Value of Cardiopulmonary Exercise Testing in Prognostic Assessment of Patients with Interstitial Lung Diseases
Abstract
1. Introduction
2. Material and Methods
2.1. Patients
2.2. Lung Function and Diffusing Capacity
2.3. Cardiopulmonary Exercise Testing
2.4. Right Heart Catheterisation
2.5. Echocardiography
2.6. Follow-Up Assessments
2.7. Methodological Limitations
2.8. Statistical Analyses
3. Results
3.1. Patient Characteristics
3.2. Echocardiography
3.3. Right Heart Catheterisation
3.4. Lung Function Values
3.5. Cardiopulmonary Exercise Testing
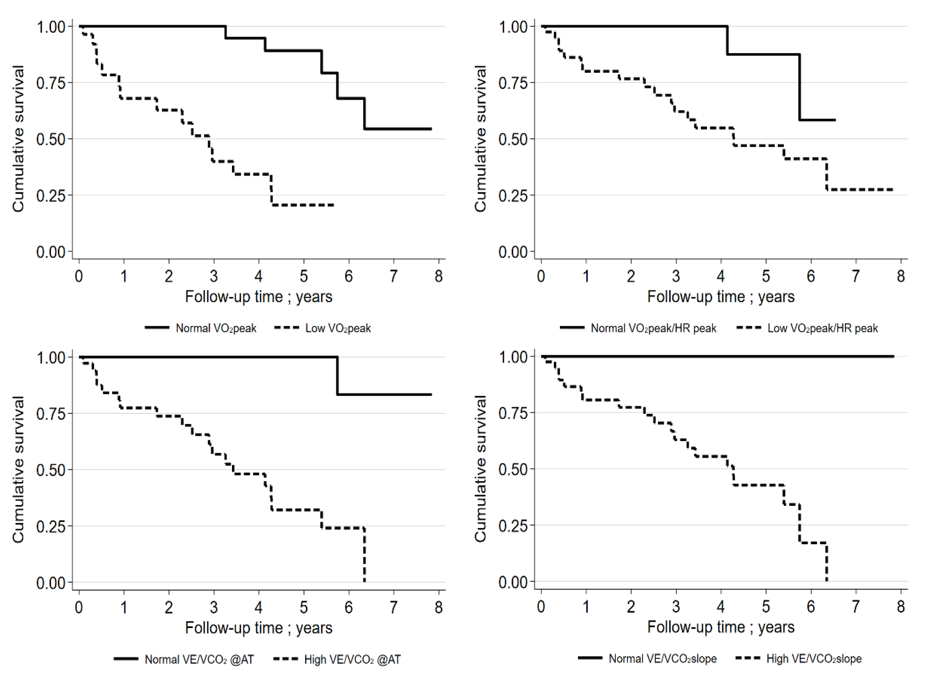
3.6. Survival
3.7. Parameters Relevant to Prognosis
4. Discussion
Supplementary Materials
Author Contributions
Funding
Institutional Review Board Statement
Informed Consent Statement
Data Availability Statement
Acknowledgments
Conflicts of Interest
Abbreviations
| ILD | interstitial lung disease |
| RHC | right heart catheter |
| CRF | cardiorespiratory fitness |
| BMI | body mass index |
| FVC | forced vital capacity |
| CPET | cardiopulmonary exercise testing |
| PH | pulmonary hypertension |
| COPD | chronic obstructive pulmonary disease |
| BODE | body-mass, airflow obstruction, dyspnea, and exercise capacity index |
| ADO | age, dyspnoea, airflow obstruction index |
| DOSE | dyspnoea, obstruction, smoking, exacerbation index |
| HRCT | high-resolution computed tomography |
| NSIP | non-specific interstitial pneumonia |
| UIP | usual interstitial pneumonia |
| IPAF | interstitial pneumonia with autoimmune features |
| DLCO | diffusion capacity |
| CPFE | combined pulmonary fibrosis and emphysema |
| VO2peak | peak oxygen uptake |
| VO2@AT | oxygen uptake at anaerobic threshold |
| VÉ/VCO2 slope | breathing efficacy |
| VÉ/VCO2@AT | breathing efficacy at anaerobic threshold |
| 6-MWD | 6-min walking distance |
| FEV1 | forced expiratory volume in 1 s |
| SD | standard deviation |
| ROC | receiver operating characteristic |
| TLC | total lung capacity |
| W | Watt |
| RR | relative risk |
| CPI | composite physiological index |
References
- Travis, W.D.; Costabel, U.; Hansell, D.M.; King, T.E., Jr.; Lynch, D.A.; Nicholson, A.G.; Ryerson, C.J.; Ryu, J.H.; Selman, M.; Wells, A.U.; et al. An official American Thoracic Society/European Respiratory Society statement: Update of the international multidisciplinary classification of the idiopathic interstitial pneumonias. Am. J. Respir. Crit. Care Med. 2013, 188, 733–748. [Google Scholar] [CrossRef] [PubMed]
- Raghu, G.; Remy-Jardin, M.; Myers, J.L.; Richeldi, L.; Ryerson, C.J.; Lederer, D.J.; Behr, J.; Cottin, V.; Danoff, S.K.; Morell, F.; et al. Diagnosis of Idiopathic Pulmonary Fibrosis. An Official ATS/ERS/JRS/ALAT Clinical Practice Guideline. Am. J. Respir. Crit. Care Med. 2018, 198, e44–e68. [Google Scholar] [CrossRef] [PubMed]
- Horst, C.; Gholipour, B.; Nair, A.; Jacob, J. Differential diagnoses of fibrosing lung diseases. BJR/Open 2019, 1. [Google Scholar] [CrossRef] [PubMed]
