Short-Term Mortality in Patients with Heart Failure at the End-of-Life Stages: Hades Study
Abstract
1. Introduction
2. Methods
2.1. Design
2.2. Participants
2.3. Statistical Analysis
2.4. Scoring System
2.5. Risk Score in the Model with NT-ProBNP
2.6. Risk Score in the Model without NT-ProBNP
3. Results
3.1. Predictive Model with NT-ProBNP (Model 1)
3.2. Predictive Model without NT-ProBNP (Model 2)
3.3. Validation of the Predictive Models
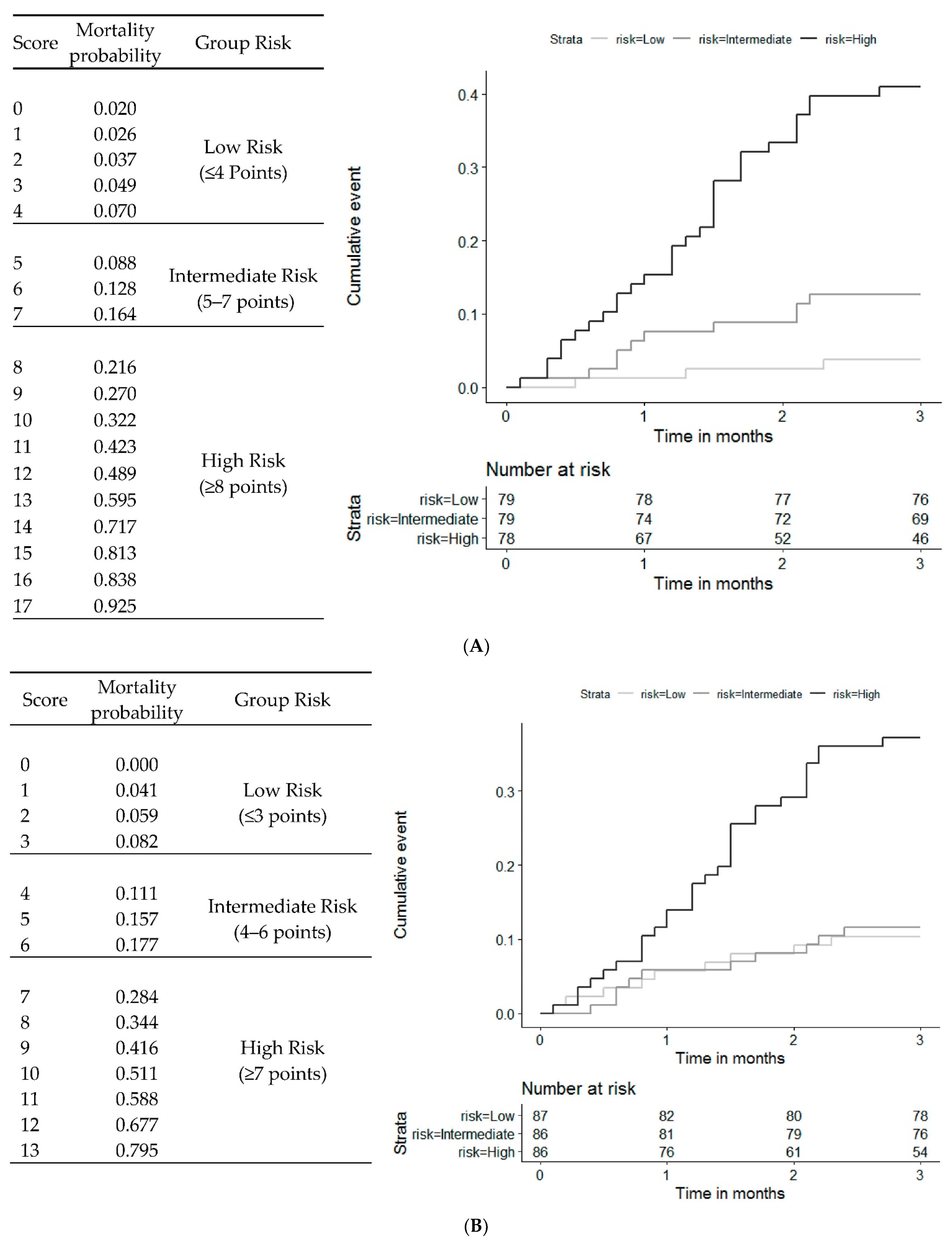
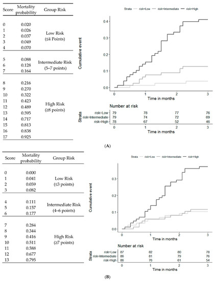
3.4. Risk Score in the Models
3.5. Risk Score in the Model with NT-ProBNP
3.6. Risk Score in the Model without NT-proBNP
4. Discussion
Strengths and Limitations
5. Conclusions
Supplementary Materials
Author Contributions
Funding
Institutional Review Board Statement
Informed Consent Statement
Data Availability Statement
Acknowledgments
Conflicts of Interest
References
- Murray, S.A.; Kendall, M.; Boyd, K.; Sheikh, A. Illness trajectories and palliative care. BMJ 2005, 330, 1007–1011. [Google Scholar] [CrossRef] [PubMed]
- Johnson, M. Management of end stage cardiac failure. Postgrad. Med. J. 2007, 83, 395–401. [Google Scholar] [CrossRef]
- Roger, V.L.; Go, A.S.; Lloyd-Jones, D.M.; Benjamin, E.J.; Berry, J.D.; Borden, W.B.; Bravata, D.M.; Dai, S.; Ford, E.S.; American Heart Association Statistics Committee and Stroke Statistics Subcommittee. Executive summary: Heart disease and stroke statistics-2012 update: A report from the American Heart Association. Circulation 2012, 125, 188–197. [Google Scholar] [PubMed]
- Lee, D.; Austin, P.; Rouleau, J.; Liu, P.; Naimark, D.; Tu, J. Predicting mortality among patients hospitalized for heart failure. Derivation and validation of a clinical model. JAMA 2004, 13, 31–32. [Google Scholar] [CrossRef]
