Abstract
The detection of serum anti-acetylcholine receptor (AChR) antibodies is currently an important tool for diagnosing myasthenia gravis (MG) since they are present in about 85% of MG patients. Many serological tests are now available. Nevertheless, results from these tests can be different in some patients. The aim of this study is to compare the sensitivity of a commercially available fixed cell-based assay (F-CBA) to that of enzyme-linked immunosorbent assay (ELISA) kits for anti-AChR detection in patients with a diagnosis of MG. Overall, 143 patients with a confirmed MG diagnosis were included in the study. The detection and measurement of serum anti-AChR antibodies were performed by three analytical methods, namely, a competitive ELISA (cELISA), an indirect ELISA (iELISA), and an F-CBA, according to the manufacturers’ instructions. Anti-AChR antibody titers were positive in 94/143 (66%) using the cELISA, in 75/143 (52%) using the iELISA and in 61/143 (43%) using the F-CBA (adult and/or fetal). Method agreement, evaluated by concordant pairs and Cohen’s kappa, was as follows: cELISA-iELISA: 110/143 (77%), k = 0.53 (95%CI 0.40–0.66); cELISA-F-CBA: 108/143 (76%), k = 0.53 (95%CI 0.41–0.66); iELISA-F-CBA: 121/143 (85%), k = 0.70 (95%CI 0.57–0.80). Our findings show that the cELISA has better analytical performance than the iELISA and F-CBA. However, the iELISA and F-CBA show the highest concordance.
1. Introduction
Myasthenia gravis (MG) is an autoimmune neuromuscular disease characterized by autoantibodies targeting proteins in the neuromuscular junction of the skeletal muscles [1].
The clinical manifestations of the disease differ from mild and focal weakness to myasthenic crisis, an acute respiratory paralysis that requires intensive care [2,3,4]. MG symptoms can be limited to the eye muscles, commonly called ocular MG (OMG), or involve other skeletal muscle symptoms, leading to generalized MG (GMG).
Antibody testing is crucial to confirm the clinical suspicion of MG and guide the management of patients [5].
The most common antibody type in the sera of MG patients is against the nicotinic acetylcholine receptor (AChR), which consists of α, β, δ and ε subunits (adult-type AChR-ε) or α, β, δ and γ subunits (fetal-type AChR-γ). Antibodies against all five AChR subunits are detectable in about 85% of patients with GMG and about 50% of patients with OMG [5,6]. They also represent a useful serological biomarker for thymoma, which can be detected in 10–20% of MG patients [7].
About 5–10% of MG patients have antibodies against muscle-specific tyrosine kinase (MuSK) [8,9,10]. Anti-AChR and anti-MuSK are very specific, and, in practice, their detection in patients with suggestive symptoms confirms the diagnosis. When the clinical suspicion of MG arises, anti-AChR antibodies are first tested, followed by Anti-MuSK in AChR-negatives, according to the Italian recommendations for the diagnosis and treatment of myasthenia gravis [5]. Only in a few sporadic cases are both antibodies, i.e., anti-AChR and anti-MuSK, present in the same patient. In recent years, new antibody targets have been identified in seronegative MG patients, including antibodies against lipoprotein-receptor-related protein 4 (LRP4), agrin, collagen, antistriational muscle (Kv1.4, titin and ryanodine receptors) and cortactin [11,12,13,14]. However, despite the progress achieved in serological testing, no antibodies can be detected in around 1–15% of MG patients [15]. This may be related to the low sensitivity of current testing methodologies.
Various analytical methods are available for serological analysis, including the radioimmunoprecipitation assay (RIPA), enzyme-linked immunosorbent assay (ELISA), dot-blot testing and a commercial biochip based on a fixed cell-based assay (F-CBA), which measures antibodies against AChR and MuSK simultaneously [16,17,18,19,20,21,22,23]. F-CBAs and live cell-based assays (L-CBA) are reported to have higher sensitivity compared to RIPAs or ELISAs. Notably, it has been reported that discordant results may be achieved for identical samples tested by different analytical methods.
In this study, we aimed to compare the performance of three analytical methods, namely, a competitive ELISA (cELISA), an indirect ELISA (iELISA), and an F-CBA, in detecting AChR antibodies in patients with MG.
