Effectiveness and Tolerability of the Intensification of Canagliflozin Dose from 100 mg to 300 mg Daily in Patients with Type 2 Diabetes in Real Life: The INTENSIFY Study
Abstract
1. Introduction
2. Material and Methods
2.1. Study Design and Patient Population
2.2. Outcomes and Study Measures
2.3. Statistical Analysis
3. Results
3.1. Demographic and Baseline Characteristics
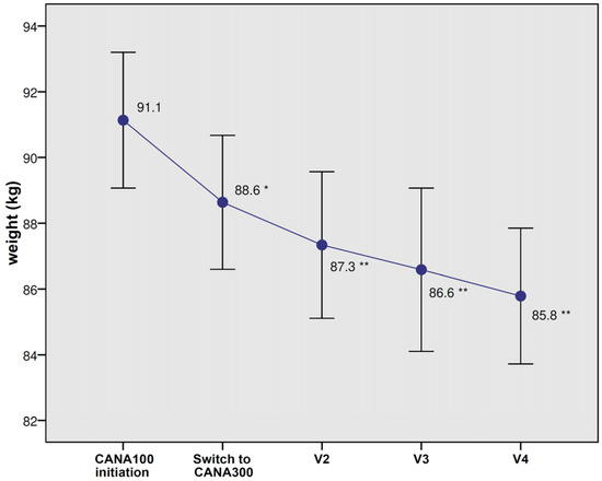
3.2. Analyses of Effectiveness
3.3. Analyses of Safety
4. Discussion
Author Contributions
Funding
Institutional Review Board Statement
Informed Consent Statement
Data Availability Statement
Conflicts of Interest
References
- Giugliano, D.; Longo, M.; Caruso, P.; Maiorino, M.I.; Bellastella, G.; Esposito, K. Sodium-glucose co-transporter-2 inhibitors for the prevention of cardiorenal outcomes in type 2 diabetes: An updated meta-analysis. Diabetes Obes. Metab. 2021, 23, 1672–1676. [Google Scholar] [CrossRef]
- Minami, T.; Kameda, A.; Terauchi, Y. An evaluation of canagliflozin for the treatment of type 2 diabetes: An update. Expert Opin. Pharmacother. 2021, 22, 2087–2094. [Google Scholar] [CrossRef]
- Tsai, W.C.; Hsu, S.P.; Chiu, Y.L.; Yang, J.Y.; Pai, M.F.; Ko, M.J.; Tu, Y.K.; Hung, K.Y.; Chien, K.L.; Peng, Y.S.; et al. Cardiovascular and renal efficacy and safety of sodium-glucose cotransporter-2 inhibitors in patients without diabetes: A systematic review and meta-analysis of randomised placebo-controlled trials. BMJ Open 2022, 12, e060655. [Google Scholar] [CrossRef]
- Solomon, S.D.; McMurray, J.J.V.; Claggett, B.; de Boer, R.A.; DeMets, D.; Hernandez, A.F.; Inzucchi, S.E.; Kosiborod, M.N.; Lam, C.S.; Martinez, F.; et al. Dapagliflozin in Heart Failure with Mildly Reduced or Preserved Ejection Fraction. N. Engl. J. Med. 2022, 387, 1089–1098. [Google Scholar] [CrossRef]
- EMPA-KIDNEY Collaborative Group. Empagliflozin in Patients with Chronic Kidney Disease. N. Engl. J. Med. 2023, 388, 117–127. [Google Scholar] [CrossRef] [PubMed]
- Devineni, D.D.; Curtin, C.R.; Polidori, D.; Gutierrez, M.J.; Murphy, J.; Rusch, S.; Rothenberg, P.L. Pharmacokinetics and pharmacodynamics of canagliflozin, a sodium glucose co-transporter 2 inhibitor, in subjects with type 2 diabetes mellitus. J. Clin. Pharmacol. 2013, 53, 601–610. [Google Scholar] [CrossRef]
- Sha, S.; Devineni, D.; Ghosh, A.; Polidori, D.; Chien, S.; Wexler, D.; Shalayda, K.; Demarest, K.; Rothenberg, P. Canagliflozin, a novel inhibitor of sodium glucose co-transporter 2, dose dependently reduces calculated renal threshold for glucose excretion and increases urinary glucose excretion in healthy subjects. Diabetes Obes. Metab. 2011, 13, 669–672. [Google Scholar] [CrossRef] [PubMed]