- Meta-Analysis Global Group in Chronic Heart Failure (MAGGIC). The survival of patients with heart failure with preserved or reduced left ventricular ejection fraction: An individual patient data meta-analysis. Eur. Heart J. 2012, 33, 1750–1777. [Google Scholar] [CrossRef] [PubMed]
- Levy, W.C.; Mozaffarian, D.; Linker, D.T.; Sutradhar, S.C.; Anker, S.D.; Cropp, A.B.; Anand, I.; Maggioni, A.; Burton, P.; Sullivan, M.D.; et al. The Seattle Heart Failure Model: Prediction of survival in heart failure. Circulation 2006, 113, 1424–1433. [Google Scholar] [CrossRef] [PubMed]
- Voors, A.A.; Ouwerkerk, W.; Zannad, F.; Van Veldhuisen, D.J.; Samani, N.J.; Ponikowski, P.; Ng, L.; Metra, M.; Ter Maaten, J.M.; Lang, C.; et al. Development and validation of multivariable models to predict mortality and hospitalization in patients with heart failure. Eur. J. Heart Fail. 2017, 19, 627–634. [Google Scholar] [CrossRef]
- Pocock, S.J.; Ariti, C.A.; Mcmurray, J.; Maggioni, A.P.; Køber, L.; Squire, I.B.; Swedberg, K.; Dobson, J.; Poppe, K.K.; Whalley, G.; et al. Meta-Analysis Global Group in Chronic Heart Failure. Predicting survival in heart failure: A risk score based on 39,372 patients from 30 studies. Eur. Heart J. 2013, 34, 1404–1413. [Google Scholar] [CrossRef]
- O’Connor, C.M.; Abraham, W.T.; Albert, N.M.; Clare, R.; Stough, W.G.; Gheorghiade, M.; Greenberg, B.H.; Yancy, C.W.; Young, J.B.; Fonarow, G. Predictors of mortality after discharge in patients hospitalized with heart failure: An analysis from the Organized Program to Initiate Lifesaving Treatment in Hospitalized Patients with Heart Failure (OPTIMIZE-HF). Am. Heart J. 2008, 156, 662–673. [Google Scholar] [CrossRef]
- Chronic Heart Failure in Adults: Diagnosis and Management. NICE Guideline [NG106]. 12 September 2018. Available online: https://www.nice.org.uk/guidance/ng106/chapter/Recommendations-for-research#5-risk-tools-for-predicting-non-sudden- death-in-heart-failure (accessed on 10 November 2021).