2. Materials and Methods
2.1. Study Population
We performed an observational retrospective study at the University Hospital “P. Giaccone”, Palermo, Italy, including 143 patients (66 males, 77 females, median age 61 years) with a confirmed diagnosis of MG according to the International Consensus Guidance for Management of MG [24]. We enrolled blood donors as age- and sex-matched healthy controls.
Clinical data, including MG crisis and the state of immunosuppressive treatment, were recorded by reviewing medical records. The presence of thymoma was investigated in all patients by means of computed tomography or magnetic resonance imaging scanning of the mediastinum.
MG patients were classified into five groups according to the Myasthenia Gravis Foundation of America (MGFA) clinical classification at the onset of myasthenic symptoms and at each follow-up [25].
The study was conducted in accordance with the ethical standards as formulated in the Helsinki Declaration and approved by the ‘Palermo I’ Ethical Committee (nr. 05/2021) on 19 May 2021.
For each subject enrolled, we collected blood samples in dry tubes to obtain sera. The latter was separated within 3 h after drawing and stored at −80 °C until analysis. All analyses were performed at the Institute of Clinical Biochemistry, Clinical Molecular Medicine and Clinical Laboratory Medicine, University of Palermo.
2.2. Anti-AChR Antibody Assays
Detection and measurement of serum anti-AChR antibodies were performed by three different assays (Table 1).
Table 1.
Characteristics of competitive ELISA, sandwich ELISA, and F-CBA compared in this study.
- I.
- cELISA was performed using the commercially available kit RSR AChR Autoantibody (RSR Ltd., Cardiff, UK) according to the manufacturer’s instructions [18]. It is a non-isotopic assay based on the ability of AChR autoantibodies to compete with three different AChR monoclonal antibodies (MAbs 1–3) for binding sites on affinity-purified fetal and adult-type AChR. One MAb (MAb1) is coated onto ELISA plate wells, and the other two are labeled with biotin and used in the assay in the liquid phase. In the absence of serum AChR autoantibodies, a sandwich is formed among MAb1, the AChR and the two biotinylated MAbs, which are subsequently detected by the addition of streptavidin peroxidase, which is bound specifically to biotin. In the presence of serum AChR autoantibodies, the formation of the sandwich fails, and the amount of biotinylated MAbs is reduced. A higher concentration of serum AChR autoantibodies is associated with greater inhibition of MAb-biotin binding. The concentration of AChR autoantibodies is measured in nmol/L, and a raised value above the cut-off (0.5 nmol/L) is considered nearly 100% specific for MG.
- II.
- iELISA was performed using the commercially available Anti-Acetylcholine Receptor ELISA (IgG) kit from Euroimmun (Lübeck, Germany) according to the manufacturer’s instructions. The stabilized antigen is coated onto the surface of the microwells to serve as antigenic substrates. The manufacturer-recommended cut-off values were used as follows: <0.4 nmol/L, negative; 0.4–0.5 nmol/L, borderline; >0.5 nmol/L, positive.
- III.
- F-CBA was performed using the commercially available kit MG Mosaics (Euroimmun, Lübeck, Germany) based on the principle of BIOCHIP, which simultaneously detects different antibodies. It is performed by transfecting the fixed HEK cells with complementary DNA expressing human AChR α, β, δ and ε/γ subunits and rapsyn-enhanced green fluorescent protein. The transfected cells are incubated with serum samples diluted with phosphate-buffered saline containing 0.002% Tween 20 in 1:10 dilutions for 30 min at room temperature. Measurement of antibody binding is performed by indirect immunofluorescence. In the second and third steps, the linked antibodies are stained with biotin-labeled anti-human IgG, followed by fluorescein isothiocyanate-labeled avidin and made visible with the fluorescence microscope. A smooth or fine-to-granular green fluorescence signal is detected both in the cytoplasm and at the cell surface membrane. The BIOCHIP slide is composed of combinations of 4 substrates for each patient’s test: (1) recombinant cells transfected with AChR-ε; (2) recombinant cells transfected with AChR-γ; (3) recombinant cells transfected with MuSK; and (4) untransfected recombinant cells used as negative controls (Figure 1). The fluorescence was scored by a DMIRE2 Leica fluorescence microscope (Leica, Milan, Italy) with a 20× lens. Pictures were acquired by a digital camera model DC250 Leica, using the acquisition software Qfluor550 Leica (V7.7.1). Two expert operators, who worked independently and were blinded to the clinical data, interpreted the results. Unclear results were repeated until consensus was achieved.
