Comparison of Prognostic Performance between Procalcitonin and Procalcitonin-to-Albumin Ratio in Post Cardiac Arrest Syndrome
Abstract
1. Introduction
2. Materials and Methods
2.1. Study Population and Setting
2.2. Laboratory Measurements
2.3. Assessment of Clinical Outcomes
2.4. Statistical Analysis
3. Results
3.1. Basal Characteristics of the Study Populations
3.2. Comparison of PCT, ALB, and PAR According to 1m-mortality and 1m-CPC
3.3. Univariable and Multivariable Logistic Regression Analysis for Prediction of 1m-CPC and 1m-mortality
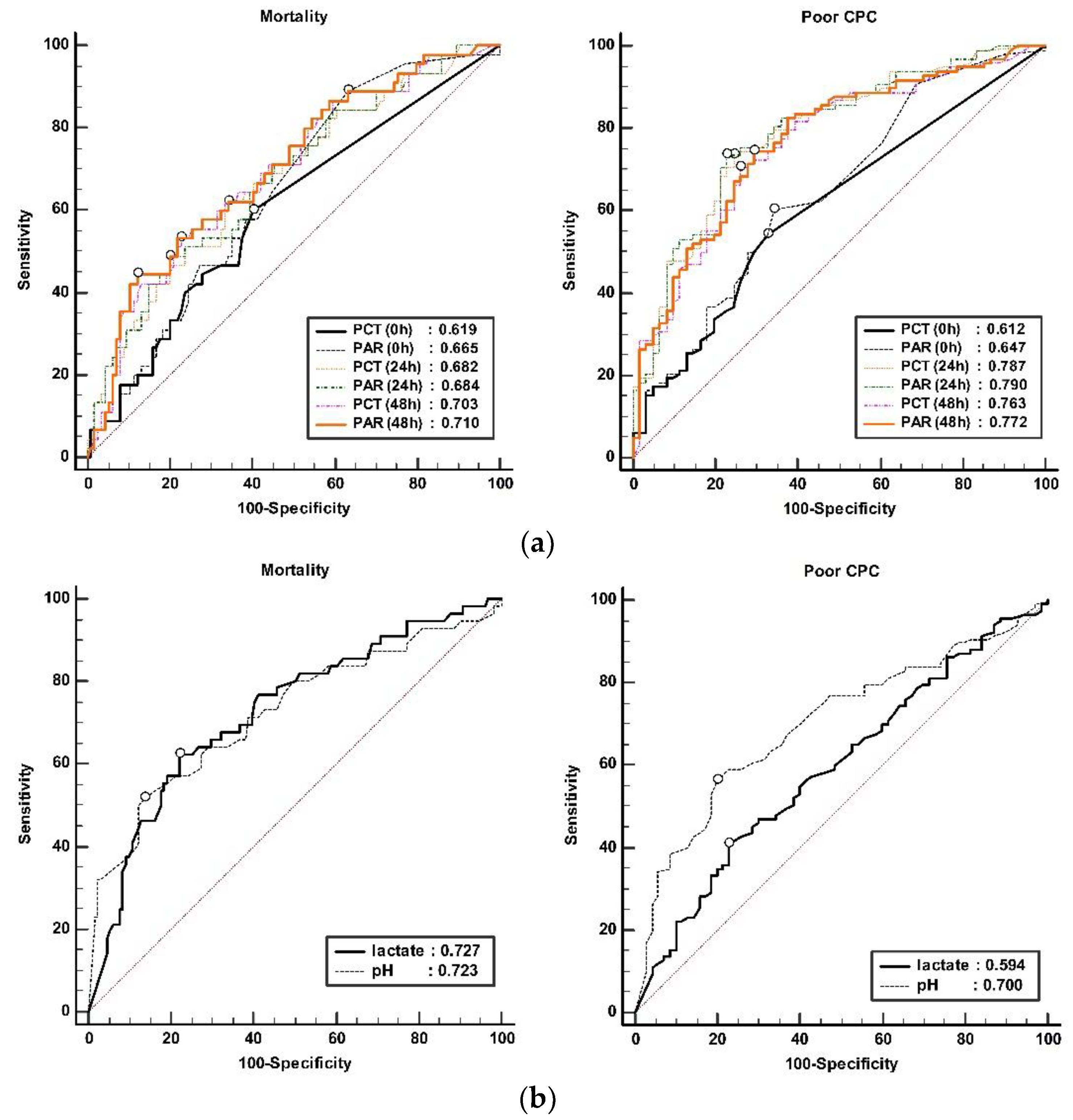
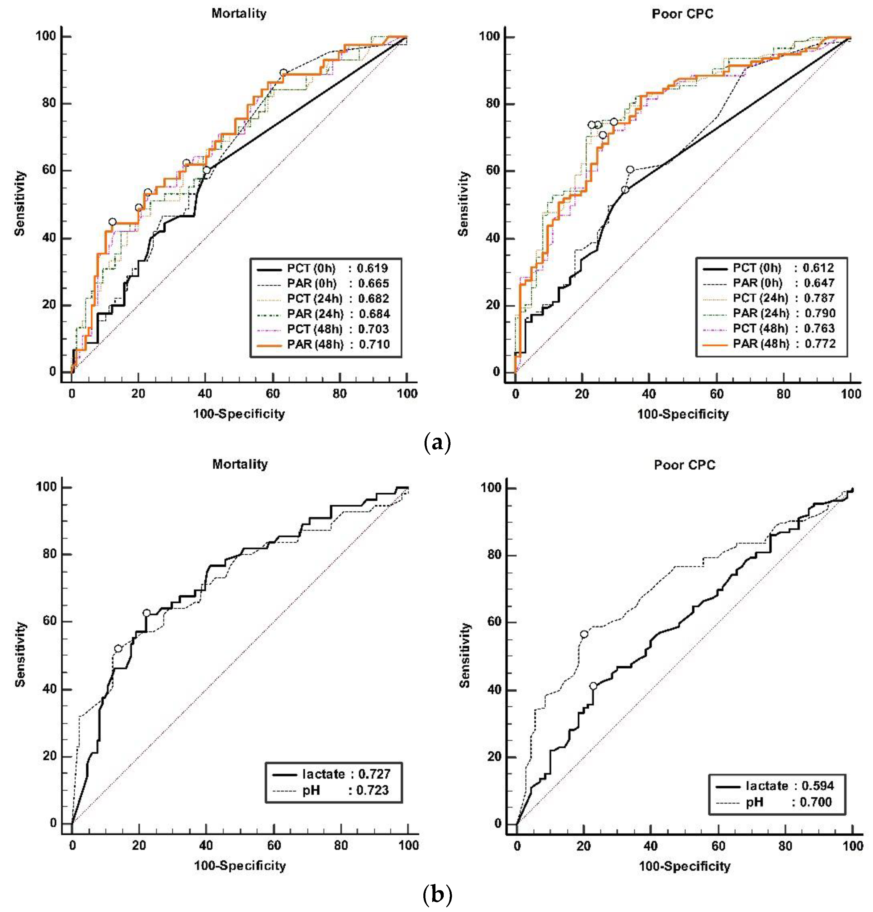
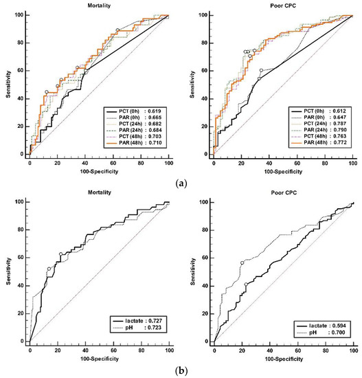
3.4. ROC Analysis for Prediction of 1m-mortality and 1m-CPC
4. Discussion
4.1. The Importance of Predicting the Prognosis of PCAS
4.2. Serum ALB, PCT, PAR as a Prognostic Factor of PCAS
4.3. Limitation
5. Conclusions
Author Contributions
Funding
Institutional Review Board Statement
Informed Consent Statement
Data Availability Statement
Acknowledgments
Conflicts of Interest
References
- Du, L.; Zheng, K.; Feng, L.; Cao, Y.; Niu, Z.; Song, Z.; Liu, Z.; Liu, X.; Xiang, X.; Zhou, Q.; et al. The first national survey on practices of neurological prognostication after cardiac arrest in China, still a lot to do. Int. J. Clin. Pract. 2021, 75, e13759. [Google Scholar] [CrossRef]
- Nolan, J.P.; Neumar, R.W.; Adrie, C.; Aibiki, M.; Berg, R.A.; Böttiger, B.W.; Callaway, C.; Clark, R.S.; Geocadin, R.G.; Jauch, E.C.; et al. Post-cardiac arrest syndrome: Epidemiology, pathophysiology, treatment, and prognostication: A Scientific Statement from the International Liaison Committee on Resuscitation; the American Heart Association Emergency Cardiovascular Care Committee; the Council on Cardiovascular Surgery and Anesthesia; the Council on Cardiopulmonary, Perioperative, and Critical Care; the Council on Clinical Cardiology; the Council on Stroke. Resuscitation 2008, 79, 350–379. [Google Scholar] [CrossRef]
- Penna, A.; Magliocca, A.; Merigo, G.; Stirparo, G.; Silvestri, I.; Fumagalli, F.; Ristagno, G. One-Year Review in Cardiac Arrest: The 2022 Randomized Controlled Trials. J. Clin. Med. 2023, 12, 2235. [Google Scholar] [CrossRef] [PubMed]
- Widgerow, A.D. Ischemia-reperfusion injury: Influencing the microcirculatory and cellular environment. Ann. Plast. Surg. 2014, 72, 253–260. [Google Scholar] [CrossRef]
