Patient-Centred Outcomes after Totally Endoscopic Cardiac Surgery: One-Year Follow-Up
Abstract
1. Introduction
2. Materials and Methods
2.1. Study Design
2.2. Surgical Techniques
2.3. Quality of Life
2.4. Clinical Follow-Up
2.5. Statistical Analysis
3. Results
3.1. Demographics
3.2. Health-Related Quality of Life
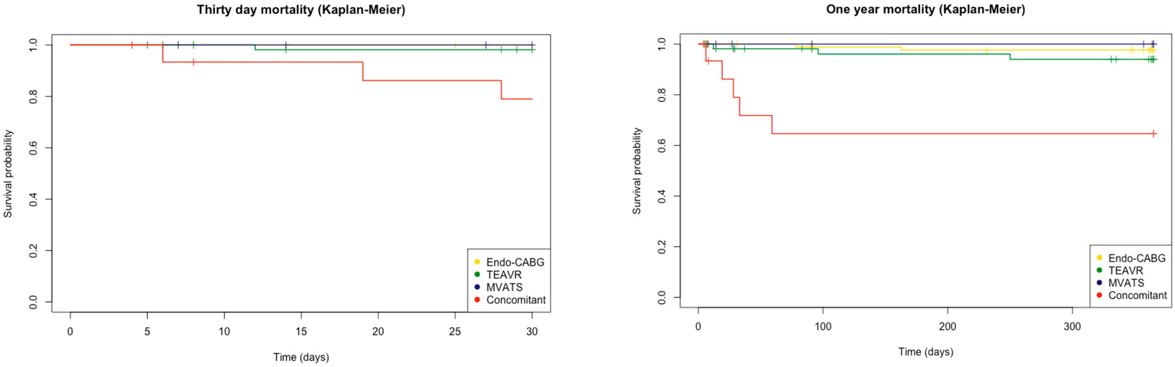
3.3. Clinical Follow-Up
4. Discussion
4.1. Overall HRQL
4.2. Clinical Follow-Up
4.3. Limitations
5. Conclusions
Supplementary Materials
Author Contributions
Funding
Institutional Review Board Statement
Informed Consent Statement
Data Availability Statement
Conflicts of Interest
References
- Florence, Y.L.; Riccardo, G.A.; Bethany, T.; Tracy, K.; Gavin, J.M. Identifying research priorities in cardiac surgery: A report from the James Lind Alliance Priority Setting Partnership in adult heart surgery. BMJ Open 2020, 10, e038001. [Google Scholar] [CrossRef]
- Yilmaz, A.; Robic, B.; Starinieri, P.; Polus, F.; Stinkens, R.; Stessel, B. A new viewpoint on endoscopic CABG: Technique description and clinical experience. J. Cardiol. 2020, 75, 614–620. [Google Scholar] [CrossRef]
- Vola, M.; Fuzellier, J.F.; Chavent, B.; Duprey, A. First human totally endoscopic aortic valve replacement: An early report. J. Thorac. Cardiovasc. Surg. 2014, 147, 1091–1093. [Google Scholar] [CrossRef]
- Mohr, F.W.; Falk, V.; Diegeler, A.; Walther, T.; van Son, J.A.; Autschbach, R. Minimally invasive port-access mitral valve surgery. J. Thorac. Cardiovasc. Surg. 1998, 115, 567–574. [Google Scholar] [CrossRef]
- Jiang, Q.; Yu, T.; Huang, K.; Liu, L.; Zhang, X.; Hu, S. Feasibility, safety, and short-term outcome of totally thoracoscopic mitral valve procedure. J. Cardiothorac. Surg. 2018, 13, 133. [Google Scholar] [CrossRef]
- Yilmaz, A.; Van Genechten, S.; Claessens, J.; Packlé, L.; Maessen, J.; Kaya, A. A totally endoscopic approach for aortic valve surgery. Eur. J. Cardio-Thoracic Surg. 2022, 62, ezac467. [Google Scholar] [CrossRef]
- Webb, J.G.; Altwegg, L.; Masson, J.B.; Al Bugami, S.; Al Ali, A.; Boone, R.A. A new transcatheter aortic valve and percutaneous valve delivery system. J. Am. Coll. Cardiol. 2009, 53, 1855–1858. [Google Scholar] [CrossRef]
- Desomer, A.; Van den Heede, K.; Triemstra Mattanja, T.; Paget, J.; De Boer, D.; Kohn, L.; Cleemput, I. Use of Patient-Reported Outcome and Experience Measures in Patient Care and Policy; KCE: Beaconsfield, Australia, 2018. [Google Scholar]
- Tran, T.T.; Kaneva, P.; Mayo, N.E.; Fried, G.M.; Feldman, L.S. Short-stay surgery: What really happens after discharge? Surgery 2014, 156, 20–27. [Google Scholar] [CrossRef]
