The Impact of Chronic Pancreatitis on the Occurrences of Human Cancers: Real-World Data
Abstract
1. Introduction
2. Materials and Methods
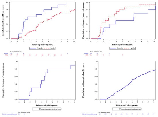
3. Results
4. Discussion
5. Conclusions
Author Contributions
Funding
Institutional Review Board Statement
Informed Consent Statement
Data Availability Statement
Acknowledgments
Conflicts of Interest
References
- Conwell, D.L.; Lee, L.S.; Yadav, D.; Longnecker, D.S.; Miller, F.H.; Mortele, K.J.; Levy, M.J.; Kwon, R.; Lieb, J.G.; Stevens, T.; et al. American Pancreatic Association Practice Guidelines in Chronic Pancreatitis: Evidence-based report on diagnostic guidelines. Pancreas 2014, 43, 1143–1162. [Google Scholar] [CrossRef] [PubMed]
- Bellocchi, M.C.C.; Crinò, S.F.; De Marchi, G.; De Pretis, N.; Ofosu, A.; Caldart, F.; Ciccocioppo, R.; Frulloni, L. A Clinical and Pathophysiological Overview of Intestinal and Systemic Diseases Associated with Pancreatic Disorders: Causality or Casualty? Biomedicines 2023, 11, 1393. [Google Scholar] [CrossRef] [PubMed]
- Zivadinovic, J.D.; Stojanovic, M.M.; Stosic, M.D.; Zivadinovic, A.R.; Jankovic, R.; Gmijovic, M.D.; Golubovic, I.; Stosic, B.; Ignjatovic, N.S.; Stojanovic, M.P. Subcutaneous and Intraosseous Fat Necrosis Associated with Chronic Pancreatitis. Medicina 2022, 58, 802. [Google Scholar] [CrossRef]
- Ghorbani, P.; Dankha, R.; Brisson, R.; D’Souza, M.A.; Löhr, J.-M.; Sparrelid, E.; Vujasinovic, M. Surgical Outcomes and Trends for Chronic Pancreatitis: An Observational Cohort Study from a High-Volume Centre. J. Clin. Med. 2022, 11, 2105. [Google Scholar] [CrossRef]
- Hempel, S.; Oehme, F.; Ehehalt, F.; Solimena, M.; Kolbinger, F.R.; Bogner, A.; Welsch, T.; Weitz, J.; Distler, M. The Impact of Pancreatic Head Resection on Blood Glucose Homeostasis in Patients with Chronic Pancreatitis. J. Clin. Med. 2022, 11, 663. [Google Scholar] [CrossRef]
- Dominguez Munoz, J.E. Diagnosis of chronic pancreatitis: Functional testing. Best Pr. Res. Clin. Gastroenterol. 2010, 24, 233–241. [Google Scholar] [CrossRef]
- Rasch, S.; Valantiene, I.; Mickevicius, A.; Beer, S.; Rosendahl, J.; Charnley, R.M.; Robinson, S.M. Chronic pancreatitis: Do serum biomarkers provide an association with an inflammageing phenotype? Pancreatology 2016, 16, 708–714. [Google Scholar] [CrossRef]
- Nost, T.H.; Alcala, K.; Urbarova, I.; Byrne, K.S.; Guida, F.; Sandanger, T.M.; Johansson, M. Systemic inflammation markers and cancer incidence in the UK Biobank. Eur. J. Epidemiol. 2021, 36, 841–848. [Google Scholar] [CrossRef]
- Oh, H.C.; Kim, J.G.; Kim, J.W.; Lee, K.S.; Kim, M.K.; Chi, K.C.; Kim, Y.S.; Kim, K.H. Early bile duct cancer in a background of sclerosing cholangitis and autoimmune pancreatitis. Intern. Med. 2008, 47, 2025–2028. [Google Scholar] [CrossRef] [PubMed]
- Chen, C.H.; Chen, C.H.; Lin, C.L.; Hsu, C.Y.; Kao, C.H. Risk of head and neck cancer after chronic pancreatitis. Ann. Transl. Med. 2020, 8, 213. [Google Scholar] [CrossRef]
- Singh, V.K.; Yadav, D.; Garg, P.K. Diagnosis and Management of Chronic Pancreatitis: A Review. JAMA 2019, 322, 2422–2434. [Google Scholar] [CrossRef] [PubMed]
- Wlodarczyk, B.; Durko, L.; Wlodarczyk, P.; Talar-Wojnarowska, R.; Malecka-Wojciesko, E. CA 19-9 but Not IGF-1/IGFBP-2 Is a Useful Biomarker for Pancreatic Ductal Adenocarcinoma (PDAC) and Chronic Pancreatitis (CP) Differentiation. J. Clin. Med. 2023, 12, 4050. [Google Scholar] [CrossRef] [PubMed]