Figure 1. BIOCHIP mosaic for MG [26]. On a standard-sized slide, there are five incubation fields each with four different substrates: (1) Anti-adult acetylcholine receptor (AChR-E) positive transfected cells; (2) Anti-fetal acetylcholine receptor (AChR-G) positive transfected cells; (3) Anti-MuSK positive transfected cells; (4) No transfected cells.
Table 1 describes detailed performance characteristics of the three different assays.
2.3. Statistical Analysis
Statistical analysis was performed by R Language v.4.2.1 (R Foundation for Statistical Computing, Vienna, Austria), with additional packages including “dplyr”, “ggplot2”, “boot”, “VCA” and “irr”. Method comparison, using continuous values, was evaluated by non-parametric Passing–Bablok regression. Concordance was also evaluated as a percentage of concordant pairs and by Cohen’s kappa with its 95% confidence interval. Analytical performances were evaluated by calculating sensitivity, specificity, positive predictive value and negative predictive value and by ROC curve analysis. AUCs were compared by the DeLong method.
3. Results
AChR antibodies were measured in 143 MG patients (M:F 66:77, median age 61 years) and seventy healthy controls (M:F 28:32, median age 50 years). Table 2 shows the demographic and clinical characteristics of MG patients. Anti-AChR antibody titers were positive in 94/143 (66%) using the cELISA, in 75/143 (52%) using the iELISA and in 61/143 (43%) using the F-CBA (adult and/or fetal) (Table 3, Table 4 and Table 5). Figure 2 shows the combined data of positivity for all three assays evaluated.
Table 2.
Demographic and clinical characteristics of MG patients.
Table 3.
Cross-table for cELISA vs. iELISA positivity.
Table 4.
Cross-table for cELISA vs. IFA CBA positivity.
Table 5.
Cross-table for iELISA vs. IFA CBA positivity.
Figure 2.
Combined data of the three assay measurements.
The method agreement, evaluated by concordant pairs and Cohen’s kappa, was as follows: cELISA-iELISA: 110/143 (77%), k = 0.53 (95%CI 0.40–0.66); cELISA-F-CBA: 108/143 (76%), k = 0.53 (95%CI 0.41–0.66); iELISA-F-CBA: 121/143 (85%), k = 0.70 (95%CI 0.57–0.80). In the comparison of cELISA-iELISA, 26 subjects were positive for cELISA but negative for iELISA. Only 3 out of these 26 subjects resulted in being positive according to the F-CBA (1 adult only, 2 both adult and fetal). Among seven patients negative for cELISA but positive for iELISA, none was positive according to the F-CBA.
The quantitative anti-AChR antibody results, measured by cELISA and iELISA, were further compared. To this aim, all of the subjects’ results that were significantly above the detection range, i.e., >20 nmol/L for cELISA or >8 nmol/L for iELISA, were excluded, resulting in 99 valid anti-AChR antibody pairs. From Passing–Bablok regression analysis, we obtained a slope and intercept, respectively, equal to 0.26 (95%CI 0.14 to 0.42) and 0.03 (−0.02 to 0.06) (Figure 3). Out of 44 subjects excluded from the regression, 27 had both cELISA > 20 nmol/L and iELISA > 8 nmol/L, 7 displayed cELISA > 20 nmol/L but iELISA < 8 nmol/L, and up to 10 had cELISA < 20 nmol/L but iELISA > 8 nmol/L.
Figure 3.
Passing–Bablok regression for subjects with cELISA < 20 mmol/L and iELISA < 8 mmol/L.
The healthy controls received negative results according to all three AChRAb tests. Sensitivity (Se), specificity (Sp), positive predictive value (PPV) and negative predictive value (NPV) for all AChRAb tests, and their different combinations, are reported in Table 6.
