Heart Disease Characterization and Myocardial Strain Analysis in Patients with PACS1 Neurodevelopmental Disorder
Abstract
1. Introduction
2. Materials and Methods
3. Results
3.1. Baseline Clinical Characteristics and Cardiac Heart Disease Evaluation
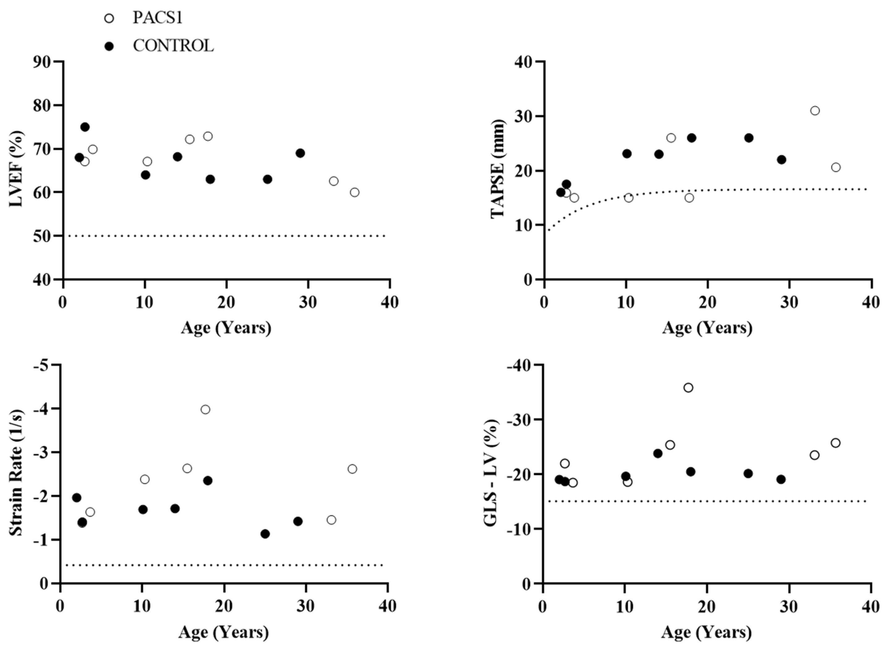
3.2. Echocardiographic Findings and Speckle-Tracking-Echocardiographic Parameters
3.3. Systematic Review
4. Discussion
5. Conclusions
Supplementary Materials
Author Contributions
Funding
Institutional Review Board Statement
Informed Consent Statement
Data Availability Statement
Acknowledgments
Conflicts of Interest
References
- Schuurs-Hoeijmakers, J.H.; Oh, E.C.; Vissers, L.E.; Swinkels, M.E.; Gilissen, C.; Willemsen, M.A.; Holvoet, M.; Steehouwer, M.; Veltman, J.A.; de Vries, B.B.; et al. Recurrent de novo mutations in PACS1 cause defective cranial-neural-crest migration and define a recognizable intellectual-disability syndrome. Am. J. Hum. Genet. 2012, 91, 1122–1127. [Google Scholar] [CrossRef]
- Schuurs-Hoeijmakers, J.H.M.; Landsverk, M.L.; Foulds, N.; Kukolich, M.K.; Gavrilova, R.H.; Greville-Heygate, S.; Hanson-Kahn, A.; Bernstein, J.A.; Glass, J.; Chitayat, D.; et al. Clinical delineation of the PACS1-related syndrome—Report on 19 patients. Am. J. Med. Genet. Part A 2016, 170, 670–675. [Google Scholar] [CrossRef] [PubMed]
- Seto, M.T.; Bertoli-Avella, A.M.; Cheung, K.W.; Chan, K.Y.; Yeung, K.S.; Fung, J.L.; Beetz, C.; Bauer, P.; Luk, H.M.; Lo, I.F.; et al. Prenatal and postnatal diagnosis of Schuurs-Hoeijmakers syndrome: Case series and review of the literature. Am. J. Med. Genet. Part A 2020, 185, 384–389. [Google Scholar] [CrossRef] [PubMed]
- Tenorio-Castaño, J.; Morte, B.; Nevado, J.; Martinez-Glez, V.; Santos-Simarro, F.; García-Miñaúr, S.; Palomares-Bralo, M.; Pacio-Míguez, M.; Gómez, B.; Arias, P.; et al. Schuurs-Hoeijmakers Syndrome (PACS1 Neurodevelopmental Disorder): Seven Novel Patients and a Review. Genes 2021, 12, 738. [Google Scholar] [CrossRef]
- Van Nuland, A.; Reddy, T.; Quassem, F.; Vassalli, J.-D.; Berg, A.T. PACS1-Neurodevelopmental disorder: Clinical features and trial readiness. Orphanet J. Rare Dis. 2021, 16, 386. [Google Scholar] [CrossRef]
- Arnedo, M.; Ascaso, Á.; Latorre-Pellicer, A.; Lucia-Campos, C.; Gil-Salvador, M.; Ayerza-Casas, A.; Pablo, M.J.; Gómez-Puertas, P.; Ramos, F.J.; Bueno-Lozano, G.; et al. Molecular Basis of the Schuurs–Hoeijmakers Syndrome: What We Know about the Gene and the PACS-1 Protein and Novel Therapeutic Approaches. Int. J. Mol. Sci. 2022, 23, 9649. [Google Scholar] [CrossRef]
- Sorokina, E.A.; Reis, L.M.; Thompson, S.; Agre, K.; Babovic-Vuksanovic, D.; Ellingson, M.S.; Hasadsri, L.; van Bever, Y.; Semina, E.V. WDR37 syndrome: Identification of a distinct new cluster of disease-associated variants and functional analyses of mutant proteins. Hum. Genet. 2021, 140, 1775–1789. [Google Scholar] [CrossRef]