- Taylor, C.J.; Ryan, R.; Nichols, L.; Gale, N.; Hobbs, F.R.; Marshall, T. Survival following a diagnosis of heart failure in primary care. Fam. Pract. 2017, 34, 161–168. [Google Scholar] [CrossRef]
- Díez-Villanueva, P.; Arizá-Solé, A.; Vidán, M.T.; Bonanad, C.; Formiga, F.; Sanchis, J.; Martín-Sánchez, F.J.; Ros, V.R.; Fernández, M.S.; Bueno, H.; et al. Recommendations of the Geriatric Cardiology Section of the Spanish Society of Cardiology for the Assessment of Frailty in Elderly Patients With Heart Disease. Rev. Esp. Cardiol. 2018, 72, 63–71. [Google Scholar] [CrossRef]
- Ginwalla, M. Home Inotropes and Other Palliative Care. Heart Fail. Clin. 2016, 12, 437–448. [Google Scholar] [CrossRef] [PubMed]
- Bekelman, D.B.; Rumsfeld, J.S.; Havranek, E.P.; Yamashita, T.E.; Hutt, E.; Gottlieb, S.H.; Dy, S.M.; Kutner, J.S. Symptom Burden, Depression, and Spiritual Well-Being: A Comparison of Heart Failure and Advanced Cancer Patients. J. Gen. Intern. Med. 2009, 24, 592–598. [Google Scholar] [CrossRef]
- Bernaola-Sagardui, I. Validation of the Barthel Index in the Spanish population. Enferm. Clin. 2018, 28, 210–211. [Google Scholar] [CrossRef] [PubMed]
- Verdú-Rotellar, J.M.; Calero, E.; Abellana, R.; Verdú-Soriano, J.; Vinyoles, E.; Del Val-García, J.L.; Domingo, M.; Muñoz, M.-A. Short-term mortality in end-stage heart failure patients. Aten. Primaria 2020, 52, 477–487. [Google Scholar] [CrossRef] [PubMed]
- Lee, S.Y.; Kim, D.Y.; Sohn, M.K.; Lee, J.; Lee, S.-G.; Shin, Y.-I.; Kim, S.-Y.; Oh, G.-J.; Lee, Y.H.; Lee, Y.-S.; et al. Determining the cut-off score for the Modified Barthel Index and the Modified Rankin Scale for assessment of functional independence and residual disability after stroke. PLoS ONE 2020, 15, e0226324. [Google Scholar] [CrossRef]
- Sullivan, L.M.; Massaro, J.M.; D’Agostino Sr, R.B. Likelihood Modelling: Presentation of Multivariate Data for Clinical Use: The Framingham Study Risk Score Functions. Stat. Med. 2004, 23, 1631–1660. [Google Scholar] [CrossRef] [PubMed]
- Di Tanna, G.L.; Wirtz, H.; Burrows, K.L.; Globe, G. Evaluating risk prediction models for adults with heart failure: A systematic literature review. PLoS ONE 2020, 15, e0224135. [Google Scholar] [CrossRef]
- Goodman, S.N.; Goel, S.; Cullen, M. Machine Learning, Health Disparities, and Causal Reasoning. Ann. Intern. Med. 2018, 169, 883–884. [Google Scholar] [CrossRef]
- Martín-Sánchez, F.J.; Gil, V.; Llorens, P.; Herrero, P.; Jacob, J.; Fernández, C.; Miró, Ò.; for the Acute Heart Failure Working Group of the Spanish Society of Emergency Medicine Investigation Group. Barthel Index—Enhanced Feedback for Effective Cardiac Treatment (BI—EFFECT) Study: Contribution of the Barthel Index to the Heart Failure Risk Scoring System Model in Elderly Adults with Acute Heart Failure in the Emergency Department. J. Am. Geriatr. Soc. 2012, 60, 493–498. [Google Scholar] [CrossRef]