- GBD 2016 Causes of Death Collaborators. Global, regional, and national age-sex specific mortality for 264 causes of death, 1980–2016: A systematic analysis for the Global Burden of Disease Study 2016. Lancet 2017, 390, 1151–1210. [Google Scholar] [CrossRef]
- Behr, J.; Prasse, A.; Wirtz, H.; Koschel, D.; Pittrow, D.; Held, M.; Klotsche, J.; Andreas, S.; Claussen, M.; Grohé, C.; et al. Survival and course of lung function in the presence or absence of antifibrotic treatment in patients with idiopathic pulmonary fibrosis: Long-term results of the INSIGHTS-IPF registry. Eur. Respir. J. 2020, 56, 1902279. [Google Scholar] [CrossRef] [PubMed]
- Behr, J.; Günther, A.; Bonella, F.; Geißler, K.; Koschel, D.; Kreuter, M.; Prasse, A.; Schönfeld, N.; Sitter, H.; Müller-Quernheim, J.; et al. German Guideline for Idiopathic Pulmonary Fibrosis—Update on Pharmacological Therapies 2017. Pneumologie 2017, 71, 474. [Google Scholar] [CrossRef] [PubMed]
- Hagmeyer, L.; Herkenrath, S.; Anduleit, N.; Treml, M.; Randerath, W. Cardiopulmonary Exercise Testing Allows Discrimination Between Idiopathic Non-specific Interstitial Pneumonia and Idiopathic Pulmonary Fibrosis in Mild to Moderate Stages of the Disease. Lung 2019, 197, 721–726. [Google Scholar] [CrossRef] [PubMed]
- Torrisi, S.E.; Ley, B.; Kreuter, M.; Wijsenbeek, M.; Vittinghoff, E.; Collard, H.R.; Vancheri, C. The added value of comorbidities in predicting survival in idiopathic pulmonary fibrosis: A multicentre observational study. Eur. Respir. J. 2019, 53, 1801587. [Google Scholar] [CrossRef] [PubMed]
- Hubbard, R.B.; Smith, C.; Le Jeune, I.; Gribbin, J.; Fogarty, A.W. The association between idiopathic pulmonary fibrosis and vascular disease: A population-based study. Am. J. Respir. Crit. Care Med. 2008, 178, 1257–1261. [Google Scholar] [CrossRef] [PubMed]
- King, T.E.; Tooze, J.A., Jr.; Schwarz, M.I.; Brown, K.R.; Cherniack, R.M. Predicting survival in idiopathic pulmonary fibrosis: Scoring system and survival model. Am. J. Respir. Crit. Care Med. 2001, 164, 1171–1181. [Google Scholar] [CrossRef] [PubMed]
- Holland, A.E. Review series: Aspects of interstitial lung disease: Exercise limitation in interstitial lung disease—mechanisms, significance and therapeutic options. Chronic Respir. Dis. 2010, 7, 101–111. [Google Scholar] [CrossRef] [PubMed]
- Ferrazza, A.; Martolini, D.; Valli, G.; Palange, P. Cardiopulmonary Exercise Testing in the Functional and Prognostic Evaluation of Patients with Pulmonary Diseases. Respiration 2009, 77, 3–17. [Google Scholar] [CrossRef] [PubMed]
- Fabrellas, E.F.; Sanchez, R.P.; Abad, C.S.; Samper, G.J. Prognosis and Follow-Up of Idiopathic Pulmonary Fibrosis. Med. Sci. 2018, 6, 51. [Google Scholar]
- Troy, L.K.; Young, I.H.; Lau, E.M.; Corte, T.J. Exercise pathophysiology and the role of oxygen therapy in idiopathic interstitial pneumonia. Respirology 2015, 21, 1005–1014. [Google Scholar] [CrossRef]
- van der Plas, M.N.; van Kan, C.; Blumenthal, J.; Jansen, H.M.; Wells, A.U.; Bresser, P. Pulmonary vascular limitation to exercise and survival in idiopathic pulmonary fibrosis. Respirology 2014, 19, 269–275. [Google Scholar] [CrossRef] [PubMed]