- Claessens, J.; Yilmaz, A.; Mostien, T.; Van Genechten, S.; Claes, M.; Packlé, L.; Pierson, M.; Vandenbrande, J.; Kaya, A.; Stessel, B. 90-Day Patient-Centered Outcomes after Totally Endoscopic Cardiac Surgery: A Prospective Cohort Study. J. Clin. Med. 2022, 11, 2674. [Google Scholar] [CrossRef]
- Razaval, D.; Gandek, B. Testing Dutch and French Translations of the SF-36 Health Survey among Blegian Angina Patient. J. Clin. Epidemiol. 1998, 51, 975–981. [Google Scholar] [CrossRef]
- EuroQol. EQ-5D® is a Standardized Instrument for Use as a Measure of Health Outcome. 2019. Available online: https://euroqol.org (accessed on 29 April 2023).
- Huber, A.; Oldridge, N.; Höfer, S. International SF-36 reference values in patients with ischemic heart disease. Qual. Life Res. 2016, 25, 2787–2798. [Google Scholar] [CrossRef]
- Adler, Y.; Charron, P.; Imazio, M.; Badano, L.; Barón-Esquivias, G.; Bogaert, J.; Brucato, A.; Gueret, P.; Klingel, K.; Lionis, C.; et al. 2015 ESC Guidelines for the diagnosis and management of pericardial diseases: The Task Force for the Diagnosis and Management of Pericardial Diseases of the European Society of Cardiology (ESC)Endorsed by: The European Association for Cardio-Thoracic Surgery (EACTS). Eur. Heart J. 2015, 36, 2921–2964. [Google Scholar] [CrossRef]
- Moscarelli, M.; Lorusso, R.; Abdullahi, Y.; Varone, E.; Marotta, M.; Solinas, M.; Casula, R.; Parlanti, A.; Speziale, G.; Fattouch, K.; et al. The Effect of Minimally Invasive Surgery and Sternotomy on Physical Activity and Quality of Life. Heart Lung Circ. 2021, 30, 882–887. [Google Scholar] [CrossRef]
- Nasso, G.; Bonifazi, R.; Romano, V.; Bartolomucci, F.; Rosano, G.; Massari, F.; Fattouch, K.; Del Prete, G.; Riccioni, G.; Del Giglio, M.; et al. Three-year results of repaired Barlow mitral valves via right minithoracotomy versus median sternotomy in a randomized trial. Cardiology 2014, 128, 97–105. [Google Scholar] [CrossRef]
- Claessens, J.; Rottiers, R.; Vandenbrande, J.; Gruyters, I.; Yilmaz, A.; Kaya, A.; Stessel, B. Quality of life in patients undergoing minimally invasive cardiac surgery: A systematic review. Indian J. Thorac. Cardiovasc. Surg. 2023, 39, 367–380. [Google Scholar] [CrossRef]
- Caliskan, E.; Misfeld, M.; Sandner, S.; Böning, A.; Aramendi, J.; Salzberg, S.P.; Choi, Y.H.; Perrault, L.P.; Tekin, I.; Cuerpo, G.P.; et al. Clinical event rate in patients with and without left main disease undergoing isolated coronary artery bypass grafting: Results from the European DuraGraft Registry. Eur. J. Cardio-Thoracic Surg. 2022, 62, ezac403. [Google Scholar] [CrossRef]