- Polidori, D.; Sha, S.; Mudaliar, S.; Ciaraldi, T.P.; Ghosh, A.; Vaccaro, N.; Henry, R.R. Canagliflozin lowers postprandial glucose and insulin by delaying intestinal glucose absorption in addition to increasing urinary glucose excretion: Results of a randomized, placebo-controlled study. Diabetes Care 2013, 36, 2154–2161. [Google Scholar] [CrossRef] [PubMed]
- Stein, P.; Berg, J.K.; Morrow, L.; Polidori, D.; Artis, E.; Rusch, S.; Vaccaro, N.; Devineni, D. Canagliflozin, a sodium glucose co-transporter 2 inhibitor, reduces post-meal glucose excursion in patients with type 2 diabetes by a non-renal mechanism: Results of a randomized trial. Metabolism 2014, 63, 1296–1303. [Google Scholar] [CrossRef] [PubMed]
- Sha, S.; Polidori, D.; Farrell, K.; Ghosh, A.; Natarajan, J.; Vaccaro, N.; Plum-Mörschel, L. Pharmacodynamic differences between canagliflozin and dapagliflozin: Results of a randomized, double-blind, crossover study. Diabetes Obes. Metab. 2015, 17, 188–197. [Google Scholar] [CrossRef] [PubMed]
- Shi, F.H.; Li, H.; Shen, L.; Fu, J.J.; Ma, J.; Gu, Z.C.; Lin, H.W. High-dose sodium-glucose co-transporter-2 inhibitors are superior in type 2 diabetes: A meta-analysis of randomized clinical trials. Diabetes Obes. Metab. 2021, 23, 2125–2136. [Google Scholar] [CrossRef] [PubMed]
- Geng, Q.; Hou, F.; Zhang, Y.; Wang, Z.; Zhao, M. Effects of different doses of canagliflozin on blood pressure and lipids in patients with type 2 diabetes: A meta-analysis. J. Hypertens. 2022, 40, 996–1001. [Google Scholar] [CrossRef]
- Singh, A.K.; Singh, R. Spotlight on Canagliflozin 300: Review of its efficacy and an indirect comparison to other SGLT-2 inhibitors and long-acting GLP-1 receptor agonists. Expert Rev. Clin. Pharmacol. 2017, 10, 633–647. [Google Scholar] [CrossRef] [PubMed]
- Zaccardi, F.; Webb, D.R.; Htike, Z.Z.; Youssef, D.; Khunti, K.; Davies, M.J. Efficacy and safety of sodium-glucose co-transporter-2 inhibitors in type 2 diabetes mellitus: Systematic review and network meta-analysis. Diabetes Obes. Metab. 2016, 18, 783–794. [Google Scholar] [CrossRef] [PubMed]
- Gorgojo-Martínez, J.J.; Gargallo-Fernández, M.A.; Galdón Sanz-Pastor, A.; Antón-Bravo, T.; Brito-Sanfiel, M.; Wong-Cruz, J. Real-World Clinical Outcomes Associated with Canagliflozin in Patients with Type 2 Diabetes Mellitus in Spain: The Real-Wecan Study. J. Clin. Med. 2020, 9, 2275. [Google Scholar] [CrossRef] [PubMed]
- Davies, M.J.; Aroda, V.R.; Collins, B.S.; Gabbay, R.A.; Green, J.; Maruthur, N.M.; Rosas, S.E.; Del Prato, S.; Mathieu, C.; Mingrone, G.; et al. Management of Hyperglycemia in Type 2 Diabetes, 2022. A Consensus Report by the American Diabetes Association (ADA) and the European Association for the Study of Diabetes (EASD). Diabetes Care 2022, 45, 2753–2786. [Google Scholar] [CrossRef]
- Dennis, J.M. Precision Medicine in Type 2 Diabetes: Using Individualized Prediction Models to Optimize Selection of Treatment. Diabetes 2020, 69, 2075–2085. [Google Scholar] [CrossRef] [PubMed]