- Toftgaard Pedersen, A.; Kjaergaard, J.; Hassager, C.; Frydland, M.; Hartvig Thomsen, J.; Klein, A.; Schmidt, H.; Møller, J.E.; Wiberg, S. Association between inflammatory markers and survival in comatose, resuscitated out-of-hospital cardiac arrest patients. Scand. Cardiovasc. J. 2022, 56, 85–90. [Google Scholar] [CrossRef]
- Wijdicks, E.F.; Hijdra, A.; Young, G.B.; Bassetti, C.L.; Wiebe, S. Practice parameter: Prediction of outcome in comatose survivors after cardiopulmonary resuscitation (an evidence-based review): Report of the Quality Standards Subcommittee of the American Academy of Neurology. Neurology 2006, 67, 203–210. [Google Scholar] [CrossRef] [PubMed]
- Annborn, M.; Nilsson, F.; Dankiewicz, J.; Rundgren, M.; Hertel, S.; Struck, J.; Cronberg, T.; Nielsen, N. The Combination of Biomarkers for Prognostication of Long-Term Outcome in Patients Treated with Mild Hypothermia After Out-of-Hospital Cardiac Arrest-A Pilot Study. Ther. Hypothermia Temp. Manag. 2016, 6, 85–90. [Google Scholar] [CrossRef] [PubMed]
- Annborn, M.; Dankiewicz, J.; Erlinge, D.; Hertel, S.; Rundgren, M.; Smith, J.G.; Struck, J.; Friberg, H. Procalcitonin after cardiac arrest—An indicator of severity of illness, ischemia-reperfusion injury and outcome. Resuscitation 2013, 84, 782–787. [Google Scholar] [CrossRef]
- Meisner, M. Pathobiochemistry and clinical use of procalcitonin. Clin. Chim. Acta 2002, 323, 17–29. [Google Scholar] [CrossRef]
- Lee, J.H.; Lee, D.H.; Lee, B.K.; Kim, D.K.; Ryu, S.J. Association Between Procalcitonin Level at 72 Hours After Cardiac Arrest and Neurological Outcomes in Cardiac Arrest Survivors. Ther. Hypothermia Temp. Manag. 2023, 13, 23–28. [Google Scholar] [CrossRef]
- Pekkarinen, P.T.; Ristagno, G.; Wilkman, E.; Masson, S.; Latini, R.; Laurikkala, J.; Bendel, S.; Ala-Kokko, T.; Varpula, T.; Vaahersalo, J.; et al. Procalcitonin and Presepsin as Prognostic Markers after Out-of-Hospital Cardiac Arrest. Shock 2018, 50, 395–400. [Google Scholar] [CrossRef] [PubMed]
- Shin, H.; Kim, J.G.; Kim, W.; Lim, T.H.; Jang, B.H.; Cho, Y.; Choi, K.S.; Ahn, C.; Lee, J.; Na, M.K. Procalcitonin as a prognostic marker for outcomes in post-cardiac arrest patients: A systematic review and meta-analysis. Resuscitation 2019, 138, 160–167. [Google Scholar] [CrossRef]
- Jang, J.H.; Park, W.B.; Lim, Y.S.; Choi, J.Y.; Cho, J.S.; Woo, J.H.; Choi, W.S.; Yang, H.J.; Hyun, S.Y. Combination of S100B and procalcitonin improves prognostic performance compared to either alone in patients with cardiac arrest: A prospective observational study. Medicine 2019, 98, e14496. [Google Scholar] [CrossRef]
