When Should Spinal Surgery Be Considered for Spinal Metastasis from Non-Small Cell Lung Cancer?—Propensity Score Matched Study between Surgery with Radiotherapy and Radiotherapy Alone
Abstract
1. Introduction
2. Materials and Methods
2.1. Propensity Score-Matched Cohort
2.2. Procedures of Surgery and Radiotherapy
2.3. Outcome Measurements
2.4. Statistical Analyses
3. Results
3.1. Patients Undergoing Spinal Surgery for Metastatic NSCLC
3.2. The Comparison between the Surgery with Radiotherapy and Radiotherapy Alone
3.3. Analysis of Risk Factors for the Patient’s Survival
4. Discussion
5. Conclusions
Author Contributions
Funding
Institutional Review Board Statement
Informed Consent Statement
Data Availability Statement
Conflicts of Interest
References
- Bailar, J.C., 3rd; Gornik, H.L. Cancer undefeated. N. Engl. J. Med. 1997, 336, 1569–1574. [Google Scholar] [CrossRef]
- Hong, S.H.; Chang, B.S.; Kim, H.; Kang, D.H.; Chang, S.Y. An Updated Review on the Treatment Strategy for Spinal Metastasis from the Spine Surgeon’s Perspective. Asian Spine J. 2022, 16, 799–811. [Google Scholar] [CrossRef]
- Park, S.J.; Park, J.S.; Lee, C.S.; Kang, B.J.; Jung, C.W. Trends in Survival and Surgical Methods in Patients Surgically Treated for Metastatic Spinal Tumors: 25-Year Experience in a Single Institution. Clin. Orthop. Surg. 2023, 15, 109–117. [Google Scholar] [CrossRef]
- Aebi, M. Spinal metastasis in the elderly. Eur. Spine J. 2003, 12 (Suppl. S2), S202–S213. [Google Scholar] [CrossRef]
- Hong, J.Y.; Song, K.S.; Cho, J.H.; Lee, J.H.; Kim, N.H. An Updated Overview of Low Back Pain Management. Asian Spine J. 2022, 16, 968–982. [Google Scholar] [CrossRef]
- Patchell, R.A.; Tibbs, P.A.; Regine, W.F.; Payne, R.; Saris, S.; Kryscio, R.J.; Mohiuddin, M.; Young, B. Direct decompressive surgical resection in the treatment of spinal cord compression caused by metastatic cancer: A randomised trial. Lancet 2005, 366, 643–648. [Google Scholar] [CrossRef]
- Lee, C.H.; Kwon, J.W.; Lee, J.; Hyun, S.J.; Kim, K.J.; Jahng, T.A.; Kim, H.J. Direct decompressive surgery followed by radiotherapy versus radiotherapy alone for metastatic epidural spinal cord compression: A meta-analysis. Spine 2014, 39, E587–E592. [Google Scholar] [CrossRef]
- Chen, B.; Xiao, S.; Tong, X.; Xu, S.; Lin, X. Comparison of the Therapeutic Efficacy of Surgery with or without Adjuvant Radiotherapy versus Radiotherapy Alone for Metastatic Spinal Cord Compression: A Meta-Analysis. World Neurosurg. 2015, 83, 1066–1073. [Google Scholar] [CrossRef]
- Choi, D.; Crockard, A.; Bunger, C.; Harms, J.; Kawahara, N.; Mazel, C.; Melcher, R.; Tomita, K.; Global Spine Tumour Study Group. Review of metastatic spine tumour classification and indications for surgery: The consensus statement of the Global Spine Tumour Study Group. Eur. Spine J. 2010, 19, 215–222. [Google Scholar] [CrossRef]
- Lee, Y.T.; Tan, Y.J.; Oon, C.E. Molecular targeted therapy: Treating cancer with specificity. Eur. J. Pharmacol. 2018, 834, 188–196. [Google Scholar] [CrossRef]