- Formiga, F.; Chivite, D.; Conde, A.; Ruiz-Laiglesia, F.; Franco, Á.G.; Bocanegra, C.P.; Manzano, L.; Pérez-Barquero, M.M. Basal functional status predicts three-month mortality after a heart failure hospitalization in elderly patients—The prospective RICA study. Int. J. Cardiol. 2014, 172, 127–131. [Google Scholar] [CrossRef] [PubMed]
- Braunwald, E. Biomarkers in heart failure. N. Engl. J. Med. 2008, 358, 2148–2159. [Google Scholar] [CrossRef] [PubMed]
- Santaguida, P.L.; Don-Wauchope, A.C.; Oremus, M.; McKelvie, R.; Ali, U.; Hill, S.A.; Balion, C.; Booth, R.A.; Brown, J.A.; Bustamam, A.; et al. BNP and NT-proBNP as prognostic markers in persons with acute decompensated heart failure: A systematic review. Heart Fail. Rev. 2014, 19, 453–470. [Google Scholar] [CrossRef] [PubMed]
- Oremus, M.; Don-Wauchope, A.; McKelvie, R.; Santaguida, P.L.; Hill, S.; Balion, C.; Booth, R.; Brown, J.A.; Ali, U.; Bustamam, A.; et al. BNP and NT-proBNP as prognostic markers in persons with chronic stable heart failure. Heart Fail. Rev. 2014, 19, 471–505. [Google Scholar] [CrossRef] [PubMed]
- Kenchaiah, S.; Pocock, S.J.; Wang, D.; Finn, P.V.; Zornoff, L.A.; Skali, H.; Pfeffer, M.A.; Yusuf, S.; Swedberg, K.; Michelson, E.L.; et al. CHARM Investigators. Body mass index and prognosis in patients with chronic heart failure: Insights from the Candesartan in Heart failure: Assessment of Reduction in Mortality and morbidity (CHARM) program. Circulation 2007, 116, 627–636. [Google Scholar] [CrossRef]
- Berry, C.; Clark, A.L. Catabolism in chronic heart failure. Eur. Heart J. 2000, 21, 521–532. [Google Scholar] [CrossRef]
- Carr, J.G.; Stevenson, L.W.; Walden, J.A.; Heber, D. Prevalence and hemodynamic correlates of malnutrition in severe congestive heart failure secondary to ischemic or idiopathic dilated cardiomyopathy. Am. J. Cardiol. 1989, 63, 709–713. [Google Scholar] [CrossRef]
- Formiga, F.; Masip, J.; Chivite, D.; Corbella, X. Applicability of the heart failure Readmission Risk score: A first European study. Int. J. Cardiol. 2017, 236, 304–309. [Google Scholar] [CrossRef]
- Sudhakar, S.; Zhang, W.; Kuo, Y.-F.; Alghrouz, M.; Barbajelata, A.; Sharma, G. Validation of the Readmission Risk Score in Heart Failure Patients at a Tertiary Hospital. J. Card. Fail. 2015, 21, 885–891. [Google Scholar] [CrossRef]