- Engel, H.; Ben Hamouda, N.; Portmann, K.; Delodder, F.; Suys, T.; Feihl, F.; Eggimann, P.; Rossetti, A.O.; Oddo, M. Serum procalcitonin as a marker of post-cardiac arrest syndrome and long-term neurological recovery, but not of early-onset infections, in comatose post-anoxic patients treated with therapeutic hypothermia. Resuscitation 2013, 84, 776–781. [Google Scholar] [CrossRef]
- Isenschmid, C.; Kalt, J.; Gamp, M.; Tondorf, T.; Becker, C.; Tisljar, K.; Locher, S.; Schuetz, P.; Marsch, S.; Hunziker, S. Routine blood markers from different biological pathways improve early risk stratification in cardiac arrest patients: Results from the prospective, observational COMMUNICATE study. Resuscitation 2018, 130, 138–145. [Google Scholar] [CrossRef] [PubMed]
- Adib-Conquy, M.; Monchi, M.; Goulenok, C.; Laurent, I.; Thuong, M.; Cavaillon, J.M.; Adrie, C. Increased plasma levels of soluble triggering receptor expressed on myeloid cells 1 and procalcitonin after cardiac surgery and cardiac arrest without infection. Shock 2007, 28, 406–410. [Google Scholar] [CrossRef]
- Deng, S.; Gao, J.; Zhao, Z.; Tian, M.; Li, Y.; Gong, Y. Albumin/Procalcitonin Ratio Is a Sensitive Early Marker of Nosocomial Blood Stream Infection in Patients with Intra-Cerebral Hemorrhage. Surg. Infect. 2019, 20, 643–649. [Google Scholar] [CrossRef]
- Arques, S. Human serum albumin in cardiovascular diseases. Eur. J. Intern. Med. 2018, 52, 8–12. [Google Scholar] [CrossRef]
- Matsuyama, T.; Iwami, T.; Yamada, T.; Hayakawa, K.; Yoshiya, K.; Irisawa, T.; Abe, Y.; Nishimura, T.; Uejima, T.; Ohishi, Y.; et al. Effect of Serum Albumin Concentration on Neurological Outcome After Out-of-Hospital Cardiac Arrest (from the CRITICAL [Comprehensive Registry of Intensive Cares for OHCA Survival] Study in Osaka, Japan). Am. J. Cardiol. 2018, 121, 156–161. [Google Scholar] [CrossRef]
- Nicholson, J.P.; Wolmarans, M.R.; Park, G.R. The role of albumin in critical illness. Br. J. Anaesth. 2000, 85, 599–610. [Google Scholar] [CrossRef] [PubMed]
- Kim, H.H.; Lee, J.H.; Lee, D.H.; Lee, B.K. Association between C-reactive protein-to-albumin ratio and 6-month mortality in out-of-hospital cardiac arrest. Acute Crit. Care 2022, 37, 601–609. [Google Scholar] [CrossRef]
- Li, J.; Li, C.; Yuan, W.; Wu, J.; Li, J.; Li, Z.; Zhao, Y. Mild hypothermia alleviates brain oedema and blood-brain barrier disruption by attenuating tight junction and adherens junction breakdown in a swine model of cardiopulmonary resuscitation. PLoS ONE 2017, 12, e0174596. [Google Scholar] [CrossRef] [PubMed]