- Serruys, P.W.; Morice, M.-C.; Kappetein, A.P.; Colombo, A.; Holmes, D.R.; Mack, M.J.; Ståhle, E.; Feldman, T.E.; van den Brand, M.; Bass, E.J.; et al. Percutaneous Coronary Intervention versus Coronary-Artery Bypass Grafting for Severe Coronary Artery Disease. N. Engl. J. Med. 2009, 360, 961–972. [Google Scholar] [CrossRef]
- Tamburino, C.; Barbanti, M.; D’Errigo, P.; Ranucci, M.; Onorati, F.; Covello, R.D.; Santini, F.; Rosato, S.; Santoro, G.; Fusco, D.; et al. 1-Year Outcomes After Transfemoral Transcatheter or Surgical Aortic Valve Replacement: Results From the Italian OBSERVANT Study. J. Am. Coll. Cardiol. 2015, 66, 804–812. [Google Scholar] [CrossRef]
- Rosato, S.; Biancari, F.; D’Errigo, P.; Barbanti, M.; Tarantini, G.; Bedogni, F.; Ranucci, M.; Costa, G.; Juvonen, T.; Ussia, G.P.; et al. One-Year Outcomes after Surgical versus Transcatheter Aortic Valve Replacement with Newer Generation Devices. J. Clin. Med. 2021, 10, 3703. [Google Scholar] [CrossRef]
- Alperi, A.; Mohammadi, S.; Campelo-Parada, F.; Munoz-Garcia, E.; Nombela-Franco, L.; Faroux, L.; Veiga, G.; Serra, V.; Fischer, Q.; Pascual, I.; et al. Transcatheter Versus Surgical Aortic Valve Replacement in Patients With Complex Coronary Artery Disease. JACC Cardiovasc. Interv. 2021, 14, 2490–2499. [Google Scholar] [CrossRef]
- Shawon, M.S.R.; Odutola, M.; Falster, M.O.; Jorm, L.R. Patient and hospital factors associated with 30-day readmissions after coronary artery bypass graft (CABG) surgery: A systematic review and meta-analysis. J. Cardiothorac. Surg. 2021, 16, 172. [Google Scholar] [CrossRef] [PubMed]
- Seo, D.H.; Kim, J.S.; Park, K.H.; Lim, C.; Chung, S.R.; Kim, D.J. Mid-Term Results of Minimally Invasive Direct Coronary Artery Bypass Grafting. Korean J. Thorac. Cardiovasc. Surg. 2018, 51, 8–14. [Google Scholar] [CrossRef]
- Mohr, F.W.; Holzhey, D.; Möllmann, H.; Beckmann, A.; Veit, C.; Figulla, H.R.; Cremer, J.; Kuck, K.H.; Lange, R.; Zahn, R.; et al. The German Aortic Valve Registry: 1-year results from 13,680 patients with aortic valve disease. Eur. J. Cardio-Thoracic Surg. 2014, 46, 808–816. [Google Scholar] [CrossRef]
- McCambridge, J.; Witton, J.; Elbourne, D.R. Systematic review of the Hawthorne effect: New concepts are needed to study research participation effects. J. Clin. Epidemiol. 2014, 67, 267–277. [Google Scholar] [CrossRef]







| TECS (n = 193) | Endo-CABG (n = 99) | Open CABG (n = 8) | p-Value | TEAVR (n = 57) | TAVI (n = 8) | p-Value | MVATS (n = 16) | Concomitant (n = 23) | |
|---|---|---|---|---|---|---|---|---|---|