- Upshaw, J.N.; Konstam, M.A.; Klaveren, D.V.; Noubary, F.; Huggins, G.S.; Kent, D.M. Multistate Model to Predict Heart Failure Hospitalizations and All-Cause Mortality in Outpatients with Heart Failure With Reduced Ejection Fraction: Model Derivation and External Validation. Circ. Heart Fail. 2016, 9, e003146. [Google Scholar] [CrossRef]
- Freudenberger, R.S.; Cheng, B.; Mann, D.L.; Thompson, J.L.; Sacco, R.L.; Buchsbaum, R.; Sanford, A.; Pullicino, P.M.; Levin, B.; Teerlink, J.R.; et al. The first prognostic model for stroke and death in patients with systolic heart failure. J. Cardiol. 2016, 68, 100–103. [Google Scholar] [CrossRef] [PubMed][Green Version]
- Barlera, S.; Tavazzi, L.; Franzosi, M.G.; Marchioli, R.; Raimondi, E.; Masson, S.; Urso, R.; Lucci, D.; Nicolosi, G.L.; Maggioni, A.P.; et al. Predictors of mortality in 6975 patients with chronic heart failure in the Gruppo Italiano per lo Studio della Streptochinasi nell’Infarto Miocardico-Heart Failure trial: Proposal for a nomogram. Circ. Heart Fail. 2013, 6, 31–39. [Google Scholar] [CrossRef] [PubMed]
- Rossignol, P.; Dobre, D.; McMurray, J.J.; Swedberg, K.; Krum, H.; van Veldhuisen, D.J.; Shi, H.; Messig, M.; Vincent, J.; Girerd, N.; et al. Incidence, determinants, and prognostic significance of hyperkalemia and worsening renal function in patients with heart failure receiving the mineralocorticoid receptor antagonist eplerenone or placebo in addition to optimal medical therapy: Results from the Eplerenone in Mild Patients Hospitalization and Survival Study in Heart Failure (EMPHASIS-HF). Circ. Heart Fail. 2014, 7, 51–58. [Google Scholar] [CrossRef] [PubMed]
- Núñez, J.; Bayés-Genís, A.; Zannad, F.; Rossignol, P.; Núñez, E.; Bodí, V.; Miñana, G.; Santas, E.; Chorro, F.J.; Mollar, A.; et al. Long-Term Potassium Monitoring and Dynamics in Heart Failure and Risk of Mortality. Circulation 2018, 137, 1320–1330. [Google Scholar] [CrossRef] [PubMed]
- Schichtel, M.; Wee, B.; Perera, R.; Onakpoya, I. The Effect of Advance Care Planning on Heart Failure: A Systematic Review and Meta-analysis. J. Gen. Intern. Med. 2020, 35, 874–884. [Google Scholar] [CrossRef]
- Pinilla, J.M.G.; Díez-Villanueva, P.; Freire, R.B.; Formiga, F.; Marcos, M.C.; Bonanad, C.; Leiro, M.G.C.; García, J.R.; Molina, B.D.; Grau, C.E. Consensus document and recommendations on palliative care in heart failure of the Heart Failure and Geriatric Cardiology Working Groups of the Spanish Society of Cardiology. Rev. Esp. Cardiol. 2020, 73, 69–77. [Google Scholar]
- Janssen, D.J.; Rechberger, S.; Wouters, E.F.; Schols, J.M.; Johnson, M.J.; Currow, D.C.; Curtis, J.R.; Spruit, M.A. Clustering of 27,525,663 Death Records from the United States Based on Health Conditions Associated with Death: An Example of big Health Data Exploration. J. Clin. Med. 2019, 8, 922. [Google Scholar] [CrossRef]