- Park, J.E.; Chung, K.S.; Song, J.H.; Kim, S.Y.; Kim, E.Y.; Jung, J.Y.; Kang, Y.A.; Park, M.S.; Kim, Y.S.; Chang, J.; et al. The C-Reactive Protein/Albumin Ratio as a Predictor of Mortality in Critically Ill Patients. J. Clin. Med. 2018, 7, 333. [Google Scholar] [CrossRef]
- Ranzani, O.T.; Zampieri, F.G.; Forte, D.N.; Azevedo, L.C.; Park, M. C-reactive protein/albumin ratio predicts 90-day mortality of septic patients. PLoS ONE 2013, 8, e59321. [Google Scholar] [CrossRef]
- Luo, X.; Yang, X.; Li, J.; Zou, G.; Lin, Y.; Qing, G.; Yang, R.; Yao, W.; Ye, X. The procalcitonin/albumin ratio as an early diagnostic predictor in discriminating urosepsis from patients with febrile urinary tract infection. Medicine 2018, 97, e11078. [Google Scholar] [CrossRef]
- Wang, X.; Jing, M.; Li, L.; Xu, Q. The Prognostic Value of Procalcitonin Clearance and Procalcitonin to Albumin Ratio in Sepsis Patients. Clin. Lab. 2023, 69, 565–570. [Google Scholar] [CrossRef] [PubMed]
- Kong, T.; Chung, S.P.; Lee, H.S.; Kim, S.; Lee, J.; Hwang, S.O.; Shin, S.D.; Song, K.J.; Cha, K.C.; You, J.S. The Prognostic Usefulness of the Lactate/Albumin Ratio for Predicting Clinical Outcomes in Out-of-Hospital Cardiac Arrest: A Prospective, Multicenter Observational Study (koCARC) Study. Shock 2020, 53, 442–451. [Google Scholar] [CrossRef] [PubMed]
- Çakırca, T.D.; Çakırca, G.; Torun, A.; Bindal, A.; Üstünel, M.; Kaya, A. Comparing the predictive values of procalcitonin/albumin ratio and other inflammatory markers in determining COVID-19 severity. Pak. J. Med. Sci. 2023, 39, 450–455. [Google Scholar] [CrossRef]
- Sandroni, C.; Cariou, A.; Cavallaro, F.; Cronberg, T.; Friberg, H.; Hoedemaekers, C.; Horn, J.; Nolan, J.P.; Rossetti, A.O.; Soar, J. Prognostication in comatose survivors of cardiac arrest: An advisory statement from the European Resuscitation Council and the European Society of Intensive Care Medicine. Intensive Care Med. 2014, 40, 1816–1831. [Google Scholar] [CrossRef]
- Scolletta, S.; Donadello, K.; Santonocito, C.; Franchi, F.; Taccone, F.S. Biomarkers as predictors of outcome after cardiac arrest. Expert Rev. Clin. Pharmacol. 2012, 5, 687–699. [Google Scholar] [CrossRef]
- Oddo, M.; Rossetti, A.O. Predicting neurological outcome after cardiac arrest. Curr. Opin. Crit. Care 2011, 17, 254–259. [Google Scholar] [CrossRef] [PubMed]