| Age (years) | 70.0 (62.0–77.0) | 67.0 (61.5–73.5) | 70.0 (68.0–75.5) | 0.441 | 73.0 (65.0–76.0) | 85.5 (77.8–87.8) | <0.001 | 72.5 (64.8–80.3) | 75.0 (69.0–78.0) |
| BMI (kg/m2) | 26.9 (25.0–29.8) | 26.7 (25.1–29.6) | 27.8 (22.7–29.4) | 0.859 | 27.0 (24.0–30.9) | 26.0 (24.5–26.9) | 0.259 | 26.1 (22.9–28.1) | 27.6 (26.0–30.9) |
| EuroSCORE II (%) | 1.6 (1.0–2.6) | 1.3 (0.9–2.2) | 3.5 (1.9–4.6) | 0.021 | 1.4 (1.0–2.3) | - | - | 2.3 (1.9–3.4) | 2.7 (2.0–6.0) |
| Gender (male) | 146 (75.6) | 86 (86.8) | 6 (75.0) | 0.352 | 33 (57.9) | 5 (62.5) | 0.805 | 13 (81.3) | 15 (65.2) |
| Smoking | 0.277 | 0.146 | |||||||
| 42 (21.8) | 24 (24.2) | 4 (50.0) | 11 (19.3) | 0 (0.0) | 5 (31.3) | 3 (13.0) | ||
| 38 (19.7) | 22 (22.2) | 1 (12.5) | 8 (14.0) | 3 (37.5) | 1 (6.3) | 7 (30.4) | ||
| DiM | 0.840 | 0.480 | |||||||
| 4 (2.1) | 3 (3.0) | 0 (0.0) | 1 (1.75) | 0 (0) | 0 (0) | 0 (0) | ||
| 44 (22.8) | 29 (29.3) | 2 (25.0) | 6 (10.5) | 2 (25.0) | 3 (18.8) | 7 (30.4) | ||
| AHT | 130 (67.4) | 70 (70.7) | 7 (87.5) | 0.309 | 35 (61.4) | 5 (62.5) | 0.952 | 7 (43.8) | 20 (87.0) |
| Profession | 0.799 | 0.068 | |||||||
| 11 (5.7) | 7 (7.1) | 0 (0.0) | 4 (7.0) | 0 (0.0) | 0 (0.0) | 0 (0.0) | ||
| 18 (9.3) | 9 (9.1) | 1 (12.5) | 6 (10.5) | 0 (0.0) | 2 (12.5) | 1 (4.4) | ||
| 0 (0.0) | 0 (0.0) | 0 (0.0) | 0 (0.0) | 0 (0.0) | 0 (0.0) | 0 (0.0) | ||
| 5 (2.6) | 2 (2.0) | 0 (0.0) | 0 (0.0) | 0 (0.0) | 2 (12.5) | 1 (4.4) | ||
| 11 (5.7) | 8 (8.1) | 0 (0.0) | 1 (1.8) | 0 (0.0) | 1 (6.3) | 1 (4.4) | ||
| 148 (76.7) | 73 (73.7) | 7 (87.5) | 46 (80.7) | 8 (100.0) | 11 (68.8) | 20 (87.0) | ||
| Education | 0.696 | 0.067 | |||||||
| 20 (10.4) | 12 (12.1) | 1 (12.5) | 5 (8.8) | 3 (37.5) | 1 (6.3) | 2 (8.7) | ||
| 28 (14.5) | 12 (12.1) | 1 (12.5) | 8 (14.0) | 0 (0.0) | 4 (25.0) | 5 (21.7) | ||
| 91 (47.1) | 44 (44.4) | 2 (25) | 30 (52.6) | 4 (50.0) | 6 (37.5) | 22 (47.8) | ||
| 35 (18.1) | 22 (22.2) | 2 (25) | 8 (14.0) | 0 (0.0) | 4 (25.0) | 1 (4.4) | ||
| 17 (8.8) | 8 (8.1) | 2 (25.0) | 5 (8.8) | 0 (0.0) | 1 (6.3) | 4 (17.4) | ||
| 2 (1.0) | 1 (1.0) | 0 (0.0) | 1 (1.8) | 1 (12.5) | 0 (0.0) | 0 (0.0) |
| TECS (n = 193) | Endo-CABG (n = 99) | CABG (n = 8) | TEAVR (n = 57) | TAVI (n = 8) | MVATS (n = 16) | Concomitant (n = 23) | |
|---|---|---|---|---|---|---|---|
| Readmission | 28 (14.7) | 18 (18.2) | 0 | 7 (12.3) | 0 | 2 (12.5) | 2 (8.7) |
| Reoperation | 3 (1.6) | 1 (1.0) | 0 | 1 (1.8) | 0 | 1 (6.3) | 0 |
| MACCE | 11 (5.8) | 4 (4.0) | 0 | 4 (7.0) | 0 | 0 | 3 (13.0) |
| 5 (2.6) | 0 | 0 | 2 (3.5) | 0 | 0 | 3 (13.0) |
| 1 (0.5) | 0 | 0 | 1 (1.8) | 0 | 0 | 0 |