- Stern, D.; Cho, M.; Chikarmane, R.; Willaert, R.; Retterer, K.; Kendall, F.; Deardorff, M.; Hopkins, S.; Bedoukian, E.; Slavotinek, A.; et al. Association of the missense variant p.Arg203Trp in PACS1 as a cause of intellectual disability and seizures. Clin. Genet. 2017, 92, 221–223. [Google Scholar] [CrossRef] [PubMed]
- Lusk, L.; Smith, S.; Martin, C.; Taylor, C.; Chung, W. PACS1 Neurodevelopmental Disorder. In GeneReviews® [Internet]; Adam, M.P., Mirzaa, G.M., Pagon, R.A., Wallace, S.E., Bean, L.J.H., Gripp, K.W., Amemiya, A., Eds.; University of Washington: Seattle, WA, USA, 2020. [Google Scholar]
- Silva, M.W.; Martins, A.; de Medeiros, A.L.; de Vasconcelos, A.; Ventura, C.V. Ophthalmological manifestations of the Schuurs-Hoeijmakers syndrome: A case report. Arq. Bras. Oftalmol. 2022, 85, 85–87. [Google Scholar] [CrossRef]
- Gorostidi, M.; Gijón-Conde, T.; de la Sierra, A.; Rodilla, E.; Rubio, E.; Vinyoles, E.; Oliveras, A.; Santamaría, R.; Segura, J.; Molinero, A.; et al. Practice guidelines for the management of arterial hypertension of the Spanish Society of Hypertension. Hipertens. Riesgo. Vasc. 2022, 39, 174–194. [Google Scholar] [CrossRef]
- Lang, R.M.; Badano, L.P.; Mor-Avi, V.; Afilalo, J.; Armstrong, A.; Ernande, L.; Flachskampf, F.A.; Foster, E.; Goldstein, S.A.; Kuznetsova, T.; et al. Recommendations for cardiac chamber quantification by echocardiography in adults: An update from the American Society of Echocardiography and the European Association of Cardiovascular Imaging. Eur. Heart J. Cardiovasc. Imaging 2015, 16, 233–271. [Google Scholar] [CrossRef]
- Nagueh, S.F.; Smiseth, O.A.; Appleton, C.P.; Byrd, B.F., 3rd; Dokainish, H.; Edvardsen, T.; Flachskampf, F.A.; Gillebert, T.C.; Klein, A.L.; Lancellotti, P.; et al. Recommendations for the Evaluation of Left Ventricular Diastolic Function by Echocardiography: An Update from the American Society of Echocardiography and the European Association of Cardiovascular Imaging. J. Am. Soc. Echocardiogr. 2016, 29, 277–314. [Google Scholar] [CrossRef]
- Trujillano, L.; Ayerza-Casas, A.; Puisac, B.; García, G.G.; Ascaso, Á.; Latorre-Pellicer, A.; Arnedo, M.; Lucia-Campos, C.; Gil-Salvador, M.; Kaiser, F.J.; et al. Subclinical myocardial dysfunction is revealed by speckle tracking echocardiography in patients with Cornelia de Lange syndrome. Int. J. Cardiovasc. Imaging 2022, 38, 2291–2302. [Google Scholar] [CrossRef]
- Heidenreich, P.A.; Bozkurt, B.; Aguilar, D.; Allen, L.A.; Byun, J.J.; Colvin, M.M.; Deswal, A.; Drazner, M.H.; Dunlay, S.M.; Evers, L.R.; et al. 2022 AHA/ACC/HFSA Guideline for the Management of Heart Failure: A Report of the American College of Cardiology/American Heart Association Joint Committee on Clinical Practice Guidelines. J. Am. Coll. Cardiol. 2022, 79, e263–e421. [Google Scholar] [CrossRef] [PubMed]