- Blanco, I.; Villaquirán, C.; Valera, J.L.; Molina-Molina, M.; Xaubet, A.; Rodríguez-Roisin, R.; Barberà, J.A.; Roca, J. Peak Oxygen Uptake During the Six-minute Walk Test in Diffuse Interstitial Lung Disease and Pulmonary Hypertension. Archivos Bronconeumol. 2010, 46, 122–128. [Google Scholar] [CrossRef]
- Boutou, A.K.; Pitsiou, G.G.; Trigonis, I.; Papakosta, D.; Kontou, P.K.; Chavouzis, N.; Nakou, C.; Argyropoulou, P.; Wasserman, K.; Stanopoulos, I. Exercise capacity in idiopathic pulmonary fibrosis: The effect of pulmonary hypertension. Respirology 2011, 16, 451–458. [Google Scholar] [CrossRef]
- Gläser, S.; Obst, A.; Koch, B.; Henkel, B.; Grieger, A.; Felix, S.B.; Halank, M.; Bruch, L.; Bollmann, T.; Warnke, C.; et al. Pulmonary Hypertension in Patients with Idiopathic Pulmonary Fibrosis—The Predictive Value of Exercise Capacity and Gas Exchange Efficiency. PLoS ONE 2013, 8, e65643. [Google Scholar] [CrossRef]
- Armstrong, H.F.; Thirapatarapong, W.; Dussault, N.E.; Bartels, M.N. Distinguishing Pulmonary Hypertension in Interstitial Lung Disease by Ventilation and Perfusion Defects Measured by Cardiopulmonary Exercise Testing. Respirology 2013, 86, 407–413. [Google Scholar] [CrossRef]
- Fukuda, C.Y.; Soares, M.R.; Pereira, C.A.D.C. A score without diffusion capacity of the lung for carbon monoxide for estimating survival in idiopathic pulmonary fibrosis. Medicine 2020, 99, e20739. [Google Scholar] [CrossRef]
- Lee, S.H.; Park, J.S.; Kim, S.Y.; Kim, D.S.; Kim, Y.W.; Chung, M.P.; Uh, S.T.; Park, C.S.; Park, S.W.; Jeong, S.H.; et al. Comparison of CPI and GAP models in patients with idiopathic pulmonary fibrosis: A nationwide cohort study. Sci. Rep. 2018, 8, 4784. [Google Scholar] [CrossRef] [PubMed]
- Sharp, C.; Adamali, H.I.; Millar, A.B. A comparison of published multidimensional indices to predict outcome in idiopathic pulmonary fibrosis. ERJ Open Res. 2017, 3, 96–2016. [Google Scholar] [CrossRef] [PubMed]
- Xaubet, A.; Agusti, C.; Luburich, P.; Roca, J.; Montón, C.; Ayuso, M.C.; Barberá, J.A.; Rodríguez-Roisin, R. Pulmonary Function Tests and CT Scan in the Management of Idiopathic Pulmonary Fibrosis. Am. J. Respir. Crit. Care Med. 1998, 158, 431–436. [Google Scholar] [CrossRef] [PubMed]
- Triantafillidou, C.; Manali, E.; Lyberopoulos, P.; Kolilekas, L.; Kagouridis, K.; Gyftopoulos, S.; Vougas, K.; Kotanidou, A.; Alchanatis, M.; Karakatsani, A.; et al. The Role of Cardiopulmonary Exercise Test in IPF Prognosis. Pulm. Med. 2013, 2013, 514817. [Google Scholar] [CrossRef] [PubMed]
- Kawut, S.M.; O’Shea, M.K.; Bartels, M.N.; Wilt, J.S.; Sonett, J.R.; Arcasoy, S.M. Exercise testing determines survival in patients with diffuse parenchymal lung disease evaluated for lung transplantation. Respir. Med. 2005, 99, 1431–1439. [Google Scholar] [CrossRef] [PubMed]
- Lama, V.N.; Flaherty, K.R.; Toews, G.B.; Colby, T.V.; Travis, W.D.; Long, Q.; Murray, S.; Kazerooni, E.A.; Gross, B.H.; Lynch, J.P.; et al. Prognostic Value of Desaturation during a 6-Minute Walk Test in Idiopathic Interstitial Pneumonia. Am. J. Respir. Crit. Care Med. 2003, 168, 1084–1090. [Google Scholar] [CrossRef] [PubMed]