- Gulbinas, A.; Ignatavicius, P.; Dambrauskas, Z. Editorial for the Special Issue Acute and Chronic Pancreatitis, Pancreatic Malignancies. Medicina 2023, 59, 984. [Google Scholar] [CrossRef]
- Mao, J.-T.; Lai, J.-N.; Fu, Y.-H.; Yip, H.-T.; Lai, Y.-C.; Hsu, C.-Y.; Chen, S.-H.; Kuo, S.-J. Protective Effects of Higher Exposure to Aspirin and/or Clopidogrel on the Occurrence of Hip Fracture among Diabetic Patients: A Retrospective Cohort Study. Biomedicines 2022, 10, 2626. [Google Scholar] [CrossRef]
- Liao, P.-S.; Chiu, C.-C.; Fu, Y.-H.; Hsia, C.-C.; Yang, Y.-C.; Lee, K.-F.; Hsieh, S.-L.; Kuo, S.-J. Incidence of Hip Fractures among Patients with Chronic Otitis Media: The Real-World Data. Medicina 2022, 58, 1138. [Google Scholar] [CrossRef]
- Chiang, C.-H.; Li, C.-Y.; Hu, K.-C.; Fu, Y.-H.; Chiu, C.-C.; Hsia, C.-C.; Kuo, S.-J.; Hung, C.-H. The Association between Iron-Deficiency Anemia (IDA) and Septic Arthritis (SA): The Real-World Data. Medicina 2022, 58, 617. [Google Scholar] [CrossRef]
- Chang, J.-H.; Shen, T.-C.; Chen, K.-W.; Lin, C.-L.; Hsu, C.Y.; Wen, Y.-R.; Chang, K.-C. Risk of Acute Myocardial Infarction in Pneumoconiosis: Results from a Retrospective Cohort Study. Biomedicines 2023, 11, 897. [Google Scholar] [CrossRef]
- Chen, S.-H.; Chen, J.-F.; Hung, Y.-T.; Hsu, T.-J.; Chiu, C.-C.; Kuo, S.-J. Exploring the Relationship between Periodontitis, Anti-Periodontitis Therapy, and Extra-Oral Cancer Risk: Findings from a Nationwide Population-Based Study. Biomedicines 2023, 11, 1949. [Google Scholar] [CrossRef]
- Chuang, Y.-W.; Huang, S.-T.; Wang, I.-K.; Lo, Y.-C.; Chang, C.-T.; Lin, C.-L.; Yu, T.-M.; Li, C.-Y. Risk of Severe Alphaherpesvirus Infection after Solid Organ Transplantation: A Nationwide Population-Based Cohort Study. Biomedicines 2023, 11, 637. [Google Scholar] [CrossRef] [PubMed]
- Chen, H.-W.; Wu, W.-T.; Wang, J.-H.; Lin, C.-L.; Hsu, C.-Y.; Yeh, K.-T. The Risk of Venous Thromboembolism after Thoracolumbar Spine Surgery: A Population-Based Cohort Study. J. Clin. Med. 2023, 12, 613. [Google Scholar] [CrossRef]
- Wei, C.-H.; Li, C.-H.; Shen, T.-C.; Hung, Y.-T.; Tu, C.-Y.; Hsia, T.-C.; Hsu, W.-H.; Hsu, C.Y. Risk of Chronic Kidney Disease in Pneumoconiosis: Results from a Retrospective Cohort Study (2008–2019). Biomedicines 2023, 11, 150. [Google Scholar] [CrossRef]
- Lai, S.W.; Liao, K.F.; Lin, C.L.; Lin, C.H. Association between Parkinson’s disease and proton pump inhibitors therapy in older people. Biomedicine 2020, 10, 1–4. [Google Scholar] [CrossRef]
- Lai, S.W.; Lin, C.L.; Liao, K.F. Hyperuricemia might be an early manifestation of undiagnosed adult leukemia in a population-based cohort study. Biomedicine 2020, 10, 40–44. [Google Scholar] [CrossRef]
- Lai, S.W.; Liao, K.F.; Lin, C.L.; Lin, C.C.; Lin, C.H. Longitudinal data of multimorbidity and polypharmacy in older adults in Taiwan from 2000 to 2013. Biomedicine 2020, 10, 40–44. [Google Scholar] [CrossRef]
- Li, X.; Chaouhan, H.S.; Wang, Y.-M.; Wang, I.-K.; Lin, C.-L.; Shen, T.-C.; Li, C.-Y.; Sun, K.-T. Risk of Periodontitis in Patients with Gastroesophageal Reflux Disease: A Nationwide Retrospective Cohort Study. Biomedicines 2022, 10, 2980. [Google Scholar] [CrossRef] [PubMed]
- Federico, A.; Morgillo, F.; Tuccillo, C.; Ciardiello, F.; Loguercio, C. Chronic inflammation and oxidative stress in human carcinogenesis. Int. J. Cancer 2007, 121, 2381–2386. [Google Scholar] [CrossRef] [PubMed]