- Tanton, D.; Duh, M.S.; Lafeuille, M.H.; Lefebvre, P.; Pilon, D.; Zhdanava, M.; Emond, B.; Inman, D.; Bailey, R.A. Real-world evaluation of Hba1c, blood pressure, and weight loss among patients with type 2 diabetes mellitus treated with canagliflozin: An analysis of electronic medical records from a network of hospitals in Florida. Curr. Med. Res. Opin. 2018, 34, 1099–1115. [Google Scholar] [CrossRef] [PubMed]
- Woo, V.; Bell, A.; Clement, M.; Noronha, L.; Tsoukas, M.A.; Camacho, F.; Traina, S.; Georgijev, N.; Culham, M.D.; Rose, J.B.; et al. CANadian CAnagliflozin REgistry: Effectiveness and safety of canagliflozin in the treatment of type 2 diabetes mellitus in Canadian clinical practice. Diabetes Obes. Metab. 2019, 21, 691–699. [Google Scholar] [CrossRef]
- Inagaki, N.; Nangaku, M.; Sakata, Y.; Sasaki, K.; Mori-Anai, K.; Iwasaki, T.; Hamada, K. Real-World Safety and Effectiveness of Canagliflozin Treatment for Type 2 Diabetes Mellitus in Japan: SAPPHIRE, a Long-Term, Large-Scale Post-Marketing Surveillance. Adv. Ther. 2022, 39, 674–691. [Google Scholar] [CrossRef]
- Matsumura, T.; Makabe, T.; Ueda, S.; Fujimoto, Y.; Sadahiro, K.; Tsuruyama, S.; Ookubo, Y.; Kondo, T.; Araki, E. Clinical Benefit of Switching from Low-Dose to High-Dose Empagliflozin in Patients with Type 2 Diabetes. Diabetes Ther. 2022, 13, 1621–1634. [Google Scholar] [CrossRef] [PubMed]
- Leiter, L.A.; Forst, T.; Polidori, D.; Balis, D.A.; Xie, J.; Sha, S. Effect of canagliflozin on liver function tests in patients with type 2 diabetes. Diabetes Metab. 2016, 42, 25–32. [Google Scholar] [CrossRef] [PubMed]
- Inoue, M.; Hayashi, A.; Taguchi, T.; Arai, R.; Sasaki, S.; Takano, K.; Inoue, Y.; Shichiri, M. Effects of canagliflozin on body composition and hepatic fat content in type 2 diabetes patients with non-alcoholic fatty liver disease. J. Diabetes Investig. 2019, 10, 1004–1011. [Google Scholar] [CrossRef] [PubMed]
- Leiter, L.A.; Yoon, K.H.; Arias, P.; Langslet, G.; Xie, J.; Balis, D.A.; Millington, D.; Vercruysse, F.; Canovatchel, W.; Meininger, G. Canagliflozin provides durable glycemic improvements and body weight reduction over 104 weeks versus glimepiride in patients with type 2 diabetes on metformin: A randomized, double-blind, phase 3 study. Diabetes Care 2015, 38, 355–364. [Google Scholar] [CrossRef]
- Gorgojo-Martinez, J.J.; Brito-Sanfiel, M.; Antón-Bravo, T.; Galdón Sanz-Pastor, A.; Wong-Cruz, J.; Gargallo Fernández, M.A. Predictive Factors of Renal Function Decline in Patients with Type 2 Diabetes Treated with Canagliflozin in the Real-Wecan Study. J. Clin. Med. 2022, 11, 5622. [Google Scholar] [CrossRef] [PubMed]