| All n = 271 | Alive n = 216 | Dead n = 55 | Hazard Ratio (95% Confidence Interval) | p Value | |
|---|---|---|---|---|---|
| Women (%) | 162 (59.8) | 135 (62.5) | 27 (49.1) | Ref. | |
| Men (%) | 109 (40.2) | 81 (37.5) | 28 (50.9) | 1.59 [0.94; 2.70] | 0.084 |
| Age (Mean, SD) | 84.2 (8.3) | 83.6 (8.5) | 86.5 (7.2) | 1.04 [1.01; 1.08] | 0.019 |
| Age groups (years) (%) | |||||
| <65 | 6 (2.2) | 6 (2.7) | 0 (0.0) | 0.00 [0.00; 0.00] | |
| 65–74 | 28 (10.3) | 23 (10.6) | 5 (9.1) | Ref: | |
| 75–84 | 93 (34.3) | 80 (37.0) | 13 (23.6) | 0.76 [0.27; 2.12] | 0.596 |
| >84 | 144 (53.1) | 107 (49.5) | 37 (67.3) | 1.52 [0.60; 3.87] | 0.380 |
| Level of Studies (%) | |||||
| Less than secondary education | 199 (73.7) | 161 (74.9) | 38 (69.1) | Ref. | |
| Secondary school | 55 (20.4) | 41 (19.1) | 14 (25.5) | 1.39 [0.75; 2.57] | 0.289 |
| University studies | 16 (5.9) | 13 (6.0) | 3 (5.4) | 0.92 [0.28; 2.98] | 0.890 |
| Clinical variables (Mean, SD) | |||||
| Left ventricular ejection fraction | 53.4 (14.6) | 53.8 (14.8) | 51.7 (13.6) | 0.99 [0.97; 1.01] | 0.412 |
| Body mass index (kg/m2) | 28.0 (5.7) | 28.4 (5.9) | 26.0 (4.5) | 0.93 [0.88; 0.98] | 0.006 |
| Systolic blood pressure (mmHg) | 121 (19.0) | 122 (18.9) | 117 (19.3) | 0.99 [0.97; 1.00] | 0.074 |
| Diastolic blood pressure (mmHg) | 66.0 (10.1) | 66.6 (10.1) | 63.9 (9.6) | 0.98 [0.95; 1.00] | 0.087 |
| Heart rate (beats per minute) | 76.0 (14.1) | 75.8 (14.0) | 77.0 (14.5) | 1.01 [0.99; 1.02] | 0.528 |
| Respiratory frequency (per minute) | 19.5 (3.4) | 19.4 (3.5) | 19.7 (2.9) | 1.02 [0.94; 1.10] | 0.642 |
| Laboratory variables (Mean, SD) | |||||
| Sodium (mmol/L) | 140 (6.8) | 140 (7.4) | 140 (3.6) | 0.99 [0.96; 1.03] | 0.775 |
| Potassium (mmol/L) | 4.3 (0.6) | 4.2 (0.5) | 4.4 (0.7) | 1.67 [1.09; 2.55] | 0.018 |
| Creatinine (mg/dL) | 1.4 (0.7) | 1.3 (0.7) | 1.6 (0.8) | 1.47 [1.10; 1.96] | 0.009 |
| Glomerular filtration (mL/min) | 47.5 (20.7) | 49.0 (20.0) | 41.9 (22.4) | 0.98 [0.97; 1.00] | 0.019 |
| Hemoglobin (gr/dL) | 11.4 (1.7) | 11.5 (1.7) | 11.0 (1.6) | 0.86 [0.74; 1.01] | 0.070 |
| NT-proBNP (pcg/mL) (Median; P25–75) | 3437 (1646; 8010) | 3040 [1512; 5996] | 7743 [3415; 16,080] | 1.00 [1.00; 1.00] | <0.001 |
| Functional status | |||||
| New York Heart Association (NYHA) (%) | |||||
| NYHA III | 183 (67.5) | 150 (69.4) | 33 (60.0) | Ref. | |
| NYHA IV | 88 (32.5) | 66 (30.6) | 22 (40.0) | 1.45 [0.84; 2.48] | 0.181 |
| Barthel index (Mean, SD) | 60.8 (25.3) | 63.3 (24.5) | 51.0 (26.2) | 0.98 [0.97; 0.99] | 0.001 |
| Comorbidity (%) | |||||