- Kirkegard, J.; Mortensen, F.V.; Cronin-Fenton, D. Chronic Pancreatitis and Pancreatic Cancer Risk: A Systematic Review and Meta-analysis. Am. J. Gastroenterol. 2017, 112, 1366–1372. [Google Scholar] [CrossRef]
- Schlaak, J.F. Current Therapy of Chronic Viral Hepatitis B, C and D. J. Pers. Med. 2023, 13, 964. [Google Scholar] [CrossRef] [PubMed]
- Stroffolini, T.; Stroffolini, G. A Historical Overview on the Role of Hepatitis B and C Viruses as Aetiological Factors for Hepatocellular Carcinoma. Cancers 2023, 15, 2388. [Google Scholar] [CrossRef]
- Machlowska, J.; Baj, J.; Sitarz, M.; Maciejewski, R.; Sitarz, R. Gastric Cancer: Epidemiology, Risk Factors, Classification, Genomic Characteristics and Treatment Strategies. Int. J. Mol. Sci. 2020, 21, 4012. [Google Scholar] [CrossRef]
- Ko, Y.C.; Huang, Y.L.; Lee, C.H.; Chen, M.J.; Lin, L.M.; Tsai, C.C. Betel quid chewing, cigarette smoking and alcohol consumption related to oral cancer in Taiwan. J. Oral Pathol. Med. 1995, 24, 450–453. [Google Scholar] [CrossRef] [PubMed]
- Goldacre, M.J.; Wotton, C.J.; Yeates, D.; Seagroatt, V.; Collier, J. Liver cirrhosis, other liver diseases, pancreatitis and subsequent cancer: Record linkage study. Eur. J. Gastroenterol. Hepatol. 2008, 20, 384–392. [Google Scholar] [CrossRef] [PubMed]
- Agarwal, S.; Sharma, S.; Gunjan, D.; Singh, N.; Kaushal, K.; Poudel, S.; Anand, A.; Gopi, S.; Mohta, S.; Sonika, U.; et al. Natural course of chronic pancreatitis and predictors of its progression. Pancreatology 2020, 20, 347–355. [Google Scholar] [CrossRef]
- Bang, U.C.; Benfield, T.; Hyldstrup, L.; Bendtsen, F.; Beck Jensen, J.E. Mortality, cancer, and comorbidities associated with chronic pancreatitis: A Danish nationwide matched-cohort study. Gastroenterology 2014, 146, 989–994. [Google Scholar] [CrossRef]
- Karlson, B.M.; Ekbom, A.; Josefsson, S.; McLaughlin, J.K.; Fraumeni, J.F., Jr.; Nyren, O. The risk of pancreatic cancer following pancreatitis: An association due to confounding? Gastroenterology 1997, 113, 587–592. [Google Scholar] [CrossRef] [PubMed]
- Anderson, L.N.; Cotterchio, M.; Gallinger, S. Lifestyle, dietary, and medical history factors associated with pancreatic cancer risk in Ontario, Canada. Cancer Causes Control. 2009, 20, 825–834. [Google Scholar] [CrossRef]
- Bansal, P.; Sonnenberg, A. Pancreatitis is a risk factor for pancreatic cancer. Gastroenterology 1995, 109, 247–251. [Google Scholar] [CrossRef]
- Jeon, C.Y.; Chen, Q.; Yu, W.; Dong, E.Y.; Chung, J.; Pandol, S.J.; Yadav, D.; Conwell, D.L.; Wu, B.U. Identification of Individuals at Increased Risk for Pancreatic Cancer in a Community-Based Cohort of Patients With Suspected Chronic Pancreatitis. Clin. Transl. Gastroenterol. 2020, 11, e00147. [Google Scholar] [CrossRef]
- Hao, L.; Zeng, X.P.; Xin, L.; Wang, D.; Pan, J.; Bi, Y.W.; Ji, J.T.; Du, T.T.; Lin, J.H.; Zhang, D.; et al. Incidence of and risk factors for pancreatic cancer in chronic pancreatitis: A cohort of 1656 patients. Dig. Liver Dis. 2017, 49, 1249–1256. [Google Scholar] [CrossRef]
- Lowenfels, A.B.; Maisonneuve, P.; Cavallini, G.; Ammann, R.W.; Lankisch, P.G.; Andersen, J.R.; Dimagno, E.P.; Andren-Sandberg, A.; Domellof, L. Pancreatitis and the risk of pancreatic cancer. International Pancreatitis Study Group. N. Engl. J. Med. 1993, 328, 1433–1437. [Google Scholar] [CrossRef]