- Núñez-Gil, I.J.; Rubio, M.D.; Cartón, A.J.; López-Romero, P.; Deiros, L.; García-Guereta, L.; Labrandero, C.; Gutierrez-Larraya, F. Determination of normalized values of the tricuspid annular plane systolic excursion (TAPSE) in 405 Spanish children and adolescents. Rev. Esp. Cardiol. 2011, 64, 674–680. [Google Scholar] [CrossRef] [PubMed]
- Lang, R.M.; Badano, L.P.; Mor-Avi, V.; Afilalo, J.; Armstrong, A.; Ernande, L.; Flachskampf, F.A.; Foster, E.; Goldstein, S.A.; Kuznetsova, T.; et al. Recommendations for cardiac chamber quantification by echocardiography in adults: An update from the American Society of Echocardiography and the European Association of Cardiovascular Imaging. J. Am. Soc. Echocardiogr. 2015, 28, 1–39.e14. [Google Scholar] [CrossRef]
- Yingchoncharoen, T.; Agarwal, S.; Popović, Z.; Marwick, T. Normal ranges of left ventricular strain: A meta-analysis. J. Am. Soc. Echocardiogr. 2013, 26, 185–191. [Google Scholar] [CrossRef] [PubMed]
- Kocabay, G.; Muraru, D.; Peluso, D.; Cucchini, U.; Mihaila, S.; Padayattil-Jose, S.; Gentian, D.; Iliceto, S.; Vinereanu, D.; Badano, L.P. Normal left ventricular mechanics by two-dimensional speckle-tracking echocardiography. Reference values in healthy adults. Rev. Esp. Cardiol. 2014, 67, 651–658. [Google Scholar] [CrossRef] [PubMed]
- Pathan, F.; D’Elia, N.; Nolan, M.T.; Marwick, T.H.; Negishi, K. Normal Ranges of Left Atrial Strain by Speckle-Tracking Echocardiography: A Systematic Review and Meta-Analysis. J. Am. Soc. Echocardiogr. 2017, 30, 59–70.e8. [Google Scholar] [CrossRef] [PubMed]
- Dalen, H.; Thorstensen, A.; Aase, S.A.; Ingul, C.B.; Torp, H.; Vatten, L.J.; Stoylen, A. Segmental and global longitudinal strain and strain rate based on echocardiography of 1266 healthy individuals: The HUNT study in Norway. Eur. J. Echocardiogr. 2010, 11, 176–183. [Google Scholar] [CrossRef]
- Jashari, H.; Rydberg, A.; Ibrahimi, P.; Bajraktari, G.; Kryeziu, L.; Jashari, F.; Henein, M.Y. Normal ranges of left ventricular strain in children: A meta-analysis. Cardiovasc. Ultrasound 2015, 13, 37. [Google Scholar] [CrossRef] [PubMed]
- Dallaire, F.; Slorach, C.; Bradley, T.; Hui, W.; Sarkola, T.; Friedberg, M.K.; Jaeggi, E.; Dragulescu, A.; Mahmud, F.H.; Daneman, D.; et al. Pediatric Reference Values and Z Score Equations for Left Ventricular Systolic Strain Measured by Two-Dimensional Speckle-Tracking Echocardiography. J. Am. Soc. Echocardiogr. 2016, 29, 786–793.e8. [Google Scholar] [CrossRef] [PubMed]
- Levy, P.T.; Machefsky, A.; Sanchez, A.A.; Patel, M.D.; Rogal, S.; Fowler, S.; Yaeger, L.; Hardi, A.; Holland, M.R.; Hamvas, A.; et al. Reference Ranges of Left Ventricular Strain Measures by Two-Dimensional Speckle-Tracking Echocardiography in Children: A Systematic Review and Meta-Analysis. J. Am. Soc. Echocardiogr. 2016, 29, 209–225.e6. [Google Scholar] [CrossRef] [PubMed]
- Gadzicki, D.; Döcker, D.; Schubach, M.; Menzel, M.; Schmorl, B.; Stellmer, F.; Biskup, S.; Bartholdi, D. Expanding the phenotype of a recurrent de novo variant in PACS1 causing intellectual disability. Clin. Genet. 2015, 88, 300–302. [Google Scholar] [CrossRef] [PubMed]