| Current smoker | 13 (4.8) | 11 (5.1) | 2 (3.6) | 0.90 [0.21; 3.76] | 0.881 |
| Coronary heart disease | 70 (25.8) | 55 (25.5) | 15 (27.3) | 1.07 [0.59; 1.95] | 0.812 |
| Stroke | 32 (11.8) | 23 (10.6) | 9 (16.4) | 1.53 [0.75; 3.12] | 0.246 |
| Atrial fibrillation | 134 (49.4) | 106 (49.1) | 28 (50.9) | 1.05 [0.62; 1.78] | 0.854 |
| Hypertension | 183 (67.5) | 151 (69.9) | 32 (58.2) | 0.63 [0.37; 1.08] | 0.090 |
| Diabetes | 100 (36.9) | 80 (37.0) | 20 (36.4) | 0.98 [0.57; 1.70] | 0.952 |
| Chronic obstructive pulmonary disease | 82 (30.3) | 65 (30.1) | 17 (30.9) | 1.00 [0.57; 1.77] | 0.997 |
| Chronic kidney disease | 109 (40.2) | 85 (39.4) | 24 (43.6) | 1.16 [0.68; 1.98] | 0.580 |
| Anemia | 109 (40.2) | 86 (39.8) | 23 (41.8) | 1.07 [0.63; 1.83] | 0.799 |
| Depression | 134 (49.4) | 106 (49.1) | 28 (50.9) | 1.05 [0.62; 1.78] | 0.854 |
| Medication | n (%) | n (%) | n (%) | ||
| Inhibitors of the renin-angiotensin system * | 138 (50.9) | 116 (53.7) | 22 (40.0) | 0.60 (0.35; 1.04) | 0.067 |
| Beta blockers | 141 (52.0) | 114 (52.8) | 27 (49.1) | 0.87 (0.51; 1.47) | 0.603 |
| Loop diuretics | 214 (79.0) | 173 (80.1) | 41 (74.5) | 0.75 (0.41; 1.38) | 0.363 |
| Mineral corticoid receptor antagonists | 62 (22.9) | 47 (21.8) | 15 (27.3) | 1.29 (0.71; 2.34) | 0.400 |
| Neprilysin inhibidors | 11 (4.0) | 8 (3.7) | 3 (5.4) | 1.26 (0.39; 4.05) | 0.694 |
| Ivabradin | 4 (1.48) | 4 (1.8) | 0 (0.0) | - | - |
| Digoxin | 26 (9.6) | 19 (8.8) | 7 (12.7) | 1.43 (0.65; 3.16) | 0.379 |
| Statins | 104 (38.4) | 82 (38.0) | 22 (40.0) | 1.07 (0.63; 1.84) | 0.799 |
| Multivariate Model 1 (with NT-ProBNP) | Risk Score | |||||
| Variables | Categories | n | HR (95% CI) | p-Value | Categories | Points |
| Sex | Women | 143 | Reference | Women | 0 | |
| Men | 93 | 2.64 (1.37; 5.09) | 0.004 | Men | 3 | |
| Age | (years) | 236 | 1.03 (0.99; 1.07) | 0.147 | 55–64 | 0 |
| 65–74 | 1 | |||||
| 75–84 | 2 | |||||
| 85–94 | 3 | |||||
| 94–104 | 4 | |||||
| Body mass index | ≥25 kg/m2 | 166 | Reference | ≥25 kg/m2 | 0 | |
| <25 kg/m2 | 70 | 1.90 (1.04; 3.49) | 0.038 | <25 kg/m2 | 2 | |
| Potassium(mmol/L) | 236 | 1.54 (1.02; 2.33) | 0.041 | ≤5 mmol/L | 0 | |
| >5 mmol/L | 3 | |||||
| Glomerular filtration rate | ≥30 mL/min | 184 | Reference | ≥30 mL/min | 0 | |
| <30 mL/min | 52 | 1.91 (0.99; 3.69) | 0.055 | <30 mL/min | 2 | |
| NT-proBNP (pg/mL) | ≤1646 | 61 | Reference | ≤1646 | 0 | |
| 1647–3437 | 59 | 0.75 (0.25; 2.37) | 0.623 | 1647–3437 | −1 | |
| 3438–8010 | 58 | 1.32 (0.50; 3.46) | 0.570 | 3438–8010 | 1 | |
| >8010 | 58 | 2.71 (1.09; 6.71) | 0.032 | >8010 | 3 | |
| Barthel index | ≥40 | 195 | Reference | ≥40 | 0 | |