- Midha, S.; Sreenivas, V.; Kabra, M.; Chattopadhyay, T.K.; Joshi, Y.K.; Garg, P.K. Genetically Determined Chronic Pancreatitis but not Alcoholic Pancreatitis Is a Strong Risk Factor for Pancreatic Cancer. Pancreas 2016, 45, 1478–1484. [Google Scholar] [CrossRef] [PubMed]
- Weber, M.F.; Sarich, P.E.A.; Vaneckova, P.; Wade, S.; Egger, S.; Ngo, P.; Joshy, G.; Goldsbury, D.E.; Yap, S.; Feletto, E.; et al. Cancer incidence and cancer death in relation to tobacco smoking in a population-based Australian cohort study. Int. J. Cancer 2021, 149, 1076–1088. [Google Scholar] [CrossRef] [PubMed]
- Chyou, P.H.; Nomura, A.M.; Stemmermann, G.N. A prospective study of the attributable risk of cancer due to cigarette smoking. Am. J. Public Health 1992, 82, 37–40. [Google Scholar] [CrossRef] [PubMed]
- Rumgay, H.; Murphy, N.; Ferrari, P.; Soerjomataram, I. Alcohol and Cancer: Epidemiology and Biological Mechanisms. Nutrients 2021, 13, 3173. [Google Scholar] [CrossRef]
- Rumgay, H.; Shield, K.; Charvat, H.; Ferrari, P.; Sornpaisarn, B.; Obot, I.; Islami, F.; Lemmens, V.; Rehm, J.; Soerjomataram, I. Global burden of cancer in 2020 attributable to alcohol consumption: A population-based study. Lancet Oncol. 2021, 22, 1071–1080. [Google Scholar] [CrossRef]


| CP (−) | CP (+) | p Value | |||
|---|---|---|---|---|---|
| N | % | N | % | ||
| Gender | 0.979 | ||||
| Female | 6876 | 31.87 | 1720 | 31.89 | |
| Male | 14,700 | 68.13 | 3674 | 68.11 | |
| Age | 0.213 | ||||
| 20~39 | 5765 | 26.72 | 1504 | 27.88 | |
| 40~59 | 10,251 | 47.51 | 2534 | 46.98 | |
| 60~ | 5560 | 25.77 | 1356 | 25.14 | |
| Mean (SD) | 50.09 | (14.93) | 49.71 | (14.96) | 0.101 |
| CCI score | 0.999 | ||||
| 0 | 12,367 | 57.32 | 3091 | 57.30 | |
| 1~2 | 7029 | 32.58 | 1757 | 32.57 | |
| 3~ | 2180 | 10.10 | 546 | 10.12 | |
| NSAIDs | 0.733 | ||||
| No | 11,084 | 51.37 | 2785 | 51.63 | |
| Yes | 10,492 | 48.63 | 2609 | 48.37 | |
| Mean (SD) follow-up years | 6.22 | (3.56) | 3.27 | (1.72) | 0.021 |
| All Cancer | Crude | Adjusted | Adjusted | |||||||||
|---|---|---|---|---|---|---|---|---|---|---|---|---|
| N | PYs | IR | cHR | 95% CI | p Value | aHR | 95% CI | p Value | aSHR | 95% CI | p Value | |
| CP | ||||||||||||
| No | 1108 | 188,156.6 | 5.89 | 1.00 | reference | - | 1.00 | reference | - | 1.00 | reference | - |
| Yes | 405 | 44,363.2 | 9.13 | 1.56 | 1.39~1.74 | <0.001 | 1.58 | 1.41~1.77 | <0.001 | 1.50 | 1.34~1.68 | <0.001 |
| Gender | ||||||||||||
| Female | 401 | 71,620.3 | 5.60 | 1.00 | reference | - | 1.00 | reference | - | 1.00 | reference | - |
| Male | 1112 | 160,899.5 | 6.91 | 1.23 | 1.09~1.38 | <0.001 | 1.43 | 1.27~1.60 | <0.001 | 1.36 | 1.20~1.53 | <0.001 |
| Age (year) | ||||||||||||
| 20~39 | 191 | 71,719.1 | 2.66 | 1.00 | reference | - | 1.00 | reference | - | 1.00 | reference | - |
| 40~59 | 721 | 112,061.8 | 6.43 | 2.44 | 2.08~2.86 | <0.001 | 2.43 | 2.07~2.85 | <0.001 | 2.38 | 2.03~2.79 | <0.001 |
| 60~ | 601 | 48,738.9 | 12.33 | 4.84 | 4.11~5.70 | <0.001 | 5.18 | 4.39~6.12 | <0.001 | 4.33 | 3.67~5.12 | <0.001 |
| CCI score | ||||||||||||
| 0 | 782 | 144,026.0 | 5.43 | 1.00 | reference | - | 1.00 | reference | - | 1.00 | reference | - |
| 1~2 | 526 | 71,548.0 | 7.35 | 1.36 | 1.22~1.52 | <0.001 | 1.20 | 1.07~1.34 | 0.001 | 1.09 | 0.98~1.23 | 0.118 |