- Ghanim, H.; Abuaysheh, S.; Hejna, J.; Green, K.; Batra, M.; Makdissi, A.; Chaudhuri, A.; Dandona, P. Dapagliflozin Suppresses Hepcidin and Increases Erythropoiesis. J. Clin. Endocrinol. Metab. 2020, 105, dgaa057. [Google Scholar] [CrossRef] [PubMed]
- Maruyama, T.; Takashima, H.; Oguma, H.; Nakamura, Y.; Ohno, M.; Utsunomiya, K.; Furukawa, T.; Tei, R.; Abe, M. Canagliflozin Improves Erythropoiesis in Diabetes Patients with Anemia of Chronic Kidney Disease. Diabetes Technol. Ther. 2019, 21, 713–720. [Google Scholar] [CrossRef] [PubMed]
- Tian, Q.; Guo, K.; Deng, J.; Zhong, Y.; Yang, L. Effects of SGLT2 inhibitors on haematocrit and haemoglobin levels and the associated cardiorenal benefits in T2DM patients: A meta-analysis. J. Cell Mol. Med. 2022, 26, 540–547. [Google Scholar] [CrossRef]
- Packer, M. Critical Reanalysis of the Mechanisms Underlying the Cardiorenal Benefits of SGLT2 Inhibitors and Reaffirmation of the Nutrient Deprivation Signaling/Autophagy Hypothesis. Circulation 2022, 146, 1383–1405. [Google Scholar] [CrossRef] [PubMed]
- Bailey, C.J. Uric acid and the cardio-renal effects of SGLT2 inhibitors. Diabetes Obes. Metab. 2019, 21, 1291–1298. [Google Scholar] [CrossRef]
- Neal, B.; Perkovic, V.; Mahaffey, K.W.; de Zeeuw, D.; Fulcher, G.; Erondu, N.; Shaw, W.; Law, G.; Desai, M.; Matthews, D.R. Canagliflozin and Cardiovascular and Renal Events in Type 2 Diabetes. N. Engl. J. Med. 2017, 377, 644–657. [Google Scholar] [CrossRef] [PubMed]


| Number of Patients (Screening) | 386 |
| Number of Patients (Included) | 317 |
| CANA300 dosage (n, %) | |
| 300 mg once daily 150 mg twice daily | 144 (45.4) 173 (54.6) |
| Follow-up time (months) * | 20.8 (9.1–35.6) |
| Patients with follow-up >24 months (%) | 43.5 |
| Gender (male/female) | 59.6/40.4 |
| Race (%) | |
| Caucasian | 91.5 |
| Latino | 2.8% |
| Asian | 0.9% |
| Black | 0.9% |
| Arab | 1.9% |
| Others | 1.9% |
| Age (years) | 62.2 (10.0) |
| Duration of T2DM (years) * | 10.9 (5.8–14.9) |
| Time of treatment with CANA100 (months) * | 9.9 (5.5–20.7) |
| HbA1c (%) | 7.55 (1.08) |
| Patients with HbA1c > 7% | 73.3% |
| Fasting plasma glucose (mg/dL) | 143.9 (38.1) |
| Weight (kg) | 88.6 (18.0) |
| BMI (kg/m2) | 32.1 (5.8) |
| SBP (mmHg) | 135.2 (20.0) |
| DBP (mmHg) | 77.2 (11.4) |
| Heart rate (bpm) | 82.4 (27.2) |
| LDL-C (mg/dL) | 81.9 (27.2) |
| HDL-C (mg/dL) | 45.6 (14.0) |
| Triglycerides (mg/dL) * | 138.0 (103.0–201.0) |
| Uric acid (mg/dL) | 5.0 (1.4) |
| Hematocrit (%) | 45.4 (4.8) |
| AST (U/l) * | 21.0 (18.0–27.5) |
| ALT (U/l) * | 22.0 (17.0–31) |
| GGT (U/l) * | 26.0 (18.0–39.0) |
| eGFR (ml/min/1.73 m2) | 85.0 (19.9) |
| UACR (mg/g Cr) * | 10.0 (3.0–33.0) |
| Hypertension | 76.7 |
| Hypercholesterolemia | 84.2 |
| Hypertriglyceridemia | 41.1 |
| Smoking | |
| Current smoker | 14.2 |
| Ex-smoker | 31.5 |
| No smoker | 54.3 |
| Sleep apnea | |
| No | 79.4 |
| Yes, without CPAP | 9.9 |
| Yes, with CPAP | 10.7 |