Table 6.
Analytical performances of the tests and their combinations. PPV: Positive predictive value; NPV: negative predictive value.
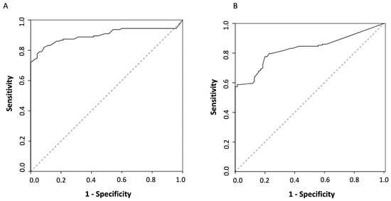
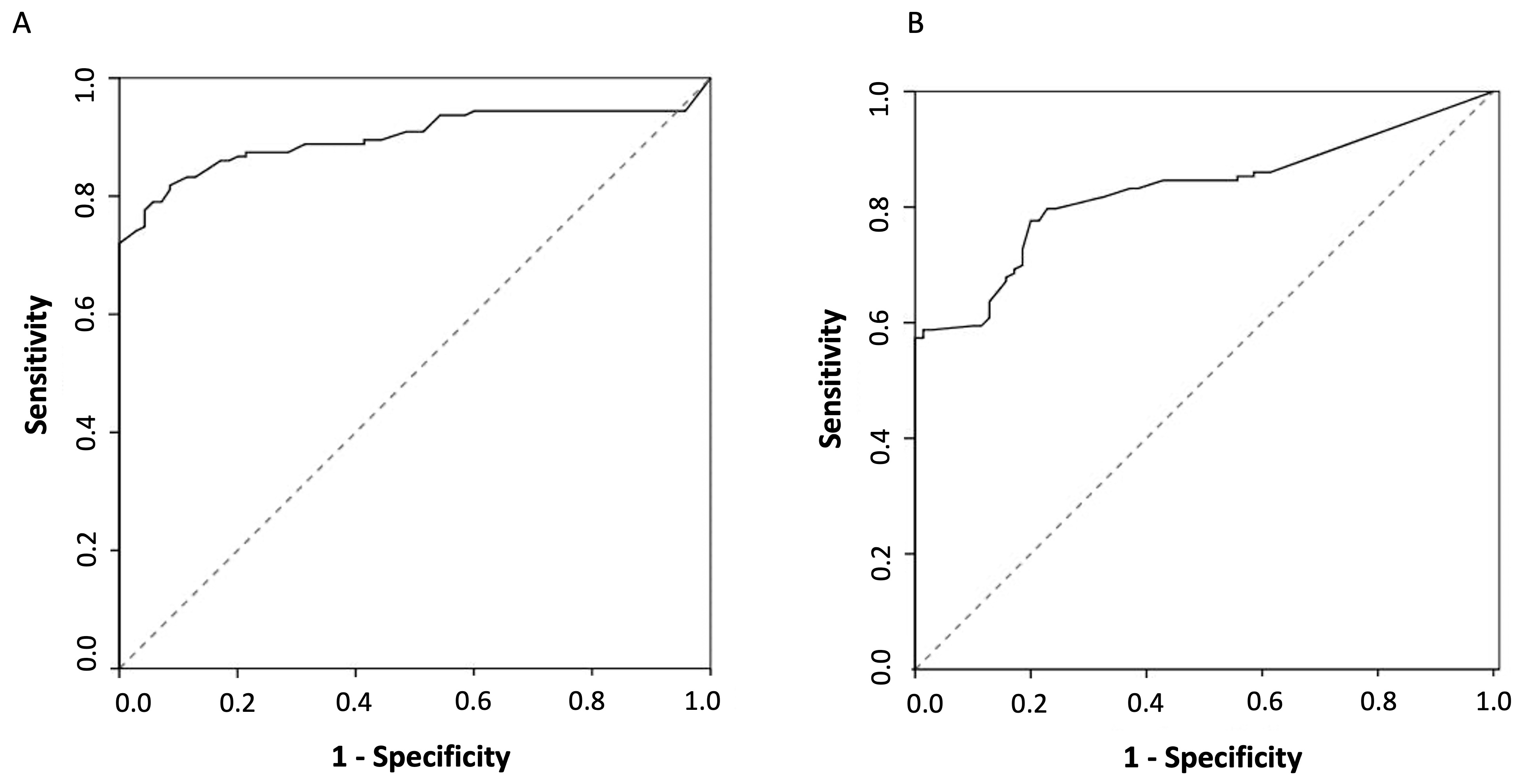
ROC curves for the cELISA and iELISA were reported in Figure 3. AUCs were 0.900 (95%CI 0.857–0.942) for cELISA and 0.828 (95%CI 0.774–0.882) for iELISA (shown in Figure 4A,B, respectively). The difference between the AUCs was statistically significant (difference: 0.072, 95%CI 0.009–0.135; Delong p = 0.0261).