| 3+ | 205 | 16,945.7 | 12.10 | 2.34 | 2.00~2.73 | <0.001 | 1.75 | 1.49~2.05 | <0.001 | 1.25 | 1.07~1.47 | 0.006 |
| NSAIDs | ||||||||||||
| No | 582 | 118,873.8 | 4.90 | 1.00 | reference | - | 1.00 | reference | - | 1.00 | reference | - |
| Yes | 931 | 113,646.0 | 8.19 | 1.67 | 1.51~1.86 | <0.001 | 1.62 | 1.46~1.80 | <0.001 | 1.61 | 1.45~1.79 | <0.001 |
| All Cancers | ||||||||||||
|---|---|---|---|---|---|---|---|---|---|---|---|---|
| CP (−) | CP (+) | Crude | Adjusted | |||||||||
| N | PYs | IR | N | PYs | IR | cHR | 95% CI | p-Value | aHR | 95% CI | p-Value | |
| Gender | ||||||||||||
| Female | 304 | 57,596.21 | 5.28 | 97 | 14,024.08 | 6.92 | 1.31 | 1.05~1.65 | 0.019 | 1.32 | 1.05~1.66 | 0.017 |
| Male | 804 | 130,560.4 | 6.16 | 308 | 30,339.12 | 10.15 | 1.66 | 1.45~1.89 | <0.001 | 1.68 | 1.47~1.92 | <0.001 |
| Age (year) | ||||||||||||
| 20~39 | 121 | 57,679.12 | 2.10 | 70 | 14,039.95 | 4.99 | 2.42 | 1.81~3.25 | <0.001 | 2.38 | 1.77~3.19 | <0.001 |
| 40~59 | 528 | 91,100.87 | 5.80 | 193 | 20,960.93 | 9.21 | 1.60 | 1.35~1.88 | <0.001 | 1.63 | 1.38~1.92 | <0.001 |
| 60~ | 459 | 39,376.59 | 11.66 | 142 | 9362.32 | 15.17 | 1.31 | 1.08~1.58 | 0.006 | 1.32 | 1.09~1.59 | 0.004 |
| CCI score | ||||||||||||
| 0 | 568 | 116,324.3 | 4.88 | 214 | 27,701.77 | 7.73 | 1.59 | 1.36~1.86 | <0.001 | 1.57 | 1.34~1.83 | <0.001 |
| 1~2 | 392 | 58,042.34 | 6.75 | 134 | 13,505.67 | 9.92 | 1.48 | 1.22~1.81 | <0.001 | 1.51 | 1.24~1.83 | <0.001 |
| 3+ | 148 | 13,789.97 | 10.73 | 57 | 3155.76 | 18.06 | 1.71 | 1.26~2.32 | <0.001 | 1.77 | 1.30~2.41 | <0.001 |
| NSAIDs | ||||||||||||
| No | 410 | 96,081.71 | 4.27 | 172 | 22,792.05 | 7.55 | 1.77 | 1.48~2.12 | <0.001 | 1.80 | 1.50~2.15 | <0.001 |
| Yes | 698 | 92,074.86 | 7.58 | 233 | 21,571.15 | 10.80 | 1.43 | 1.24~1.66 | <0.001 | 1.45 | 1.25~1.68 | <0.001 |
| CP (−) | CP (+) | Crude | Adjusted | |||||||||
|---|---|---|---|---|---|---|---|---|---|---|---|---|
| N | PYs | IR | N | PYs | IR | cHR | 95% CI | p-Value | aHR | 95% CI | p-Value | |
| Female | ||||||||||||
| Liver | 32 | 55,954.01 | 0.57 | 15 | 13,552.22 | 1.11 | 1.94 | 1.05~3.59 | 0.034 | 2.01 | 1.09~3.72 | 0.025 |
| Breast | 17 | 55,797.93 | 0.30 | 6 | 13,532.12 | 0.44 | 1.45 | 0.57~3.67 | 0.435 | 1.45 | 0.57~3.68 | 0.434 |
| Lung | 28 | 55,941.09 | 0.50 | 9 | 13,561.11 | 0.66 | 1.34 | 0.63~2.83 | 0.448 | 1.33 | 0.63~2.81 | 0.462 |
| Thyroid | 13 | 55,807.78 | 0.23 | 4 | 13,522.32 | 0.30 | 1.27 | 0.41~3.89 | 0.678 | 1.28 | 0.42~3.92 | 0.667 |
| Colorectal | 44 | 55,992.41 | 0.79 | 10 | 13,566.08 | 0.74 | 0.94 | 0.47~1.86 | 0.856 | 0.94 | 0.47~1.87 | 0.859 |
| Kidney + Bladder | 21 | 55,861.04 | 0.38 | 4 | 13,512.90 | 0.30 | 0.79 | 0.27~2.29 | 0.662 | 0.80 | 0.27~2.33 | 0.681 |
| Stomach | 10 | 55,783.60 | 0.18 | 4 | 13,525.42 | 0.30 | 1.65 | 0.52~5.27 | 0.397 | 1.66 | 0.52~5.30 | 0.390 |
| Pancreatic | 3 | 25.25 | 118.83 | 10 | 56.66 | 176.49 | 2.31 | 0.50~10.67 | 0.285 | 16.20 | 1.46~179.70 | 0.023 |
| Other + NP | 136 | 56,585.40 | 2.40 | 35 | 13,686.26 | 2.56 | 1.07 | 0.73~1.54 | 0.739 | 1.07 | 0.74~1.55 | 0.732 |
| Male | ||||||||||||
| Liver | 167 | 126,522.20 | 1.320 | 57 | 28,791.8 | 1.98 | 1.50 | 1.11~2.03 | 0.008 | 1.54 | 1.14~2.08 | 0.005 |
| Lung | 88 | 126,131.09 | 0.698 | 21 | 28,541.08 | 0.74 | 1.05 | 0.66~1.70 | 0.826 | 1.05 | 0.65~1.68 | 0.855 |
| Thyroid | 8 | 125,666.5 | 0.064 | 3 | 28,440.52 | 0.11 | 1.67 | 0.44~6.31 | 0.447 | 1.69 | 0.45~6.36 | 0.440 |