- Amnuaypattanapon, K.; Thanachartwet, V.; Desakorn, V.; Chamnanchanunt, S.; Pukrittayakamee, S.; Sahassananda, D.; Wattanathum, A. Predictive model of return of spontaneous circulation among patients with out-of-hospital cardiac arrest in Thailand: The WATCH-CPR Score. Int. J. Clin. Pract. 2020, 74, e13502. [Google Scholar] [CrossRef] [PubMed]
- El-Seify, M.; Shata, M.O.; Salaheldin, S.; Bawady, S.; Rezk, A.R. Evaluation of Serum Biomarkers and Electroencephalogram to Determine Survival Outcomes in Pediatric Post-Cardiac-Arrest Patients. Children 2023, 10, 180. [Google Scholar] [CrossRef]
- Lee, H.; Lee, J.; Shin, H.; Lim, T.H.; Jang, B.H.; Cho, Y.; Kim, W.; Kim, J.G.; Choi, K.S.; Na, M.K.; et al. Association between Early Phase Serum Albumin Levels and Outcomes of Post-Cardiac Arrest Patients: A Systematic Review and Meta-Analysis. J. Pers. Med. 2022, 12, 1787. [Google Scholar] [CrossRef] [PubMed]
- Kim, S.H.; Youn, C.S.; Kim, H.J.; Choi, S.P. Prognostic Value of Serum Albumin at Admission for Neurologic Outcome with Targeted Temperature Management after Cardiac Arrest. Emerg. Med. Int. 2019, 2019, 6132542. [Google Scholar] [CrossRef] [PubMed]
- You, Y.; Park, J.; Min, J.; Yoo, I.; Jeong, W.; Cho, Y.; Ryu, S.; Lee, J.; Kim, S.; Cho, S.; et al. Relationship between time related serum albumin concentration, optic nerve sheath diameter, cerebrospinal fluid pressure, and neurological prognosis in cardiac arrest survivors. Resuscitation 2018, 131, 42–47. [Google Scholar] [CrossRef]
- Becker, K.L.; Snider, R.; Nylen, E.S. Procalcitonin in sepsis and systemic inflammation: A harmful biomarker and a therapeutic target. Br. J. Pharmacol. 2010, 159, 253–264. [Google Scholar] [CrossRef]
- Krzych, Ł.J.; Gołąb, K.; Pstraś, J.; Knapik, P. Predicting outcome after cardiac arrest with serum S-100B protein and procalcitonin: A prospective observational study. Eur. J. Anaesthesiol. 2017, 34, 846–848. [Google Scholar] [CrossRef]
- Oppert, M.; Reinicke, A.; Müller, C.; Barckow, D.; Frei, U.; Eckardt, K.U. Elevations in procalcitonin but not C-reactive protein are associated with pneumonia after cardiopulmonary resuscitation. Resuscitation 2002, 53, 167–170. [Google Scholar] [CrossRef]
- Meisner, M. Update on procalcitonin measurements. Ann. Lab. Med. 2014, 34, 263–273. [Google Scholar] [CrossRef]
- Momiyama, Y.; Yamada, W.; Miyata, K.; Miura, K.; Fukuda, T.; Fuse, J.; Kikuno, T. Prognostic values of blood pH and lactate levels in patients resuscitated from out-of-hospital cardiac arrest. Acute Med. Surg. 2017, 4, 25–30. [Google Scholar] [CrossRef] [PubMed]
