49 to 84.62) | 55.9 (41.8 to 71.59) | −1.28 (−1.45 to −1.1) | <0.001 | 51.65 (35 to 68.44) | 48.04 (36.63 to 57.68) | −0.79 (−0.93 to −0.64) | <0.001 |
| Middle | 48.77 (39.38 to 55.83) | 43.99 (35.51 to 51.53) | −1.16 (−1.19 to −1.12) | <0.001 | 40.41 (32.31 to 45.47) | 34.43 (28.87 to 39.74) | −1.77 (−1.86 to −1.68) | <0.001 |
| Middle-High | 66.84 (57.87 to 77.54) | 59.92 (50.88 to 70.95) | −1.23 (−1.31 to −1.14) | <0.001 | 58.73 (50.84 to 67.22) | 51.95 (43.99 to 61) | −1.36 (−1.72 to −1.01) | <0.001 |
| High | 117.28 (93.13 to 134.19) | 114.53 (90.7 to 131.47) | −0.31 (−0.53 to −0.1) | 0.005 | 129.64 (107.68 to 144.51) | 122.49 (102.8 to 138.25) | −0.88 (−1.13 to −0.64) | <0.001 |
Disclaimer/Publisher’s Note: The statements, opinions and data contained in all publications are solely those of the individual author(s) and contributor(s) and not of MDPI and/or the editor(s). MDPI and/or the editor(s) disclaim responsibility for any injury to people or property resulting from any ideas, methods, instructions or products referred to in the content. |
© 2023 by the authors. Licensee MDPI, Basel, Switzerland. This article is an open access article distributed under the terms and conditions of the Creative Commons Attribution (CC BY) license (https://creativecommons.org/licenses/by/4.0/).
Share and Cite
Danpanichkul, P.; Suparan, K.; Arayakarnkul, S.; Jaroenlapnopparat, A.; Polpichai, N.; Fangsaard, P.; Kongarin, S.; Srisurapanont, K.; Sukphutanan, B.; Wanchaitanawong, W.; et al. Global Epidemiology and Burden of Elderly-Onset Inflammatory Bowel Disease: A Decade in Review. J. Clin. Med. 2023, 12, 5142. https://doi.org/10.3390/jcm12155142
Danpanichkul P, Suparan K, Arayakarnkul S, Jaroenlapnopparat A, Polpichai N, Fangsaard P, Kongarin S, Srisurapanont K, Sukphutanan B, Wanchaitanawong W, et al. Global Epidemiology and Burden of Elderly-Onset Inflammatory Bowel Disease: A Decade in Review. Journal of Clinical Medicine. 2023; 12(15):5142. https://doi.org/10.3390/jcm12155142
Chicago/Turabian StyleDanpanichkul, Pojsakorn, Kanokphong Suparan, Suchapa Arayakarnkul, Aunchalee Jaroenlapnopparat, Natchaya Polpichai, Panisara Fangsaard, Siwanart Kongarin, Karan Srisurapanont, Banthoon Sukphutanan, Wasuwit Wanchaitanawong, and et al. 2023. "Global Epidemiology and Burden of Elderly-Onset Inflammatory Bowel Disease: A Decade in Review" Journal of Clinical Medicine 12, no. 15: 5142. https://doi.org/10.3390/jcm12155142
APA StyleDanpanichkul, P., Suparan, K., Arayakarnkul, S., Jaroenlapnopparat, A., Polpichai, N., Fangsaard, P., Kongarin, S., Srisurapanont, K., Sukphutanan, B., Wanchaitanawong, W., Kanjanakot, Y., Pupaibool, J., Duangsonk, K., Kochhar, G. S., & Wijarnpreecha, K. (2023). Global Epidemiology and Burden of Elderly-Onset Inflammatory Bowel Disease: A Decade in Review. Journal of Clinical Medicine, 12(15), 5142. https://doi.org/10.3390/jcm12155142