| Colorectal | 104 | 126,271.97 | 0.824 | 24 | 28,555.55 | 0.84 | 1.03 | 0.66~1.60 | 0.904 | 1.03 | 0.66~1.61 | 0.882 |
| Prostate | 66 | 126,027.67 | 0.524 | 12 | 28,502.86 | 0.42 | 0.81 | 0.44~1.51 | 0.512 | 0.77 | 0.41~1.42 | 0.400 |
| Kidney + Bladder | 46 | 125,852.34 | 0.366 | 11 | 28,478.92 | 0.39 | 1.05 | 0.54~2.03 | 0.887 | 1.07 | 0.55~2.06 | 0.845 |
| Stomach | 20 | 125,732.778 | 0.159 | 10 | 28,477.04 | 0.35 | 2.21 | 1.04~4.73 | 0.040 | 2.19 | 1.02~4.68 | 0.043 |
| Pancreatic | 12 | 80.55 | 148.97 | 16 | 56.08 | 285.30 | 2.35 | 1.06~5.22 | 0.036 | 3.17 | 1.12~9.04 | 0.031 |
| Other + NP | 293 | 127,539.21 | 2.30 | 154 | 29497.62 | 5.22 | 2.29 | 1.88~2.79 | <0.001 | 2.32 | 1.90~2.82 | <0.001 |
| Liver Cancer | ||||||||||||
|---|---|---|---|---|---|---|---|---|---|---|---|---|
| CP (−) | CP (+) | Crude | Adjusted | |||||||||
| N | PYs | IR | N | PYs | IR | cHR | 95% CI | p Value | aHR | 95% CI | p Value | |
| HBV (−)/HCV (−) | 120 | 170,746.88 | 0.70 | 47 | 38,717.57 | 1.21 | 1.74 | 1.25~2.44 | 0.001 | 1.40 | 0.99~1.99 | 0.058 |
| HBV (−)/HCV (+) | 36 | 3022.88 | 11.91 | 13 | 994.81 | 13.07 | 1.11 | 0.59~2.09 | 0.755 | 1.08 | 0.56~2.05 | 0.824 |
| HBV (+)/HCV (−) | 38 | 7830.48 | 4.85 | 12 | 2631.64 | 4.33 | 0.90 | 0.45~1.80 | 0.761 | 0.87 | 0.43~1.76 | 0.695 |
| HBV (+)/HCV (+) | 5 | 875.97 | 5.71 | 6.21 | 1.14 | 0.22~5.86 | 0.879 | 1.40 | 0.24~8.16 | 0.705 | ||
| (a) The crude and hazard ratios of liver cancer among female patients with and without CP, stratified by the presence of virus carrier state. | ||||||||||||
| Liver cancer (female CP patients) | ||||||||||||
| CP (−) | CP (+) | Crude | Adjusted | |||||||||
| N | PYs | IR | N | PYs | IR | cHR | 95% CI | p Value | aHR | 95% CI | p Value | |
| HBV (−)/HCV (−) | 23 | 53,672.81 | 0.43 | 6 | 12,729.65 | 0.47 | 1.11 | 0.45~2.72 | 0.821 | 1.07 | 0.43~2.65 | 0.881 |
| HBV (−)/HCV (+) | 10 | 2281.21 | 11.42 | 9 | 822.57 | 21.69 | 1.85 | 0.67~5.12 | 0.234 | 1.81 | 0.65~5.10 | 0.259 |
| HBV (+)/HCV (−) | 0.69 | 2.34 | ||||||||||
| HBV (+)/HCV (+) | 7.84 | 13.64 | 2.34 | 0.14~37.93 | 0.550 | 4.29 | 0.10~185.28 | 0.449 | ||||
| (b) The crude and hazard ratios of liver cancer among male patients with and without CP, stratified by the presence of virus carrier state. | ||||||||||||
| Liver cancer (male CP patients) | ||||||||||||
| CP (−) | CP (+) | Crude | Adjusted | |||||||||
| N | PYs | IR | N | PYs | IR | cHR | 95% CI | p Value | aHR | 95% CI | p Value | |
| HBV (−)/HCV (−) | 97 | 117,074.08 | 0.83 | 41 | 25,987.91 | 1.58 | 1.92 | 1.33~2.77 | <0.001 | 1.49 | 1.02~2.18 | 0.040 |
| HBV (−)/HCV (+) | 28 | 2322.35 | 12.06 | 6 | 672.07 | 8.93 | 0.77 | 0.32~1.86 | 0.562 | 0.74 | 0.30~1.83 | 0.513 |
| HBV (+)/HCV (−) | 38 | 6377.32 | 5.96 | 10 | 2131.81 | 4.78 | 0.81 | 0.39~1.67 | 0.563 | 0.77 | 0.37~1.61 | 0.495 |
| HBV (+)/HCV (+) | 4 | 748.45 | 5.34 | 4.02 | 0.75 | 0.08~6.75 | 0.801 | 0.26 | 0.02~4.41 | 0.351 | ||
| Design |
Population
Characteristic | Cancer Type | Outcome | |
|---|---|---|---|---|
| Bang UC, et al. (2014) [34] | Cohort | Data source: Danish National Patient Register (1995–2010) Papulation/Control: 11,972/119,720 | All cancers | All cancers: 13.6% CP cases experienced a cancer compared with 7.9% of the controls (p < 0.0001), aHR of 1.2 (95% CI, 1.1–1.3). Pancreas and Liver cancer: CP cases had significantly higher risks with aHRs of 6.9 (95% CI, 5.6–8.6) and 2.0 (95% CI, 1.3–3.1) for pancreatic and liver cancer, respectively. The RR of pancreatic cancer was particularly elevated during the initial 2–4 years after cohort entry (adjusted HR, 14.6; 95% CI, 10.9–19.6) |