- Lin, C.H.; Yu, S.H.; Chen, C.Y.; Huang, F.W.; Chen, W.K.; Shih, H.M. Early blood pH as an independent predictor of neurological outcome in patients with out-of-hospital cardiac arrest: A retrospective observational study. Medicine 2021, 100, e25724. [Google Scholar] [CrossRef] [PubMed]
- Fernando, S.M.; Di Santo, P.; Sadeghirad, B.; Lascarrou, J.B.; Rochwerg, B.; Mathew, R.; Sekhon, M.S.; Munshi, L.; Fan, E.; Brodie, D.; et al. Targeted temperature management following out-of-hospital cardiac arrest: A systematic review and network meta-analysis of temperature targets. Intensive Care Med. 2021, 47, 1078–1088. [Google Scholar] [CrossRef] [PubMed]



| Variables | 1m-mortality | 1m-CPC | ||||
|---|---|---|---|---|---|---|
| Survivor (n = 131) | Non-Survivor (n = 56) | p Value | Good (n = 70) | Poor (n = 117) | p Value | |
| Sex, male (%) | 98 (52.4) | 37 (19.8) | 0.285 | 49 (26.2) | 86 (46.0) | 0.617 |
| Age (years) | 55 (44–64) | 58 (47–75) | 0.058 | 56 (44–63) | 57 (47–69) | 0.361 |
| Location of CA, Residence (%) | 66 (94.2) | 29 (51.8) | 0.001 | 34 (48.6) | 61 (52.1) | 0.517 |
| Bystander CPR (%) | 121 (92.4) | 45 (80.4) | <0.023 | 64 (91.4) | 102 (87.2) | 0.476 |
| Shockable rhythm (%) | 67 (51.1) | 8 (14.3) | <0.001 | 44 (62.9) | 31 (26.5) | <0.001 |
| Etiology of CA (%) | <0.001 | <0.001 | ||||
| Cardiac origin | 67 (51.1) | 10 (17.6) | 45 (64.3) | 32 (27.4) | ||
| Asphyxia | 10 (7.6) | 8 (14.3) | 5 (7.1) | 13 (11.1) | ||
| Other medical condition | 41 (31.3) | 27 (48.2) | 16 (22.9) | 52 (44.4) | ||
| Unknown | 13 (9.9) | 11 (19.6) | 4 (5.7) | 20 (17.1) | ||
| Collapse to ROSC (min) | 24 (16–33) | 32 (26–45.70) | <0.001 | 20 (12.75–29) | 30 (22–42.50) | <0.001 |
| Initial pH | 7.18 (7.03–7.28) | 6.96 (6.83–7.16) | <0.001 | 7.21 (7.09–7.30) | 7.05 (6.90–7.19) | <0.001 |
| Lactate at BL (mmol/L) | 7.60 (5.10-9.90) | 11.45 (8.02–13.45) | <0.001 | 7.60 (5.07–9.95) | 8.70 (6.30–12.10) | 0.031 |
| Variables | 1m-mortality | 1m-CPC | ||||
|---|---|---|---|---|---|---|
| Survivor (n = 131) | Non-Survivor (n = 56) | p Value | Good (n = 70) | Poor (n = 117) | p Value | |
| PCT0 (ng/mL) | 0.05 (0.05–0.13) | 0.09 (0.05–0.39) | 0.006 | 0.05 (0.05–0.11) | 0.06 (0.05–0.22) | <0.001 |
| ALB0 (g/dL) | 3.80 (3.50–4.10) | 3.45 (3.12–3.80) | <0.001 | 3.80 (3.50–4.20) | 3.60 (3.20–3.95) | 0.003 |
| PAR0 | 0.02 (0.01–0.03) | 0.03 (0.02–0.14) | <0.001 | 0.01 (0.01–0.03) | 0.02 (0.01–0.07) | <0.001 |