- Dutta, A.K. Schuurs-Hoeijmakers syndrome in a patient from India. Am. J. Med. Genet. Part A 2019, 179, 522–524. [Google Scholar] [CrossRef] [PubMed]
- Martinez-Monseny, A.; Bolasell, M.; Arjona, C.; Martorell, L.; Yubero, D.; Arsmtrong, J.; Maynou, J.; Fernandez, G.; Salgado, M.D.C.; Palau, F.; et al. Mutation of PACS1: The milder end of the spectrum. Clin. Dysmorphol. 2018, 27, 148–150. [Google Scholar] [CrossRef]
- Hoshino, Y.; Enokizono, T.; Imagawa, K.; Tanaka, R.; Suzuki, H.; Fukushima, H.; Arai, J.; Sumazaki, R.; Uehara, T.; Takenouchi, T.; et al. Schuurs-Hoeijmakers syndrome in two patients from Japan. Am. J. Med. Genet. Part A 2018, 179, 341–343. [Google Scholar] [CrossRef]
- Pefkianaki, M.; Schneider, A.; Capasso, J.E.; Wasserman, B.N.; Bardakjian, T.; Levin, A.V. Ocular manifestations of PACS1 mutation. J. Am. Assoc. Pediatr. Ophthalmol. Strabismus 2018, 22, 323–325. [Google Scholar] [CrossRef]
- Gray, K.J.; Wilkins-Haug, L.E.; Herrig, N.J.; Vora, N.L. Fetal phenotypes emerge as genetic technologies become robust. Prenat. Diagn. 2019, 39, 811–817. [Google Scholar] [CrossRef]
- Colak, F.K.; Eyerci, N.; Aytekin, C.; Eksioglu, A.S. Renpenning Syndrome in a Turkish Patient: De novo Variant c.607C>T in PACS1 and Hypogammaglobulinemia Phenotype. Mol. Syndr. 2020, 11, 157–161. [Google Scholar] [CrossRef]
- Abdulqader, S.A.; Wli, W.A.; Qaryaqos, S.H. Schuurs-Hoeijmakers syndrome in a patient from Iraq-Kirkuk. Clin. Case Rep. 2021, 9, e04897. [Google Scholar] [CrossRef] [PubMed]
- Crawford, W.; Kelion, A.; Richens, T.; Orchard, E. Left main stem fistula masquerading as an atrial septal defect in a gentleman with Schuurs-Hoeijmakers syndrome. Eur. Heart J. Case Rep. 2020, 5, ytaa420. [Google Scholar] [CrossRef] [PubMed]
- Cardoso-Moreira, M.; Halbert, J.; Valloton, D.; Velten, B.; Chen, C.; Shao, Y.; Liechti, A.; Ascenção, K.; Rummel, C.; Ovchinnikova, S.; et al. Gene expression across mammalian organ development. Nature 2019, 571, 505–509. [Google Scholar] [CrossRef]
- Homma, S.; Sacco, R.L. Patent foramen ovale and stroke. Circulation 2005, 112, 1063–1072. [Google Scholar] [CrossRef] [PubMed]
- Radio, F.C.; Pang, K.; Ciolfi, A.; Levy, M.A.; Hernández-García, A.; Pedace, L.; Pantaleoni, F.; Liu, Z.; de Boer, E.; Jackson, A.; et al. SPEN haploinsufficiency causes a neurodevelopmental disorder overlapping proximal 1p36 deletion syndrome with an episignature of X chromosomes in females. Am. J. Hum. Genet. 2021, 108, 502–516. [Google Scholar] [CrossRef]
- Fernández-Hernández, L.; Reyna-Fabián, M.E.; Alcántara-Ortigoza, M.A.; Aláez-Verson, C.; Flores-Lagunes, L.L.; Carrillo-Sánchez, K.; Angel, A.G.-D. Unusual Clinical Manifestations in a Mexican Patient with Sanfilippo B Syndrome. Diagnostics 2022, 12, 1268. [Google Scholar] [CrossRef] [PubMed]