| Goldacre MJ, et al. (2008) [32] | Cohort | Data source: Oxford record linkage study (ORLS)(1963–1999). Papulation/Control: 1496/599,308 | All cancers | All cancers: The RRs for cancer overall were 1.3 (1.1–1.4) AP patients and 2.5 (2.1–2.8) in CP patients. Liver cancer: The RRs were 2.3 (95% CI, 1.3–4.0) for AP and 5.6 (95% CI, 2.1–12.4) for CP. However, after excluding liver cancer cases diagnosed within one year of pancreatitis admission, the association was not significant. The RRs were 3.0 (95% CI, 2.2–4.0) for AP and 10.7 (95% CI, 7.3–15.3) for CP. Pancreatic cancer: The RRs were 5.7 (4.5–7.1) associated with AP and 27.0 (21.4–33.8) associated with CP; they dropped over time, but remained significantly high after omitting the first year cases: they were 3.0 (2.2–4.0) in AP and 10.7 (7.3–15.3) in CP. Lung cancer: Significantly high in people with AP (RRs: 1.3; 1.0–1.6) and in CP (RRs: 2.3; 1.5–3.3). |
| Chen CH, et al.(2020) [10] | Cohort | Data source: Taiwan National Health Insurance (NHI) program (2000–2011) Papulation/Control: 11,237/11,237 | Head and Neck cancer | Head and neck cancer: Patients with CP had a significantly higher risk of head and neck cancer (aHR = 1.31, 95% CI: 1.07–1.60) and a greater incidence of head and neck cancer (log-rank test, p < 0.001). The incidence of head and neck cancer in the CP cohort was 1.90%, while in the non-CP cohort, it was 1.60%. This represents a 0.30% absolute risk increase. |
| Karlson BM, et al. (1997) [35] | Cohort | Data source: Swedish Inpatient Registry (1965–1983) Papulation: 29,530 Sub-cohorts: (1) one episode of unspecified pancreatitis (n = 823); (2) one episode of acute pancreatitis (n = 24,753); (3) recurrent pancreatitis (n = 7328); (4) chronic pancreatitis (n = 4546). | Pancreatic cancer | Excess risks for pancreatic cancer were observed in all sub-cohorts. The SIR for all cohorts combined was 2.8 (95% CI, 2.5–3.2). The highest risks were observed in the patients with CP (SIR, 7.6; 95% CI, 6.0–9.7) and with one attack of unspecified pancreatitis (SIR, 7.3; 95% CI, 3.5–13.4). |
| Anderson LN, et al. (2009) [36] | Case-control | Data source: Ontario Cancer Registry (2003–2007) Case/control: 422/413 | Pancreatic cancer | CP was found to be associated with increased risk in the age-adjusted model, yet after adjustment for other variables, this association approached null and was not significant. |
| Bansal and Sonnenberg et al. (1995) [37] | Case-control | Data source: Veterans Affairs (VA) Case/control: 2639/7774 | Pancreatic cancer | In a multivariate analysis, the odds ratios for all types of pancreatitis and CP alone were 3.42 (CI, 1.98–5.91) and 2.23 (CI, 1.43–3.49), respectively. |
| Jeon CY, et al. (2020) [38] | Cohort | Data source: healthcare system in Southern California (2006–2015). Case: 1766 | Pancreatic cancer | Obesity (HR, 2.7, 95% CI: 1.2–6.1) and duct dilatation (HR, 10.5, 95% CI: 4.0–27) were identified as predictive factors for incident pancreatic cancer after 1 year of follow-up. The five-year incidence of pancreatic cancer in patients with duct dilatation was 6.3%. |