- Goodwin, C.R.; Abu-Bonsrah, N.; Rhines, L.D.; Verlaan, J.J.; Bilsky, M.H.; Laufer, I.; Boriani, S.; Sciubba, D.M.; Bettegowda, C. Molecular Markers and Targeted Therapeutics in Metastatic Tumors of the Spine: Changing the Treatment Paradigms. Spine 2016, 41 (Suppl. S20), S218–S223. [Google Scholar] [CrossRef]
- Batista, N.; Tee, J.; Sciubba, D.; Sahgal, A.; Laufer, I.; Weber, M.; Gokaslan, Z.; Rhines, L.; Fehlings, M.; Patel, S.; et al. Emerging and established clinical, histopathological and molecular parametric prognostic factors for metastatic spine disease secondary to lung cancer: Helping surgeons make decisions. J. Clin. Neurosci. 2016, 34, 15–22. [Google Scholar] [CrossRef]
- Kim, G.U.; Park, W.T.; Chang, M.C.; Lee, G.W. Diagnostic Technology for Spine Pathology. Asian Spine J. 2022, 16, 764–775. [Google Scholar] [CrossRef]
- Tokuhashi, Y.; Matsuzaki, H.; Oda, H.; Oshima, M.; Ryu, J. A revised scoring system for preoperative evaluation of metastatic spine tumor prognosis. Spine 2005, 30, 2186–2191. [Google Scholar] [CrossRef]
- Fisher, C.G.; DiPaola, C.P.; Ryken, T.C.; Bilsky, M.H.; Shaffrey, C.I.; Berven, S.H.; Harrop, J.S.; Fehlings, M.G.; Boriani, S.; Chou, D.; et al. A novel classification system for spinal instability in neoplastic disease: An evidence-based approach and expert consensus from the Spine Oncology Study Group. Spine 2010, 35, E1221–E1229. [Google Scholar] [CrossRef]
- Chanplakorn, P.; Budsayavilaimas, C.; Jaipanya, P.; Kraiwattanapong, C.; Keorochana, G.; Leelapattana, P.; Lertudomphonwanit, T. Validation of Traditional Prognosis Scoring Systems and Skeletal Oncology Research Group Nomogram for Predicting Survival of Spinal Metastasis Patients Undergoing Surgery. Clin. Orthop. Surg. 2022, 14, 548–556. [Google Scholar] [CrossRef]
- Kim, Y.H.; Ha, K.Y.; Kim, Y.S.; Kim, K.W.; Rhyu, K.W.; Park, J.B.; Shin, J.H.; Kim, Y.Y.; Lee, J.S.; Park, H.Y.; et al. Lumbar Interbody Fusion and Osteobiologics for Lumbar Fusion. Asian Spine J. 2022, 16, 1022–1033. [Google Scholar] [CrossRef]
- Hinojosa-Gonzalez, D.E.; Roblesgil-Medrano, A.; Villarreal-Espinosa, J.B.; Tellez-Garcia, E.; Bueno-Gutierrez, L.C.; Rodriguez-Barreda, J.R.; Flores-Villalba, E.; Martinez, H.R.; Benvenutti-Regato, M.; Figueroa-Sanchez, J.A. Minimally Invasive versus Open Surgery for Spinal Metastasis: A Systematic Review and Meta-Analysis. Asian Spine J. 2022, 16, 583–597. [Google Scholar] [CrossRef]
- Gong, Y.; Wang, J.; Bai, S.; Jiang, X.; Xu, F. Conventionally-fractionated image-guided intensity modulated radiotherapy (IG-IMRT): A safe and effective treatment for cancer spinal metastasis. Radiat. Oncol. 2008, 3, 11. [Google Scholar] [CrossRef]
- Frankel, H.L.; Hancock, D.O.; Hyslop, G.; Melzak, J.; Michaelis, L.S.; Ungar, G.H.; Vernon, J.D.; Walsh, J.J. The value of postural reduction in the initial management of closed injuries of the spine with paraplegia and tetraplegia. I. Paraplegia 1969, 7, 179–192. [Google Scholar] [CrossRef]
- Oken, M.M.; Creech, R.H.; Tormey, D.C.; Horton, J.; Davis, T.E.; McFadden, E.T.; Carbone, P.P. Toxicity and response criteria of the Eastern Cooperative Oncology Group. Am. J. Clin. Oncol. 1982, 5, 649–655. [Google Scholar] [CrossRef]