| Diabetic retinopathy | 15.1 |
| Diabetic renal disease | 28.1 |
| Diabetic neuropathy | 6.9 |
| Coronary artery disease | 9.1 |
| Stroke | 7.6 |
| Peripheral artery disease | 2.5 |
| Arrhythmias | 6.0 |
| Heart failure | 3.8 |
| Glucose-lowering drugs | |
| metformin | 87.1 |
| sulphonylureas or glinides | 15.1 |
| pioglitazone | 1.6 |
| DPP-4 inhibitors | 33.1 |
| GLP-1 receptor agonists | 47.0 |
| insulin | 43.2 |
| insulin therapy (years) | 5.6 (2.5–9.8) |
| insulin dose (U/d) | 38.4 (24.3) |
| basal (%) | 73.7 |
| basal-bolus (%) | 26.3 |
| Antihypertensive drugs | |
| 0 (%) | 25.2 |
| 1 (%) | 26.5 |
| ≥2 (%) | 48.3 |
| ACEis (%) | 35.2 |
| ARBs (%) | 37.8 |
| thiazides (%) | 27.4 |
| loop diuretics (%) | 7.5 |
| Lipid-lowering drugs | |
| 0 (%) | 18.0 |
| 1 (%) | 63.9 |
| ≥2 (%) | 18.1 |
| Baseline Variable | Mean Change (95% CI) (Unadjusted) | Mean Change (95% CI) (Adjusted) | Mean Change (95% CI) (Best Model) |
|---|---|---|---|
| CANA 300 OD vs. 150 TD | −0.33 (−0.57; −0.10) * | −0.12 (−0.41;0.17) | |
| Metformin (no vs. yes) | −0.47 (−0.83; −0.12) * | −0.22 (−0.65; 0.22) | −0.36 (−0.66; −0.07) * |
| ARB (no vs. yes) | −0.23 (−0.48; 0.02) | −0.09 (−0.36; 0.18) | |
| FPG (per 10 mg/dL) | −0.09 (−0.12; −0.06) * | 0.02 (−0.02; 0.07) | |
| HbA1c (per 1%) | −0.55 (−0.64; −0.46) * | −0.46 (−0.61; −0.31) * | −0.54 (−0.64; −0.45) * |
| ALT (per 10 U/L) | −0.09 (−0.16; −0.02) * | 0.0 (−0.08; 0.07) | |
| GGT (per 10 U/L) | −0.04 (−0.09; 0.004) | −0.04 (−0.08; 0.01) | |
| eGFR (per 10 mL/min) | +0.06 (−0.003; 0.12) | +0.08 (0.005; 0.15) * | |
| Neuropathy (yes vs. no) | −0.45 (−0.91; 0.01) | −0.38 (−0.91; 0.16) |
| Switch to CANA300 | Last Visit | Mean Difference (95% CI) | p | |
|---|---|---|---|---|
| FPG (mg/dL) | 144.0 (2.2) | 129.2 (2.1) | −14.8 (−19.6; −9.9) | <0.0001 |
| SBP (mmHg) | 135.4 (1.7) | 130.1 (1.8) | −5.3 (−8.6; −1.9) | 0.002 |
| DBP (mmHg) | 77.3 (1.0) | 74.2 (1.1) | −3.1 (−5.0; −1.3) | 0.001 |
| HR (bpm) | 81.0 (1.7) | 81.4 (1.4) | 0.4 (−2.5; 3.3) | 0.781 |
| Hematocrit (%) | 45.3 (0.3) | 45.5 (0.3) | 0.2 (−0.3; 0.8) | 0.408 |
| LDL-C (mg/dL) | 82.0 (1.6) | 76.7 (1.6) | −5.3 (−8.6; −1.9) | 0.002 |
| HDL-C (mg/dL) | 45.8 (0.8) | 45.7 (0.8) | −0.1 (−1.3; 1.1) | 0.881 |
| TG (mg/dL) | 190.6 (16.3) | 183.1 (22.5) | NPT * | 0.005 |
| Uric acid (mg/dL) | 5.0 (0.1) | 4.9 (0.1) | −0.1 (−0.2; 0.1) | 0.541 |
| AST (U/l) | 25.5 (2.2) | 21.2 (1.1) | −4.3 (−8.6; −0.02) | 0.049 |
| ALT (U/l) | 27.1 (1.1) | 23.6 (0.7) | −3.5 (−5.4; −1.7) | <0.0001 |
| GGT (U/l) | 32.5 (1.8) | 29.4 (2.2) | −3.1 (−6.6; 0.3) | 0.072 |
| eGFR (ml/min/1.73 m2) | 85.0 (1.1) | 83.7 (1.1) | −1.3 (−2.8; 0.2) | 0.081 |
| UACR (mg/g) | 52.2 (12.7) | 37.8 (9.5) | NPT * | 0.007 |
| Drug Class | Switch to CANA300 | Last Visit |
|---|---|---|
| Metformin (%) | 87.1 | 87.0 |