| Hao L, et al. (2017) [39] | Cohort | Data source: Changhai Hospital center (2000–2013) Case: 1656 | Pancreatic cancer | Of a total of 1656 patients, the median follow-up duration was 8.0 years. Pancreatic cancer was detected in 21 patients (1.3%). The expected number of cases of pancreatic cancer was 1.039, yielding an SIR of 20.22. |
| Lowenfels AB, et al. (1993) [40] | Cohort | Data source: Multiple clinical centers in six countries. Case: 2015 | Pancreatic cancer | The risk of developing pancreatic cancer steadily increased over time. At 2 years and 20 years after the diagnosis of pancreatitis, the cumulative risks were 1.8% (95% CI: 1.0 to 2.6%) and 4.0% (95% CI: 2.0 to 5.9%), respectively. |
| Agarwal S, et al. (2020) [33] | Cohort | Data source: A tertiary care center at India (1998 -2019) Case: 1415 | Pancreatic cancer | Ten-year risk of pancreatic cancer was 0.9%, 0.2% and 5.2% in alcoholic pancreatitis, idiopathic-juvenile chronic pancreatitis and idiopathic senile chronic pancreatitis, respectively. |
| Midha S, et al. (2016) [41] | Cohort/ Case-control | Data source: Tertiary care academic center. Case/Control: 402 in cohort study 249/1000 in case-control study | Pancreatic cancer | Cohort study: During 3967.74 person-years of exposure, 5 of the 402 patients (4 idiopathic CP, 1 hereditary CP) developed pancreatic cancer after 16.60 ± 3.51 years of CP. The SIR was 121. Case-control study: Multivariable analysis showed CP (OR, 97.67; 95% CI, 12.69–751.36), diabetes (>4 years duration) (OR, 3.05; 95% CI, 1.79–5.18), and smoking (OR, 1.93; 95% CI, 1.38–2.69) as significant risk factors for pancreatic cancer. |
Disclaimer/Publisher’s Note: The statements, opinions and data contained in all publications are solely those of the individual author(s) and contributor(s) and not of MDPI and/or the editor(s). MDPI and/or the editor(s) disclaim responsibility for any injury to people or property resulting from any ideas, methods, instructions or products referred to in the content. |
© 2023 by the authors. Licensee MDPI, Basel, Switzerland. This article is an open access article distributed under the terms and conditions of the Creative Commons Attribution (CC BY) license (https://creativecommons.org/licenses/by/4.0/).
Share and Cite
Hsieh, C.-C.; Fu, Y.-H.; Ku, N.-E.; Hsia, C.-C.; Hung, Y.-T.; Hsu, T.-J.; Chen, S.-H.; Kuo, S.-J. The Impact of Chronic Pancreatitis on the Occurrences of Human Cancers: Real-World Data. J. Clin. Med. 2023, 12, 5102. https://doi.org/10.3390/jcm12155102
Hsieh C-C, Fu Y-H, Ku N-E, Hsia C-C, Hung Y-T, Hsu T-J, Chen S-H, Kuo S-J. The Impact of Chronic Pancreatitis on the Occurrences of Human Cancers: Real-World Data. Journal of Clinical Medicine. 2023; 12(15):5102. https://doi.org/10.3390/jcm12155102
Chicago/Turabian StyleHsieh, Chi-Chia, Yi-Hsiu Fu, Nien-En Ku, Chia-Chun Hsia, Yu-Tung Hung, Tzu-Ju Hsu, Sung-Hsiung Chen, and Shu-Jui Kuo. 2023. "The Impact of Chronic Pancreatitis on the Occurrences of Human Cancers: Real-World Data" Journal of Clinical Medicine 12, no. 15: 5102. https://doi.org/10.3390/jcm12155102
APA StyleHsieh, C.-C., Fu, Y.-H., Ku, N.-E., Hsia, C.-C., Hung, Y.-T., Hsu, T.-J., Chen, S.-H., & Kuo, S.-J. (2023). The Impact of Chronic Pancreatitis on the Occurrences of Human Cancers: Real-World Data. Journal of Clinical Medicine, 12(15), 5102. https://doi.org/10.3390/jcm12155102