| 3 (1.6) | 2 (2.0) | 0 | 1 (1.8) | 0 | 0 | 0 |
| 2 (1.1) | 2 (2.0) | 0 | 0 | 0 | 0 | 0 |
| Neurological | |||||||
| 2 (1.0) | 1 (1.0) | 0 | 1 (1.8) | 0 | 0 | 0 |
| 2 (1.0) | 2 (2.0) | 0 | 0 | 0 | 0 | 0 |
| Graft failure | 1 (0.9) | 1 (1.0) | 0 | - | - | - | 0 |
| Paravalvular leakage | 0 | - | - | 0 | 3 (37.5) | 0 | - |
| PPM implantation | 10 (5.2) | 2 (2.0) | 0 | 7 (12.3) | 1 (12.5) | 1 (6.3) | 0 |
| Pericarditis | 25 (13.1) | 16 (16.2) | 0 | 7 (12.3) | 0 | 1 (6.3) | 1 (4.3) |
| Mortality | 10 (5.2) | 2 (2.0) | 1 (12.5) | 3 (5.3) | 0 | 0 | 5 (21.7) |
| 5 (2.6) | 0 | 0 | 1 (1.8) | 0 | 0 | 4 (17.4) |
| 0 | 0 | 0 | 0 | 0 | 0 | 0 |
| 5 (2.6) | 2 (2.0) | 1 (12.5) | 2 (3.5) | 0 | 0 | 1 (4.4) |
Disclaimer/Publisher’s Note: The statements, opinions and data contained in all publications are solely those of the individual author(s) and contributor(s) and not of MDPI and/or the editor(s). MDPI and/or the editor(s) disclaim responsibility for any injury to people or property resulting from any ideas, methods, instructions or products referred to in the content. |
© 2023 by the authors. Licensee MDPI, Basel, Switzerland. This article is an open access article distributed under the terms and conditions of the Creative Commons Attribution (CC BY) license (https://creativecommons.org/licenses/by/4.0/).
Share and Cite
Claessens, J.; Goris, P.; Yilmaz, A.; Van Genechten, S.; Claes, M.; Packlé, L.; Pierson, M.; Vandenbrande, J.; Kaya, A.; Stessel, B. Patient-Centred Outcomes after Totally Endoscopic Cardiac Surgery: One-Year Follow-Up. J. Clin. Med. 2023, 12, 4406. https://doi.org/10.3390/jcm12134406
Claessens J, Goris P, Yilmaz A, Van Genechten S, Claes M, Packlé L, Pierson M, Vandenbrande J, Kaya A, Stessel B. Patient-Centred Outcomes after Totally Endoscopic Cardiac Surgery: One-Year Follow-Up. Journal of Clinical Medicine. 2023; 12(13):4406. https://doi.org/10.3390/jcm12134406
Chicago/Turabian StyleClaessens, Jade, Pieter Goris, Alaaddin Yilmaz, Silke Van Genechten, Marithé Claes, Loren Packlé, Maud Pierson, Jeroen Vandenbrande, Abdullah Kaya, and Björn Stessel. 2023. "Patient-Centred Outcomes after Totally Endoscopic Cardiac Surgery: One-Year Follow-Up" Journal of Clinical Medicine 12, no. 13: 4406. https://doi.org/10.3390/jcm12134406
APA StyleClaessens, J., Goris, P., Yilmaz, A., Van Genechten, S., Claes, M., Packlé, L., Pierson, M., Vandenbrande, J., Kaya, A., & Stessel, B. (2023). Patient-Centred Outcomes after Totally Endoscopic Cardiac Surgery: One-Year Follow-Up. Journal of Clinical Medicine, 12(13), 4406. https://doi.org/10.3390/jcm12134406