| PCT24 (ng/mL) | 1.65 (0.27–6.16) | 6.63 (1.48–31.49) | <0.001 | 0.64 (0.13–2.59) | 5.17 (1.79–18.59) | <0.001 |
| ALB24 (g/dL) | 3.50 (3.20–3.85) | 3.15 (2.72–3.58) | <0.001 | 3.60 (3.30–3.80) | 3.30 (2.90–3.60) | 0.001 |
| PAR24 | 0.48 (0.08–1.87) | 2.62 (0.40–10.52) | <0.001 | 0.18 (0.04–0.88) | 1.63 (0.41–6.00) | <0.001 |
| PCT48 (ng/mL) | 1.70 (0.29–8.38) | 14.98 (1.64–38.57) | <0.001 | 0.53 (0.17–3.07) | 6.75 (1.15–27.38) | <0.001 |
| ALB48 (g/dL) | 3.30 (2.90-3.60) | 2.80 (2.45-3.20) | <0.001 | 3.45 (3.00–3.70) | 3.10 (2.68–3.30) | <0.001 |
| PAR48 | 0.46 (0.09-2.75) | 4.88 (0.49-15.15) | <0.001 | 0.15 (0.04–0.93) | 2.23 (0.35–10.53) | <0.001 |
| Variable | 1m-mortality | |||
|---|---|---|---|---|
| Unadjusted OR (95% CI) | p Value | Adjusted OR (95% CI) | p Value | |
| PCT0 | 1.058 (0.984–1.138) | 0.128 | 1.064 (0.981–1.154) | 0.133 |
| PCT24 | 1.018 (1.005–1.031) | 0.006 | 1.012 (0.999–1.025) | 0.068 |
| PCT48 | 1.010 (1.002–1.019) | 0.018 | 1.003 (0.992–1.013) | 0.630 |
| PAR0 | 1.239 (0.923–1.663) | 0.154 | 1.249 (0.902–1.729) | 0.181 |
| PAR24 | 1.057 (1.018–1.098) | 0.004 | 1.036 (0.997–1.077) | 0.067 |
| PAR48 | 1.031 (1.007–1.056) | 0.012 | 1.006 (0.979–1.033) | 0.675 |
| Lactate0 | 1.270 (1.150–1.402) | <0.001 | 1.248 (1.121–1.390) | <0.001 |
| pH0 | 0.008 (0.001–0.059) | <0.001 | 0.020 (0.002–0.181) | <0.001 |
| Variable | 1m-CPC | |||
|---|---|---|---|---|
| Unadjusted OR (95% CI) | p Value | Adjusted OR (95% CI) | p Value | |
| PCT0 | 1.164 (0.954–1.421) | 0.135 | 1.150 (0.950–1.393) | 0.152 |
| PCT24 | 1.080 (1.031–1.131) | 0.001 | 1.055 (1.010–1.103) | 0.016 |
| PCT48 | 1.028 (1.006–1.052) | 0.014 | 1.019 (1.001–1.037) | 0.034 |
| PAR0 | 1.677 (0.854–3.292) | 0.133 | 1.601 (0.855–2.999) | 0.142 |
| PAR24 | 1.254 (1.090–1.442) | 0.002 | 1.167 (1.023–1.330) | 0.021 |
| PAR48 | 1.104 (1.028–1.187) | 0.007 | 1.077 (1.012–1.146) | 0.020 |
| Lactate0 | 1.098 (1.010–1.194) | 0.028 | 1.042 (0.946–1.149) | 0.402 |
| pH0 | 0.015 (0.002–0.098) | <0.001 | 0.056 (0.007–0.475) | 0.008 |
| Value | AUC | 95% CI | COV | Sensitivity | Specificity | p-Value |
|---|---|---|---|---|---|---|
| PCT0 | 0.619 | 0.545–0.689 | 0.1 | 48.2 | 73.3 | 0.005 |
| PCT24 | 0.682 | 0.609–0.749 | 5.09 | 55.4 | 72.8 | <0.001 |
| PCT48 | 0.703 | 0.627–0.772 | 9.69 | 53.3 | 78.3 | <0.001 |
| PAR0 | 0.665 | 0.593–0.733 | 0.013 | 91.1 | 35.9 | 0.001 |
| PAR24 | 0.684 | 0.611–0.751 | 1.912 | 53.7 | 76.0 | <0.001 |