- Paez, J.G.; Janne, P.A.; Lee, J.C.; Tracy, S.; Greulich, H.; Gabriel, S.; Herman, P.; Kaye, F.J.; Lindeman, N.; Boggon, T.J.; et al. EGFR mutations in lung cancer: Correlation with clinical response to gefitinib therapy. Science 2004, 304, 1497–1500. [Google Scholar] [CrossRef] [PubMed]
- Soda, M.; Choi, Y.L.; Enomoto, M.; Takada, S.; Yamashita, Y.; Ishikawa, S.; Fujiwara, S.; Watanabe, H.; Kurashina, K.; Hatanaka, H.; et al. Identification of the transforming EML4-ALK fusion gene in non-small-cell lung cancer. Nature 2007, 448, 561–566. [Google Scholar] [CrossRef] [PubMed]
- Young, R.F.; Post, E.M.; King, G.A. Treatment of spinal epidural metastases. Randomized prospective comparison of laminectomy and radiotherapy. J. Neurosurg. 1980, 53, 741–748. [Google Scholar] [CrossRef]
- Tomita, K.; Kawahara, N.; Kobayashi, T.; Yoshida, A.; Murakami, H.; Akamaru, T. Surgical strategy for spinal metastases. Spine 2001, 26, 298–306. [Google Scholar] [CrossRef]
- Choi, J.Y.; Park, S.M.; Kim, H.J.; Yeom, J.S. Recent Updates on Minimally Invasive Spine Surgery: Techniques, Technologies, and Indications. Asian Spine J. 2022, 16, 1013–1021. [Google Scholar] [CrossRef]
- Zhang, C.; Wang, G.; Han, X.; Ren, Z.; Duo, J. Comparison of the therapeutic effects of surgery combined with postoperative radiotherapy and standalone radiotherapy in treating spinal metastases of lung cancer. Clin. Neurol. Neurosurg. 2016, 141, 38–42. [Google Scholar] [CrossRef]
- Park, H.Y.; Kim, Y.H.; Ahn, J.H.; Ha, K.Y.; Kim, S.I.; Jung, J.W. Unstable Pathologic Vertebral Fractures in Multiple Myeloma: Propensity Score Matched Cohort Study between Reconstructive Surgery with Adjuvant Radiotherapy and Radiotherapy Alone. J. Korean Neurosurg. Soc. 2022, 65, 287–296. [Google Scholar] [CrossRef]
- Lee, J.; Rhee, W.J.; Chang, J.S.; Chang, S.K.; Koom, W.S. Evaluation of predictive factors of vertebral compression fracture after conventional palliative radiotherapy for spinal metastasis from colorectal cancer. J. Neurosurg. Spine 2018, 28, 333–340. [Google Scholar] [CrossRef]
- Jang, H.D.; Kim, E.H.; Lee, J.C.; Choi, S.W.; Kim, H.S.; Cha, J.S.; Shin, B.J. Management of Osteoporotic Vertebral Fracture: Review Update 2022. Asian Spine J. 2022, 16, 934–946. [Google Scholar] [CrossRef] [PubMed]
- Roth, J.A.; Fossella, F.; Komaki, R.; Ryan, M.B.; Putnam, J.B., Jr.; Lee, J.S.; Dhingra, H.; De Caro, L.; Chasen, M.; McGavran, M.; et al. A randomized trial comparing perioperative chemotherapy and surgery with surgery alone in resectable stage IIIA non-small-cell lung cancer. J. Natl. Cancer Inst. 1994, 86, 673–680. [Google Scholar] [CrossRef]
- Le Chevalier, T.; Arriagada, R.; Quoix, E.; Ruffie, P.; Martin, M.; Tarayre, M.; Lacombe-Terrier, M.J.; Douillard, J.Y.; Laplanche, A. Radiotherapy alone versus combined chemotherapy and radiotherapy in nonresectable non-small-cell lung cancer: First analysis of a randomized trial in 353 patients. J. Natl. Cancer Inst. 1991, 83, 417–423. [Google Scholar] [CrossRef] [PubMed]