- Lederer, D.; Arcasoy, S.M.; Wilt, J.S.; D’Ovidio, F.; Sonett, J.R.; Kawut, S.M. Six-Minute-Walk Distance Predicts Waiting List Survival in Idiopathic Pulmonary Fibrosis. Am. J. Respir. Crit. Care Med. 2006, 174, 659–664. [Google Scholar] [CrossRef]
- Kiani, A.; Eslaminejad, A.; Shafeipour, M.; Razavi, F.; Seyyedi, S.R.; Sharif-Kashani, B.; Emami, H.; Bakhshayesh-Karam, B.; Abedini, A. Spirometry, cardiopulmonary exercise testing and the six-minute walk test results in sarcoidosis patients. Sarcoidosis Vasc. Diffus. Lung Dis. 2019, 36, 185–194. [Google Scholar]
- Cahalin, L.; Pappagianopoulos, P.; Prevost, S.; Wain, J.; Ginns, L. The Relationship of the 6-Min Walk Test to Maximal Oxygen Consumption in Transplant Candidates With End-Stage Lung Disease. Chest 1995, 108, 452–459. [Google Scholar] [CrossRef] [PubMed]
- de Boer, S.; Kolbe, J.; Wilsher, M.L. Comparison of the modified shuttle walk test and cardiopulmonary exercise test in sarcoidosis. Respirology 2014, 19, 604–607. [Google Scholar] [CrossRef] [PubMed]
- Eaton, T.; Young, P.; Milne, D.; Wells, A.U. Six-minute walk, maximal exercise tests: Reproducibility in fibrotic interstitial pneumonia. Am. J. Respir. Crit. Care Med. 2005, 171, 1150–1157. [Google Scholar] [CrossRef] [PubMed]
- Lopes, A.; Menezes, S.; Dias, C.; Oliveira, J.; Mainenti, M.; Guimarães, F. Cardiopulmonary exercise testing variables as predictors of long-term outcome in thoracic sarcoidosis. Braz. J. Med. Biol. Res. 2012, 45, 256–263. [Google Scholar] [CrossRef] [PubMed]
- Teopompi, E.; Tzani, P.; Aiello, M.; Ramponi, S.; Visca, D.; Gioia, M.R.; Marangio, E.; Serra, W.; Chetta, A. Ventilatory Response to Carbon Dioxide Output in Subjects With Congestive Heart Failure and in Patients with COPD With Comparable Exercise Capacity. Respir. Care 2013, 59, 1034–1041. [Google Scholar] [CrossRef] [PubMed]
- Muhle, A.; Obst, A.; Winkler, J.; Ewert, R. Cardiopulmonary exercise testing in chronic obstructive pulmonary disease (COPD)—breath-functional characterization and disease severity assessment. Pneumologie 2015, 69, 534–544. [Google Scholar] [PubMed]
- Alencar, M.C.; Arbex, F.F.; Souza, A.; Mazzuco, A.; Sperandio, P.A.; Rocha, A.; Hirai, D.M.; Mancuso, F.; Berton, D.C.; Borghi-Silva, A.; et al. Does Exercise Ventilatory Inefficiency Predict Poor Outcome in Heart Failure Patients With COPD? J. Cardiopulm. Rehabil. Prev. 2016, 36, 454–459. [Google Scholar] [CrossRef] [PubMed]
- Thirapatarapong, W.; Armstrong, H.F.; Bartels, M.N. Comparing Cardiopulmonary Exercise Testing in Severe COPD Patients with and without Pulmonary Hypertension. Heart Lung Circ. 2014, 23, 833–840. [Google Scholar] [CrossRef] [PubMed]
- Puente-Maestu, L.; Palange, P.; Casaburi, R.; Laveneziana, P.; Maltais, F.; Neder, J.A.; O’Donnell, D.E.; Onorati, P.; Porszasz, J.; Rabinovich, R.; et al. Use of exercise testing in the evaluation of interventional efficacy: An official ERS statement. Eur. Respir. J. 2016, 47, 429–460. [Google Scholar] [CrossRef]