Figure 4.
(A) ROC curve of the cELISA test for MG detection. (B) ROC curve of the iELISA test for MG detection.
4. Discussion
The detection of anti-AChR antibodies is currently an important tool for diagnosing MG since even very low titers of serum anti-AChR antibodies are sufficient to confirm the clinical suspicion [9]. Moreover, the gradually increasing titers of anti-AChR antibodies may be detected up to 2 years before the onset of typical MG symptoms [27].
RIPAs represent the gold standard for detecting anti-AChR antibodies due to their high specificity and sensitivity, reaching 99% and 85%, respectively [13]. Additionally, a RIPA is also a quantitative method, and, thus, the quantification of antibody levels could be helpful for patient monitoring. However, RIPAs have some limitations, mainly being the use of radioactive reagents. Over time, non-radioactive alternatives have been developed and commercialized. Among these, ELISAs are the most used. In the last decade, CBAs have also been introduced in MG diagnosis. CBA is a methodology based on the expression of high levels of antigen, i.e., AChR, in the membrane of cells, which can be live (L-CBA) or fixed (F-CBA). L-CBAs have been proven to be highly specific and sensitive, even more than RIPAs [28]. However, the use of L-CBAs in clinical practice is hampered because it requires expertise and cell-culture facilities. The limitations of RIPAs and L-CBAs can be overcome by using an FCBA. Indeed, the latter is not based on radioactive material and is less technically demanding and time-consuming than an L-CBA. Thus, similarly to an ELISA, it could be easily implemented in clinical practice.
In this study, we first compared the analytical performance of an F-CBA with two ELISA assays in a population of patients with MG. The main findings of our study can be summarized as follows: (i) the cELISA detected the most AChR antibodies in comparison to both the iELISA and F-CBA; (ii) the iELISA and F-CBA had the highest concordance; (iii) the comparison of continuous titers between the iELISA and cELISA did not provide additional information given the different magnitude and the extension of the results (different limit of the analytical range). Indeed, a slope of 26% indicated that one method overall gave values that are one-third of another; (iv) the cELISA showed the highest analytical performances. Se and NPV increased by adding the iELISA (combined double strategy of cELISA+iELISA), respectively, from 66% to 71% and from 59% to 63%. No further increase was observed by adding iIF (combined triple strategy). Overall, our findings show that the cELISA has better analytical performance than the iELISA and F-CBA. An ELISA has some advantages over CBAs, both live and fixed. First, a CBA undergoes subjective interpretation, which is related to the expertise of the reader and could undermine its reproducibility. Additionally, a CBA provides only qualitative results. Finally, a cELISA does not require dilution.
To date, only a few studies have evaluated the performance of F-CBAs for anti-AChR detection. We previously demonstrated that the F-CBA for MG diagnosis did not accurately identify low anti-AChR and anti-MuSK levels, which were detected by an ELISA [26]. Mirian et al. showed that F-CBAs have similar specificity and higher sensitivity compared to RIPAs but lower performance than L-CBAs [22]. Also, Spagni et al. found that L-CBAs are more sensitive than F-CBAs [29].
Overall, the literature comparing live and fixed CBAs for detecting neural antibodies shows a decreased sensitivity for F-CBAs [30].
In our study, we compared three analytical methods that are commercially available and easy to introduce in clinical laboratories.
Notably, in our study, we found a percentage of seronegative MG patients, in accordance with the literature [31]. The seronegativity could result from low affinity or low levels of antibodies requiring more sensitive assays. Thus, the implementation of analytical methods with high sensitivity and specificity and that are easy to perform are still sought after.