- Alberio, A.M.Q.; Legitimo, A.; Bertini, V.; Baroncelli, G.I.; Costagliola, G.; Valetto, A.; Consolini, R. Clinical, Immunological, and Genetic Findings in a Cohort of Patients with the DiGeorge Phenotype without 22q11.2 Deletion. J. Clin. Med. 2022, 11, 2025. [Google Scholar] [CrossRef]
- Rosenhahn, E.; O’brien, T.J.; Zaki, M.S.; Sorge, I.; Wieczorek, D.; Rostasy, K.; Vitobello, A.; Nambot, S.; Alkuraya, F.S.; Hashem, M.O.; et al. Bi-allelic loss-of-function variants in PPFIBP1 cause a neurodevelopmental disorder with microcephaly, epilepsy, and periventricular calcifications. Am. J. Hum. Genet. 2022, 109, 1421–1435. [Google Scholar] [CrossRef]
- Pierpont, M.E.; Brueckner, M.; Chung, W.K.; Garg, V.; Lacro, R.V.; McGuire, A.L.; Mital, S.; Priest, J.R.; Pu, W.T.; Roberts, A.; et al. Genetic Basis for Congenital Heart Disease: Revisited: A Scientific Statement from the American Heart Association. Circulation 2018, 138, e653–e711. [Google Scholar] [CrossRef]
- Casas, A.A.; Uriol, B.P.; Rodrigo, M.E.T.; Marcos, M.H.; Fuentes, F.J.R.; Juste, J.P. Cornelia de Lange syndrome: Congenital heart disease in 149 patients. Med. Clin. 2017, 149, 300–302. (In Spanish) [Google Scholar] [CrossRef]
- Hay, E.; Henderson, R.H.; Mansour, S.; Deshpande, C.; Jones, R.; Nutan, S.; Mankad, K.; Young, R.M.; Moosajee, M.; Genomics England Research Consortium; et al. Expanding the phenotypic spectrum consequent upon de novo WDR37 missense variants. Clin. Genet. 2020, 98, 191–197. [Google Scholar] [CrossRef] [PubMed]
- Ayerza-Casas, A.; Puisac-Uriol, B.; Pie-Juste, J. Cornelia de Lange syndrome: Ventricular size and function in six children without congenital heart defects. Med. Clin. 2020, 154, 67–68. [Google Scholar] [CrossRef] [PubMed]
- Song, G.; Zhang, J.; Wang, X.; Zhang, X.; Sun, F.; Yu, X. Usefulness of speckle-tracking echocardiography for early detection in children with Duchenne muscular dystrophy: A meta-analysis and trial sequential analysis. Cardiovasc. Ultrasound 2020, 18, 26. [Google Scholar] [CrossRef] [PubMed]
- Balli, S.; Yucel, I.K.; Kibar, A.E.; Ece, I.; Dalkiran, E.S.; Candan, S. Assessment of cardiac function in absence of congenital and acquired heart disease in patients with Down syndrome. World J. Pediatr. 2016, 12, 463–469. [Google Scholar] [CrossRef]
- Al Saikhan, L.; Park, C.; Hardy, R.; Hughes, A. Prognostic implications of left ventricular strain by speckle-tracking echocardiography in the general population: A meta-analysis. Vasc. Health Risk Manag. 2019, 15, 229–251. [Google Scholar] [CrossRef]



| Variables | I1 | I2 | I3 | I4 | I5 | I6 | I7 | I8 | I9 | I10 | I11 |
|---|---|---|---|---|---|---|---|---|---|---|---|
| Gender | F | F | F | M | M | M | M | F | F | M | M |
| Age (y) | 33 | 15 | 10 | 2.5 | 35 | 17 | 3.5 | 6 | 6 | 2.8 | 12.5 |
| Weight (kg) | 66.4 | 52.2 (p37) | 35 (p46) | 12.6 (p15) | 70 | 52.4 (p9) | 10 (p < 1, −2.4SD) | 17.2 (p11) | 16.6 (p8) | 9.5 (p < 1, −2.5SD) | 33 (p8) |