- Radtke, T.; Vogiatzis, I.; Urquhart, D.S.; Laveneziana, P.; Casaburi, R.; Hebestreit, H. Standardisation of cardiopulmonary exercise testing in chronic lung diseases: Summary of key findings from the ERS task force. Eur. Respir. J. 2019, 54, 1901441. [Google Scholar] [CrossRef]
- Wallaert, B.; Guetta, A.; Wemeau-Stervinou, L.; Terce, G.; Valette, M.; Neviere, R.; Aguilaniu, B. Prognostic value of clinical exercise testing in idiopathic pulmonary fibrosis. Rev. Mal. Respir 2011, 28, 290–296. [Google Scholar] [CrossRef]
- Fell, C.D.; Martinez, F.J.; Liu, L.X.; Murray, S.; Han, M.K.; Kazerooni, E.A.; Gross, B.H.; Myers, J.; Travis, W.D.; Colby, T.V.; et al. Clinical Predictors of a Diagnosis of Idiopathic Pulmonary Fibrosis. Am. J. Respir. Crit. Care Med. 2010, 181, 832–837. [Google Scholar] [CrossRef] [PubMed]
- Barratt, S.L.; Davis, R.; Sharp, C.; Pauling, J.D. The prognostic value of cardiopulmonary exercise testing in interstitial lung disease: A systematic review. ERJ Open Res. 2020, 6. [Google Scholar] [CrossRef] [PubMed]
- Behr, J.; Gunther, A.; Ammenwerth, W.; Bittmann, I.; Bonnet, R.; Buhl, R.; Eickelberg, O.; Ewert, R.; Gläser, S.; Gottlieb, J. German guideline for diagnosis and management of idiopathic pulmonary fibrosis. Pneumologie 2013, 67, 81–111. [Google Scholar] [PubMed]
- Cottin, V.; Nunes, H.; Brillet, P.-Y.; Delaval, P.; Devouassaoux, G.; Tillie-Leblond, I.; Israel-Biet, D.; Court-Fortune, I.; Valeyre, D.; Cordier, J.-F. Combined pulmonary fibrosis and emphysema: A distinct underrecognised entity. Eur. Respir. J. 2005, 26, 586–593. [Google Scholar] [CrossRef] [PubMed]
- Cottin, V. Combined pulmonary fibrosis and emphysema: Bad and ugly all the same? Eur. Respir. J. 2017, 50, 1700846. [Google Scholar] [CrossRef] [PubMed]
- Statement on sarcoidosis. Joint Statement of the American Thoracic Society (ATS), the European Respiratory Society (ERS) and the World Association of Sarcoidosis and Other Granulomatous Disorders (WASOG) adopted by the ATS Board of Directors and by the ERS Executive Committee, February 1999. Am. J. Respir Crit. Care Med. 1999, 160, 736–755. [Google Scholar]
- Raghu, G.; Remy-Jardin, M.; Ryerson, C.J.; Myers, J.L.; Kreuter, M.; Vasakova, M.; Bargagli, E.; Chung, J.H.; Collins, B.F.; Bendstrup, E.; et al. Diagnosis of Hypersensitivity Pneumonitis in Adults. An Official ATS/JRS/ALAT Clinical Practice Guideline. Am. J. Respir. Crit. Care Med. 2020, 202, e36–e69. [Google Scholar] [CrossRef] [PubMed]
- Belloli, E.A.; Beckford, R.; Hadley, R.; Flaherty, K.R. Idiopathic non-specific interstitial pneumonia. Respirology 2015, 21, 259–268. [Google Scholar] [CrossRef]
- Fischer, A.; Antoniou, K.M.; Brown, K.K.; Cadranel, J.; Corte, T.J.; Du Bois, R.M.; Lee, J.S.; Leslie, K.O.; Lynch, D.A.; Matteson, E.L.; et al. An official European Respiratory Society/American Thoracic Society research statement: Interstitial pneumonia with autoimmune features. Eur. Respir. J. 2015, 46, 976–987. [Google Scholar] [CrossRef]
- Skolnik, K.; Ryerson, C.J. Unclassifiable interstitial lung disease: A review. Respirology 2015, 21, 51–56. [Google Scholar] [CrossRef]