- Rosell, R.; Carcereny, E.; Gervais, R.; Vergnenegre, A.; Massuti, B.; Felip, E.; Palmero, R.; Garcia-Gomez, R.; Pallares, C.; Sanchez, J.M.; et al. Erlotinib versus standard chemotherapy as first-line treatment for European patients with advanced EGFR mutation-positive non-small-cell lung cancer (EURTAC): A multicentre, open-label, randomised phase 3 trial. Lancet Oncol. 2012, 13, 239–246. [Google Scholar] [CrossRef]
- Tan, P.S.; Lopes, G.; Acharyya, S.; Bilger, M.; Haaland, B. Bayesian network meta-comparison of maintenance treatments for stage IIIb/IV non-small-cell lung cancer (NSCLC) patients with good performance status not progressing after first-line induction chemotherapy: Results by performance status, EGFR mutation, histology and response to previous induction. Eur. J. Cancer 2015, 51, 2330–2344. [Google Scholar] [PubMed]
- Kim, H.; Chang, S.Y.; Son, J.; Mok, S.; Park, S.C.; Chang, B.S. The Effect of Adding Biological Factors to the Decision-Making Process for Spinal Metastasis of Non-Small Cell Lung Cancer. J. Clin. Med. 2021, 10, 1119. [Google Scholar] [CrossRef] [PubMed]
- Chawla, S.; Schell, M.C.; Milano, M.T. Stereotactic body radiation for the spine: A review. Am. J. Clin. Oncol. 2013, 36, 630–636. [Google Scholar] [CrossRef]




| Surgery + RT | RT Alone | p-Value | |
|---|---|---|---|
| Number of patients | 22 | 22 | |
| Age | 64.1 ± 11.4 | 63.9 ± 10.0 | 0.944 |
| Sex (Male) | 13 (59.1%) | 15 (68.2%) | 0.531 |
| Tokuhashi score | 5.4 ± 2.2 | 5.0 ± 1.8 | 0.549 |
| SINS | 9.6 ± 2.2 | 10.1 ± 2.7 | 0.541 |
| BMD | −2.6 ± 0.1 | −2.7 ± 0.1 | 0.848 |
| EGFR or ALK mutation | 10 (45.5%) | 7 (31.8%) | 0.353 |
| Smoking (pack-year) | 13.0 ± 20.0 | 13.3 ± 19.9 | 0.958 |
| Initial | |||
| Ambulation | 16 (72.7%) | 21 (95.5%) | 0.039 |
| Frankel grade (A, B, C) | 6 (27.3%) | 1 (4.5%) | 0.039 |
| ECOG-PS (0, 1, 2) | 16 (72.7%) | 21 (95.5%) | 0.039 |
| Last follow up | |||
| Ambulation | 18 (81.8%) | 17 (77.3%) | 1.000 |
| Frankel grade (A, B, C) | 2 (9.1%) | 2 (9.1%) | 1.000 |
| ECOG-PS (0, 1, 2) | 15 (68.2%) | 16 (72.7%) | 0.741 |
| Follow-up period (months) | 12.3 ± 11.8 (0–35) | 11.3 ± 14.7 (0–51) | 0.813 |
| Parameters | Group I (Surgery + RT, n = 22) | Group II (RT Alone, n = 22) | p-Value | |||||||||
|---|---|---|---|---|---|---|---|---|---|---|---|---|
| Frankel Grade (Last F/U) | ||||||||||||
| A | B | C | D | E | A | B | C | D | E | |||
| Frankel grade (initial) | A | |||||||||||
| B | 2 | |||||||||||
| C | 2 | 2 | 1 | |||||||||
| D | 2 | 1 | 1 | 1 | ||||||||
| E | 13 | 3 | 16 | |||||||||
| Deterioration | ||||||||||||
| Ambulation | 3 (13.6%) | 4 (18.2%) | 1.000 | |||||||||
| Frankel grade | 0 (0%) | 5 (22.7%) | 0.018 | |||||||||
| ECOG-PS | 7 (31.8%) | 6 (27.3%) | 0.741 | |||||||||
| Number of Patients | Median Survival (95% CI) | p-Value (log-Rank) | |
|---|---|---|---|
| Treatment | |||
| Surgery + RT | 22 | 19.0 (0.0–41.3) | 0.790 |
| RT alone | 22 | 8.0 (0.0–22.9) | |
| Sex | |||
| Male | 28 | 7.0 (1.2–12.7) | 0.280 |
| Female | 16 | 19.0 (1.1–36.9) | |
| Age | |||
| ≥60 years | 22 | 8.0 (0.0–22.9) | 0.790 |
| <60 years | 22 | 19.0 (0.0–41.3) | |
| Smoking history | |||
| ≥10 pack-year | 17 | 5.0 (3.1–6.8) | 0.005 |
| <10 pack-year | 27 | 36.0 (11.6–60.4) | |
| ECOG-PS (initial) | |||
| 0–2 | 37 | 11.0 (0.0–27.9) | 0.999 |