| Sulphonylureas or glinides (%) | 15.1 | 16.2 |
| Pioglitazone (%) | 1.6 | 6.1 |
| DPP4is (%) | 33.1 | 26.0 |
| GLP-1ras (%) | 47.0 | 63.5 |
| Insulin (%) | 43.2 | 45.1 |
| Insulin dose (U/d) | 38.4 (24.3) | 35.2 (25.1) |
| Antihypertensive drugs | ||
| 0 (%) | 25.2 | 23.2 |
| 1 (%) | 26.5 | 26.7 |
| ≥2 (%) | 48.3 | 50.1 |
| ACEis (%) | 35.2 | 33.1 |
| ARBs (%) | 37.8 | 41.0 |
| Thiazides (%) | 27.4 | 26.3 |
| Loop diuretics (%) | 7.5 | 6.6 |
| Lipid-lowering drugs | ||
| 0 (%) | 18.0 | 14.0 |
| 1 (%) | 63.9 | 60.3 |
| ≥2 (%) | 18.1 | 25.7 |
Disclaimer/Publisher’s Note: The statements, opinions and data contained in all publications are solely those of the individual author(s) and contributor(s) and not of MDPI and/or the editor(s). MDPI and/or the editor(s) disclaim responsibility for any injury to people or property resulting from any ideas, methods, instructions or products referred to in the content. |
© 2023 by the authors. Licensee MDPI, Basel, Switzerland. This article is an open access article distributed under the terms and conditions of the Creative Commons Attribution (CC BY) license (https://creativecommons.org/licenses/by/4.0/).
Share and Cite
Gorgojo-Martinez, J.J.; Ferreira-Ocampo, P.J.; Galdón Sanz-Pastor, A.; Cárdenas-Salas, J.; Antón-Bravo, T.; Brito-Sanfiel, M.; Almodóvar-Ruiz, F. Effectiveness and Tolerability of the Intensification of Canagliflozin Dose from 100 mg to 300 mg Daily in Patients with Type 2 Diabetes in Real Life: The INTENSIFY Study. J. Clin. Med. 2023, 12, 4248. https://doi.org/10.3390/jcm12134248
Gorgojo-Martinez JJ, Ferreira-Ocampo PJ, Galdón Sanz-Pastor A, Cárdenas-Salas J, Antón-Bravo T, Brito-Sanfiel M, Almodóvar-Ruiz F. Effectiveness and Tolerability of the Intensification of Canagliflozin Dose from 100 mg to 300 mg Daily in Patients with Type 2 Diabetes in Real Life: The INTENSIFY Study. Journal of Clinical Medicine. 2023; 12(13):4248. https://doi.org/10.3390/jcm12134248
Chicago/Turabian StyleGorgojo-Martinez, Juan J., Pablo José Ferreira-Ocampo, Alba Galdón Sanz-Pastor, Jersy Cárdenas-Salas, Teresa Antón-Bravo, Miguel Brito-Sanfiel, and Francisca Almodóvar-Ruiz. 2023. "Effectiveness and Tolerability of the Intensification of Canagliflozin Dose from 100 mg to 300 mg Daily in Patients with Type 2 Diabetes in Real Life: The INTENSIFY Study" Journal of Clinical Medicine 12, no. 13: 4248. https://doi.org/10.3390/jcm12134248
APA StyleGorgojo-Martinez, J. J., Ferreira-Ocampo, P. J., Galdón Sanz-Pastor, A., Cárdenas-Salas, J., Antón-Bravo, T., Brito-Sanfiel, M., & Almodóvar-Ruiz, F. (2023). Effectiveness and Tolerability of the Intensification of Canagliflozin Dose from 100 mg to 300 mg Daily in Patients with Type 2 Diabetes in Real Life: The INTENSIFY Study. Journal of Clinical Medicine, 12(13), 4248. https://doi.org/10.3390/jcm12134248