- Charlson, M.E.; Pompei, P.; Ales, K.L.; MacKenzie, C.R. A new method of classifying prognostic comorbidity in longitudinal studies: Development and validation. J. Chronic Dis. 1987, 40, 373–383. [Google Scholar] [CrossRef]
- ECotes, J.; Chinn, D.J.; Quanjer, P.H.; Roca, J.; Yernault, J.C. Standardization of the measurement of transfer factor (diffusing capacity). Report Working Party Standardization of Lung Function Tests, European Community for Steel and Coal. Official Statement of the European Respiratory Society. Eur. Respir. J. Suppl. 1993, 16, 41–52. [Google Scholar]
- Criée, C.-P.; Berdel, D.; Heise, D.; Kardos, P.; Köhler, D.; Leupold, W.; Magnussen, H.; Marek, W.; Merget, R.; Mitfessel, H.; et al. Empfehlungen der Deutschen Atemwegsliga zur Spirometrie; Dustri-Verlag Dr. Karl Feistle: Munich, Germany; Orlando, FL, USA, 2006. [Google Scholar]
- Criée, C.-P.; Berdel, D.; Heise, D.; Kardos, P.; Köhler, D.; Leupold, W.; Magnussen, H.; Marek, W.; Merget, R.; Mitfessel, H.; et al. Empfehlungen der Deutschen Atemwegsliga und der Deutschen Gesellschaft fur Pneumologie und Beatmungsmedizin. Empfehlungen zur Ganzkörperplethysmographie (Bodyplethysmographie); Dustri-Verlag Dr. Karl Feistle: Munich, Germany; Orlando, FL, USA, 2009. [Google Scholar]
- Glaser, S.; Ittermann, T.; Schaper, C.; Obst, A.; Dorr, M.; Spielhagen, T.; Felix, S.B.; Völzke, H.; Bollmann, T.; Opitz, C.F.; et al. The Study of Health in Pomerania (SHIP) reference values for cardiopulmonary exercise testing. Pneumologie 2013, 67, 58–63. [Google Scholar] [PubMed]
- Galie, N.; Humbert, M.; Vachiery, J.L.; Gibbs, S.; Lang, I.; Torbicki, A.; Simonneau, G.; Peacock, A.; Noordegraaf, A.V.; Beghetti, M.; et al. 2015 ESC/ERS Guidelines for the diagnosis and treatment of pulmonary hypertension. The Joint Task Force for the Diagnosis and Treatment of Pulmonary Hypertension of the European Society of Cardiology (ESC) and the European Respiratory Society (ERS). Eur. Respir. J. 2015, 46, 1855–1856. [Google Scholar] [CrossRef] [PubMed]
- Rosenkranz, S.; Behr, J.; Ewert, R.; Ghofrani, H.A.; Grunig, E.; Halank, M.; Leuchte, H.H.; Olschewski, H.; Schmeisser, A.; Speich, R.; et al. Right heart catheterization in pulmonary hypertension. Dtsch. Med. Wochenschr. 2011, 136, 2601–2616. [Google Scholar] [PubMed]
- Simonneau, G.; Montani, D.; Celermajer, D.; Denton, C.P.; Gatzoulis, M.A.; Krowka, M.; Williams, P.G.; Souza, R. Haemodynamic definitions and updated clinical classification of pulmonary hypertension. Eur. Respir. J. 2019, 53, 1801913. [Google Scholar] [CrossRef] [PubMed]
- Lang, R.M.; Badano, L.P.; Mor-Avi, V.; Afilalo, J.; Armstrong, A.; Ernande, L.; Flachskampf, F.A.; Foster, E.; Goldstein, S.A.; Kuznetsova, T.; et al. Recommendations for Cardiac Chamber Quantification by Echocardiography in Adults: An Update from the American Society of Echocardiography and the European Association of Cardiovascular Imaging. J. Am. Soc. Echocardiogr. 2015, 28, 233–271. [Google Scholar] [CrossRef] [PubMed]