The main limitation of our study is the lack of a comparison with a RIPA.
Further studies on larger cohorts comparing the diagnostic performance of commercially available assays for anti-AChR antibody detection are required.
Author Contributions
Conceptualization, C.M.G., L.A. and M.C.; methodology, B.L.S. and C.S.; statistical analysis, M.V.; software, V.D.S. and F.B.; validation, A.M.C.; data curation, V.D.S. and F.B.; writing—original draft preparation, G.C. and S.M.; writing—review and editing, C.M.G., L.A. and B.L.S.; visualization, M.C.; supervision, M.C. All authors have read and agreed to the published version of the manuscript.
Funding
This research received no external funding.
Institutional Review Board Statement
The study was conducted according to the guidelines of the Declaration of Helsinki and approved by the Institutional Review Board of the University Hospital of Palermo (nr. 05/2021) on 19 May 2021.
Informed Consent Statement
Informed consent was obtained from all subjects involved in the study.
Data Availability Statement
The data that support the findings of this study are available from the corresponding author, upon reasonable request.
Conflicts of Interest
The authors declare no conflict of interest.
References
- Gilhus, N.E.; Tzartos, S.; Evoli, A.; Palace, J.; Burns, T.M.; Verschuuren, J.J.G.M. Myasthenia gravis. Nat. Rev. Dis. Prim. 2019, 5, 30. [Google Scholar] [CrossRef] [PubMed]
- Sanders, D.B.; Wolfe, G.I.; Benatar, M.; Evoli, A.; Gilhus, N.E.; Illa, I.; Kuntz, N.; Massey, J.M.; Melms, A.; Murai, H.; et al. International consensus guidance for management of myasthenia gravis: Executive summary. Neurology 2016, 87, 419–425. [Google Scholar] [CrossRef] [PubMed]
- Sakaguchi, H.; Yamashita, S.; Hirano, T.; Nakajima, M.; Kimura, E.; Maeda, Y.; Uchino, M. Myasthenic crisis patients who require intensive care unit management. Muscle Nerve 2012, 46, 440–442. [Google Scholar] [CrossRef] [PubMed]
- Alshekhlee, A.; Miles, J.D.; Katirji, B.; Preston, D.C.; Kaminski, H.J. Incidence and mortality rates of myasthenia gravis and myasthenic crisis in US hospitals. Neurology 2009, 72, 1548–1554. [Google Scholar] [CrossRef]
- Evoli, A.; Antonini, G.; Antozzi, C.; DiMuzio, A.; Habetswallner, F.; Iani, C.; Inghilleri, M.; Liguori, R.; Mantegazza, R.; Massa, R.; et al. Italian recommendations for the diagnosis and treatment of myasthenia gravis. Neurol. Sci. 2019, 40, 1111–1124. [Google Scholar] [CrossRef]
- Gilhus, N.E.; Verschuuren, J.J. Myasthenia gravis: Subgroup classification and therapeutic strategies. Lancet Neurol. 2015, 14, 1023–1036. [Google Scholar] [CrossRef]
- Marx, A.; Pfister, F.; Schalke, B.; Saruhan-Direskeneli, G.; Melms, A.; Ströbel, P. The different roles of the thymus in the pathogenesis of the various myasthenia gravis subtypes. Autoimmun. Rev. 2013, 12, 875–884. [Google Scholar] [CrossRef]
- Hoch, W.; McConville, J.; Helms, S.; Newsom-Davis, J.; Melms, A.; Vincent, A. Auto-antibodies to the receptor tyrosine kinase MuSK in patients with myasthenia gravis without acetylcholine receptor antibodies. Nat. Med. 2001, 7, 365–368. [Google Scholar] [CrossRef]