| Height (cm) | 151.5 | 166 (p70) | 140 (p53) | 89.5 (p13) | 170 | 175 (p50) | 81 (p < 1, −4.8SD) | 105 (p < 1, −2.5SD) | 106 (p < 1, −2.3SD) | 81 (p < 1, −2.9SD) | 144 (p9) |
| First words (y) | 7 | 3 | 2 | na | 4 | 5 | 1.5 | 6 | - | 2 | 3 |
| Age of sitting (m) | 8 | 10 | 9 | 20 | 12 | 12 | 11 | 7 | 7 | 14 | 9 |
| Age of walking (m) | 16 | 16 | 19 | 30 | 24 | 20 | 26 | 36 | 48 | 2.5 | 24 |
| SBP (mmHg) | 119 | na | 119 (p94) | 69 (p3) | 106 | 105 (p10) | 77 (p23) | na | na | na | na |
| DBP (mmHg) | 69 | na | 79 (p94) | 38 (p31) | 78 | 58 (p20) | 52 (p63) | na | na | na | na |
| HR (bpm) | 63 | 119 | 77 | 87 | 76 | 93 | 135 | na | na | na | na |
| HD | no | yes | no | yes | no | yes | no | yes | yes | yes | yes |
| HD type | - | VSD AAD | - | AAD (PFO) | (PFO) | ASD | - | PDA | PDA | AAD | MVP |
| Intervention | no | no | yes | yes | yes | no | no |
Disclaimer/Publisher’s Note: The statements, opinions and data contained in all publications are solely those of the individual author(s) and contributor(s) and not of MDPI and/or the editor(s). MDPI and/or the editor(s) disclaim responsibility for any injury to people or property resulting from any ideas, methods, instructions or products referred to in the content. |
© 2023 by the authors. Licensee MDPI, Basel, Switzerland. This article is an open access article distributed under the terms and conditions of the Creative Commons Attribution (CC BY) license (https://creativecommons.org/licenses/by/4.0/).
Share and Cite
Latorre-Pellicer, A.; Trujillano, L.; del Rincón, J.; Peña-Marco, M.; Gil-Salvador, M.; Lucia-Campos, C.; Arnedo, M.; Puisac, B.; Ramos, F.J.; Ayerza-Casas, A.; et al. Heart Disease Characterization and Myocardial Strain Analysis in Patients with PACS1 Neurodevelopmental Disorder. J. Clin. Med. 2023, 12, 4052. https://doi.org/10.3390/jcm12124052
Latorre-Pellicer A, Trujillano L, del Rincón J, Peña-Marco M, Gil-Salvador M, Lucia-Campos C, Arnedo M, Puisac B, Ramos FJ, Ayerza-Casas A, et al. Heart Disease Characterization and Myocardial Strain Analysis in Patients with PACS1 Neurodevelopmental Disorder. Journal of Clinical Medicine. 2023; 12(12):4052. https://doi.org/10.3390/jcm12124052
Chicago/Turabian StyleLatorre-Pellicer, Ana, Laura Trujillano, Julia del Rincón, Mónica Peña-Marco, Marta Gil-Salvador, Cristina Lucia-Campos, María Arnedo, Beatriz Puisac, Feliciano J. Ramos, Ariadna Ayerza-Casas, and et al. 2023. "Heart Disease Characterization and Myocardial Strain Analysis in Patients with PACS1 Neurodevelopmental Disorder" Journal of Clinical Medicine 12, no. 12: 4052. https://doi.org/10.3390/jcm12124052
APA StyleLatorre-Pellicer, A., Trujillano, L., del Rincón, J., Peña-Marco, M., Gil-Salvador, M., Lucia-Campos, C., Arnedo, M., Puisac, B., Ramos, F. J., Ayerza-Casas, A., & Pié, J. (2023). Heart Disease Characterization and Myocardial Strain Analysis in Patients with PACS1 Neurodevelopmental Disorder. Journal of Clinical Medicine, 12(12), 4052. https://doi.org/10.3390/jcm12124052