| PAR48 | 0.710 | 0.635–0.778 | 8.629 | 44.4 | 88.3 | <0.001 |
| Lactate0 | 0.727 | 0.640–0.808 | 10.1 | 62.5 | 77.86 | <0.001 |
| pH0 | 0.723 | 0.637–0.809 | 6.97 | 51.79 | 86.26 | <0.001 |
| Value | AUC | 95% CI | COV | Sensitivity | Specificity | p-Value |
|---|---|---|---|---|---|---|
| PCT0 | 0.612 | 0.533–0.677 | 0.06 | 49.6 | 70.0 | 0.005 |
| PCT24 | 0.787 | 0.703–0.830 | 1.65 | 78.9 | 72.5 | <0.001 |
| PCT48 | 0.763 | 0.673–0.811 | 2.0 | 68.9 | 72.6 | <0.001 |
| PAR0 | 0.647 | 0.572–0.714 | 0.015 | 62.4 | 62.9 | <0.001 |
| PAR24 | 0.790 | 0.706–0.833 | 0.5 | 75.0 | 73.9 | <0.001 |
| PAR48 | 0.772 | 0.682–0.818 | 0.275 | 80.6 | 62.9 | <0.001 |
| Lactate0 | 0.594 | 0.511–0.678 | 10.1 | 41.03 | 77.14 | <0.027 |
| pH0 | 0.700 | 0.625–0.776 | 7.07 | 56.41 | 80.00 | <0.001 |
Disclaimer/Publisher’s Note: The statements, opinions and data contained in all publications are solely those of the individual author(s) and contributor(s) and not of MDPI and/or the editor(s). MDPI and/or the editor(s) disclaim responsibility for any injury to people or property resulting from any ideas, methods, instructions or products referred to in the content. |
© 2023 by the authors. Licensee MDPI, Basel, Switzerland. This article is an open access article distributed under the terms and conditions of the Creative Commons Attribution (CC BY) license (https://creativecommons.org/licenses/by/4.0/).
Share and Cite
Yoon, J.H.; Choi, W.S.; Lim, Y.S.; Jang, J.H. Comparison of Prognostic Performance between Procalcitonin and Procalcitonin-to-Albumin Ratio in Post Cardiac Arrest Syndrome. J. Clin. Med. 2023, 12, 4568. https://doi.org/10.3390/jcm12144568
Yoon JH, Choi WS, Lim YS, Jang JH. Comparison of Prognostic Performance between Procalcitonin and Procalcitonin-to-Albumin Ratio in Post Cardiac Arrest Syndrome. Journal of Clinical Medicine. 2023; 12(14):4568. https://doi.org/10.3390/jcm12144568
Chicago/Turabian StyleYoon, Ju Hee, Woo Sung Choi, Yong Su Lim, and Jae Ho Jang. 2023. "Comparison of Prognostic Performance between Procalcitonin and Procalcitonin-to-Albumin Ratio in Post Cardiac Arrest Syndrome" Journal of Clinical Medicine 12, no. 14: 4568. https://doi.org/10.3390/jcm12144568
APA StyleYoon, J. H., Choi, W. S., Lim, Y. S., & Jang, J. H. (2023). Comparison of Prognostic Performance between Procalcitonin and Procalcitonin-to-Albumin Ratio in Post Cardiac Arrest Syndrome. Journal of Clinical Medicine, 12(14), 4568. https://doi.org/10.3390/jcm12144568