- Bartoccioni, E.; Marino, M.; Evoli, A.; Ruegg, M.A.; Scuderi, F.; Provenzano, C. Identification of disease-specific autoantibodies in seronegative myasthenia gravis. Ann. N. Y. Acad. Sci. 2003, 998, 356–358. [Google Scholar] [CrossRef]
- Mori, S.; Kubo, S.; Akiyoshi, T.; Yamada, S.; Miyazaki, T.; Hotta, H.; Desaki, J.; Kishi, M.; Konishi, T.; Nishino, Y.; et al. Antibodies against muscle-specific kinase impair both presynaptic and postsynaptic functions in a murine model of myasthenia gravis. Am. J. Pathol. 2012, 180, 798–810. [Google Scholar] [CrossRef]
- Doppler, K.; Hemprich, A.; Haarmann, A.; Brecht, I.; Franke, M.; Kröger, S.; Villmann, C.; Sommer, C. Autoantibodies to cortactin and agrin in sera of patients with myasthenia gravis. J. Neuroimmunol. 2021, 56, 577–588. [Google Scholar] [CrossRef] [PubMed]
- Stergiou, C.; Lazaridis, K.; Zouvelou, V.; Tzartos, J.; Mantegazza, R.; Antozzi, C.; Andreetta, F.; Evoli, A.; Deymeer, F.; Saruhan-Direskeneli, G.; et al. Titin antibodies in “seronegative” myasthenia gravis--A new role for an old antigen. J. Neuroimmunol. 2016, 292, 108–115. [Google Scholar] [CrossRef] [PubMed]
- Lazaridis, K.; Tzartos, S.J. Autoantibody Specificities in Myasthenia Gravis; Implications for Improved Diagnostics and Therapeutics. Front. Immunol. 2020, 11, 212. [Google Scholar] [CrossRef] [PubMed]
- Rivner, M.H.; Quarles, B.M.; Pan, J.X.; Yu, Z.; Howard, J.F.; Corse, A., Jr.; Dimachkie, M.M.; Jackson, C.; Vu, T.; Small, G.; et al. Clinical features of LRP4/agrin-antibody-positive myasthenia gravis: A multicenter study. Muscle Nerve 2020, 62, 333–343. [Google Scholar] [CrossRef]
- Phillips, W.D.; Vincent, A. Pathogenesis of myasthenia gravis: Update on disease types, models, and mechanisms. F1000Research 2016, 5, 1513. [Google Scholar] [CrossRef]
- Lindstrom, J. An assay for antibodies to human acetylcholine receptor in serum from patients with myasthenia gravis. Clin. Immunol. Immunopathol. 1977, 7, 36–43. [Google Scholar] [CrossRef]
- Matthews, I.; Chen, S.; Hewer, R.; McGrath, V.; Furmaniak, J.; Rees Smith, B. Muscle-specific receptor tyrosine kinase autoantibodies–A new immunoprecipitation assay. Clin. Chim. Acta 2004, 348, 95–99. [Google Scholar] [CrossRef]
- Hewer, R.; Matthews, I.; Chen, S.; McGrath, V.; Evans, M.; Roberts, E.; Nute, S.; Sanders, J.; Furmaniak, J.; Smith, B.R. A sensitive non-isotopic assay for acetylcholine receptor autoantibodies. Clin. Chim. Acta 2006, 364, 159–166. [Google Scholar] [CrossRef]
- Leite, M.I.; Jacob, S.; Viegas, S.; Cossins, J.; Clover, L.; Morgan, B.P.; Beeson, D.; Willcox, N.; Vincent, A. IgG1 antibodies to acetylcholine receptors in ‘seronegative’ myasthenia gravis. Brain 2008, 131, 1940–1952. [Google Scholar] [CrossRef]
- Zisimopoulou, P.; Lagoumintzis, G.; Kostelidou, K.; Bitzopoulou, K.; Kordas, G.; Trakas, N.; Poulas, K.; Tzartos, S.J. Towards antigen-specific apheresis of pathogenic autoantibodies as a further step in the treatment of myasthenia gravis by plasmapheresis. J. Neuroimmunol. 2008, 201, 95–103. [Google Scholar] [CrossRef]
- Bokoliya, S.; Patil, S.; Nagappa, M.; Taly, A. A Simple, Rapid and Non-Radiolabeled Immune Assay to Detect Anti-AChR Antibodies in Myasthenia Gravis. Lab. Med. 2019, 50, 229–235. [Google Scholar] [CrossRef] [PubMed]