| <40 | 41 | 3.04 (1.59; 5.83) | <0.001 | <40 | 4 | |
| Multivariate Model 2 (without NT-ProBNP) | Risk Score | |||||
| Variables | Categories | n | HR (95% CI) | p-Value | Categories | Points |
| Sex | Women | 155 | Reference | Women | 0 | |
| Man | 104 | 1.93 (1.09; 3.43) | 0.024 | Man | 2 | |
| Age | (years) | 259 | 1.03 (1.00; 1.07) | 0.071 | 55–64 | 0 |
| 65–74 | 1 | |||||
| 75–84 | 2 | |||||
| 85–94 | 3 | |||||
| 94–104 | 4 | |||||
| Body mass index | ≥25 kg/m2 | 182 | Reference | ≥25 kg/m2 | 0 | |
| <25 kg/m2 | 77 | 2.09 (1.19; 3.68) | 0.010 | <25 kg/m2 | 2 | |
| Potassium (mmol/L) | 259 | 1.43 (0.95; 2.16) | 0.088 | ≤5 mmol/L | 0 | |
| >5 mmol/L | 2 | |||||
| Glomerular filtration rate | ≥30 mL/min | 201 | Reference | ≥30 mL/min | 0 | |
| <30 mL/min | 58 | 2.53 (1.42; 4.50) | 0.002 | <30 mL/min | 3 | |
| Barthel index | ≥40 | 211 | Reference | ≥40 | 0 | |
| <40 | 48 | 2.30 (1.25; 4.22) | 0.007 | <40 | 2 | |
Publisher’s Note: MDPI stays neutral with regard to jurisdictional claims in published maps and institutional affiliations. |
© 2022 by the authors. Licensee MDPI, Basel, Switzerland. This article is an open access article distributed under the terms and conditions of the Creative Commons Attribution (CC BY) license (https://creativecommons.org/licenses/by/4.0/).
Share and Cite
Muñoz, M.A.; Calero, E.; Duran, J.; Navas, E.; Alonso, S.; Argemí, N.; Casademunt, M.; Furió, P.; Casajuana, E.; Torralba, N.; et al. Short-Term Mortality in Patients with Heart Failure at the End-of-Life Stages: Hades Study. J. Clin. Med. 2022, 11, 2280. https://doi.org/10.3390/jcm11092280
Muñoz MA, Calero E, Duran J, Navas E, Alonso S, Argemí N, Casademunt M, Furió P, Casajuana E, Torralba N, et al. Short-Term Mortality in Patients with Heart Failure at the End-of-Life Stages: Hades Study. Journal of Clinical Medicine. 2022; 11(9):2280. https://doi.org/10.3390/jcm11092280
Chicago/Turabian StyleMuñoz, Miguel Angel, Esther Calero, Julio Duran, Elena Navas, Susana Alonso, Nuria Argemí, Marta Casademunt, Patricia Furió, Elena Casajuana, Nuria Torralba, and et al. 2022. "Short-Term Mortality in Patients with Heart Failure at the End-of-Life Stages: Hades Study" Journal of Clinical Medicine 11, no. 9: 2280. https://doi.org/10.3390/jcm11092280
APA StyleMuñoz, M. A., Calero, E., Duran, J., Navas, E., Alonso, S., Argemí, N., Casademunt, M., Furió, P., Casajuana, E., Torralba, N., Farre, N., Abellana, R., Verdú-Rotellar, J.-M., & On behalf of HADES Study. (2022). Short-Term Mortality in Patients with Heart Failure at the End-of-Life Stages: Hades Study. Journal of Clinical Medicine, 11(9), 2280. https://doi.org/10.3390/jcm11092280