| 3–4 | 7 | 36.0 (-) | |
| ECOG-PS (last F/U) | |||
| 0–2 | 31 | 21.0 (13.6–28.4) | 0.000 |
| 3–4 | 13 | 3.0 (1.6–4.4) | |
| Ambulatory status (initial) | |||
| Ambulatory | 37 | 11.0 (0.0–27.9) | 0.999 |
| Non-ambulatory | 7 | 36.0 (-) | |
| Ambulatory status (last F/U) | |||
| Ambulatory | 35 | 19.0 (4.9–33.1) | 0.002 |
| Non-ambulatory | 9 | 2.0 (0.0–4.9) | |
| Frankel grade (initial) | |||
| D, E | 37 | 36.0 (–) | 0.999 |
| A, B, C | 7 | 11.0 (0.0–27.9) | |
| Frankel grade (last F/U) | |||
| D, E | 40 | 17.0 (2.3–31.7) | 0.237 |
| A, B, C | 4 | 3.0 (0.5–5.5) | |
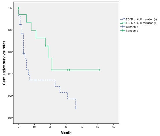
| EGFR or ALK mutation | |||
| Yes | 17 | 21.0 (15.5–26.5) | 0.042 |
| No | 27 | 5.0 (2.1–7.8) |
| Odds Ratio | 95% CI | p-Value | |
|---|---|---|---|
| Smoking history | |||
| ≥10 pack-year | 12.18 | 2.13–69.7 | 0.005 |
| <10 pack-year | - | ||
| ECOG-PS (last F/U) | |||
| 0–2 | - | 0.037 | |
| 3–4 | 6.86 | 1.12–42.12 | |
| Ambulatory status (last F/U) | |||
| Ambulatory | - | 0.456 | |
| Non-ambulatory | 3.58 | 0.13–102.5 | |
| EGFR or ALK mutation | |||
| Yes | - | 0.05 | |
| No | 3.39 | 0.95–12.1 |
Disclaimer/Publisher’s Note: The statements, opinions and data contained in all publications are solely those of the individual author(s) and contributor(s) and not of MDPI and/or the editor(s). MDPI and/or the editor(s) disclaim responsibility for any injury to people or property resulting from any ideas, methods, instructions or products referred to in the content. |
© 2023 by the authors. Licensee MDPI, Basel, Switzerland. This article is an open access article distributed under the terms and conditions of the Creative Commons Attribution (CC BY) license (https://creativecommons.org/licenses/by/4.0/).
Share and Cite
Park, H.-Y.; Ha, K.-Y.; Kim, S.-I.; Kim, Y.-S.; Joh, Y.; Kim, Y.-H. When Should Spinal Surgery Be Considered for Spinal Metastasis from Non-Small Cell Lung Cancer?—Propensity Score Matched Study between Surgery with Radiotherapy and Radiotherapy Alone. J. Clin. Med. 2023, 12, 4683. https://doi.org/10.3390/jcm12144683
Park H-Y, Ha K-Y, Kim S-I, Kim Y-S, Joh Y, Kim Y-H. When Should Spinal Surgery Be Considered for Spinal Metastasis from Non-Small Cell Lung Cancer?—Propensity Score Matched Study between Surgery with Radiotherapy and Radiotherapy Alone. Journal of Clinical Medicine. 2023; 12(14):4683. https://doi.org/10.3390/jcm12144683
Chicago/Turabian StylePark, Hyung-Youl, Kee-Yong Ha, Sang-Il Kim, Yeon-Sil Kim, Yongwon Joh, and Young-Hoon Kim. 2023. "When Should Spinal Surgery Be Considered for Spinal Metastasis from Non-Small Cell Lung Cancer?—Propensity Score Matched Study between Surgery with Radiotherapy and Radiotherapy Alone" Journal of Clinical Medicine 12, no. 14: 4683. https://doi.org/10.3390/jcm12144683
APA StylePark, H.-Y., Ha, K.-Y., Kim, S.-I., Kim, Y.-S., Joh, Y., & Kim, Y.-H. (2023). When Should Spinal Surgery Be Considered for Spinal Metastasis from Non-Small Cell Lung Cancer?—Propensity Score Matched Study between Surgery with Radiotherapy and Radiotherapy Alone. Journal of Clinical Medicine, 12(14), 4683. https://doi.org/10.3390/jcm12144683