- Cai, Y.; Han, L.; Zhu, D.; Peng, J.; Li, J.; Ding, J.; Luo, J.; Hong, R.; Wang, K.; Wan, W.; et al. A Stable Cell Line Expressing Clustered AChR: A Novel Cell-Based Assay for Anti-AChR Antibody Detection in Myasthenia Gravis. Front. Immunol. 2021, 12, 666046. [Google Scholar] [CrossRef] [PubMed]
- Mirian, A.; Nicolle, M.W.; Edmond, P.; Budhram, A. Comparison of fixed cell-based assay to radioimmunoprecipitation assay for acetylcholine receptor antibody detection in myasthenia gravis. J. Neurol. Sci. 2022, 432, 120084. [Google Scholar] [CrossRef]
- Narayanaswami, P.; Sanders, D.B.; Wolfe, G.; Benatar, M.; Cea, G.; Evoli, A.; Gilhus, N.E.; Illa, I.; Kuntz, N.L.; Massey, J.; et al. International Consensus Guidance for Management of Myasthenia Gravis: 2020 Update. Neurology 2021, 96, 114–122. [Google Scholar] [CrossRef]
- Gilhus, N.E.; Owe, J.F.; Hoff, J.M.; Romi, F.; Skeie, G.O.; Aarli, J.A. Myasthenia gravis: A review of available treatment approaches. Autoimmune Dis. 2011, 2011, 847393. [Google Scholar] [CrossRef] [PubMed]
- Gambino, C.M.; Agnello, L.; Lo Sasso, B.; Scazzone, C.; Giglio, R.V.; Candore, G.; Ciaccio, A.M.; Di Stefano, V.; Brighina, F.; Vidali, M.; et al. Comparative Analysis of BIOCHIP Mosaic-Based Indirect Immunofluorescence with Enzyme-Linked Immunosorbent Assay for Diagnosing Myasthenia Gravis. Diagnostics 2021, 11, 2098. [Google Scholar] [CrossRef]
- Strijbos, E.; Verschuuren, J.J.G.M.; Kuks, J.B.M. Serum Acetylcholine Receptor Antibodies Before the Clinical Onset of Myasthenia Gravis. J. Neuromuscul. Dis. 2018, 5, 261–264. [Google Scholar] [CrossRef]
- Kim, M.J.; Kim, S.W.; Kim, M.; Choi, Y.C.; Kim, S.M.; Shin, H.Y. Evaluating an In-House Cell-Based Assay for Detecting Antibodies Against Muscle-Specific Tyrosine Kinase in Myasthenia Gravis. J. Clin. Neurol. 2021, 17, 400–408. [Google Scholar] [CrossRef]
- Spagni, G.; Gastaldi, M.; Businaro, P.; Chemkhi, Z.; Carrozza, C.; Mascagna, G.; Falso, S.; Scaranzin, S.; Franciotta, D.; Evoli, A.; et al. Comparison of Fixed and Live Cell-Based Assay for the Detection of AChR and MuSK Antibodies in Myasthenia Gravis. Neurol. Neuroimmunol. Neuroinflamm. 2022, 10, e200038. [Google Scholar] [CrossRef]
- Alkabie, S.; Budhram, A. Testing for Antibodies Against Aquaporin-4 and Myelin Oligodendrocyte Glycoprotein in the Diagnosis of Patients with Suspected Autoimmune Myelopathy. Front. Neurol. 2022, 13, 912050. [Google Scholar] [CrossRef]
- Frykman, H.; Kumar, P.; Oger, J. Immunopathology of Autoimmune Myasthenia Gravis: Implications for Improved Testing Algorithms and Treatment Strategies. Front. Neurol. 2020, 11, 596621. [Google Scholar] [CrossRef] [PubMed]
Disclaimer/Publisher’s Note: The statements, opinions and data contained in all publications are solely those of the individual author(s) and contributor(s) and not of MDPI and/or the editor(s). MDPI and/or the editor(s) disclaim responsibility for any injury to people or property resulting from any ideas, methods, instructions or products referred to in the content. |
© 2023 by the authors. Licensee MDPI, Basel, Switzerland. This article is an open access article distributed under the terms and conditions of the Creative Commons Attribution (CC BY) license (https://creativecommons.org/licenses/by/4.0/).