- Weihs, W. Standardised echocardiography. J. Kardiol. 2018, 25, 299–305. [Google Scholar]
- Benzo, R.P.; Paramesh, S.; Patel, S.A.; Slivka, W.A.; Sciurba, F.C. Optimal Protocol Selection for Cardiopulmonary Exercise Testing in Severe COPD. Chest 2007, 132, 1500–1505. [Google Scholar] [CrossRef] [PubMed]
- Ewert, R.; Glaser, S.; Winkler, J.; Schrader, H.; Trumper, B.G.; Haase, P.U.; Obst, A.; Hoheisel, G. Cardiopulmonary Exercise Testing (CPET) in severe COPD—A multicentre comparison of two test protocols. Pneumologie 2012, 66, 402–407. [Google Scholar] [PubMed]
- Goos, T.; De Sadeleer, L.; Yserbyt, J.; Verleden, G.; Vermant, M.; Verleden, S.; Wuyts, W. Progression in the Management of Non-Idiopathic Pulmonary Fibrosis Interstitial Lung Diseases, Where Are We Now and Where We Would Like to Be. J. Clin. Med. 2021, 10, 1330. [Google Scholar] [CrossRef] [PubMed]
- Collins, B.F.; Raghu, G. Antifibrotic therapy for fibrotic lung disease beyond idiopathic pulmonary fibrosis. Eur. Respir. Rev. 2019, 28, 190022. [Google Scholar] [CrossRef] [PubMed]
- Wong, A.; Liang, J.; Cottin, V.; Ryerson, C. Diagnostic Features in Combined Pulmonary Fibrosis and Emphysema: A Systematic Review. B42. ILD Epidemiol. I 2020, 17, 1333–1336. [Google Scholar] [CrossRef]
- Girgis, R.E.; Hoeper, M.M. Pulmonary hypertension in fibrosing idiopathic interstitial pneumonia: Uncertainties, challenges and opportunities. J. Heart Lung Transplant. 2021, 40, 872–881. [Google Scholar] [CrossRef] [PubMed]
- King, C.S.; Shlobin, O.A. The Trouble With Group 3 Pulmonary Hypertension in Interstitial Lung Disease: Dilemmas in Diagnosis and the Conundrum of Treatment. Chest 2020, 158, 1651–1664. [Google Scholar] [CrossRef] [PubMed]
- Jankowich, M.D.; Rounds, S.I. Combined Pulmonary Fibrosis and Emphysema Syndrome: A Review. Chest 2012, 141, 222–231. [Google Scholar] [CrossRef] [PubMed]
- Layton, A.M.; Armstrong, H.F.; Kim, H.P.; Meza, K.S.; D’Ovidio, F.; Arcasoy, S.M. Cardiopulmonary exercise factors predict survival in patients with advanced interstitial lung disease referred for lung transplantation. Respir. Med. 2017, 126, 59–67. [Google Scholar] [CrossRef] [PubMed]
- Wallaert, B.; Wemeau-Stervinou, L.; Salleron, J.; Tillie-Leblond, I.; Perez, T. Do We Need Exercise Tests to Detect Gas Exchange Impairment in Fibrotic Idiopathic Interstitial Pneumonias? Pulm. Med. 2012, 2012, 657180. [Google Scholar] [CrossRef]
- Zou, R.H.; Wallace, W.D.; Nouraie, S.M.; Chan, S.Y.; Risbano, M.G. Lower DLco% identifies exercise pulmonary hypertension in patients with parenchymal lung disease referred for dyspnea. Pulm. Circ. 2019, 10, 1–11. [Google Scholar] [CrossRef]
- Molgat-Seon, Y.; Schaeffer, M.R.; Ryerson, C.J.; Guenette, J.A. Cardiopulmonary Exercise Testing in Patients With Interstitial Lung Disease. Front. Physiol. 2020, 11, 832. [Google Scholar] [CrossRef]
- Dumitrescu, D.; Nagel, C.; Kovacs, G.; Bollmann, T.; Halank, M.; Winkler, J.; Hellmich, M.; Grünig, E.; Olschewski, H.; Ewert, R.; et al. Cardiopulmonary exercise testing for detecting pulmonary arterial hypertension in systemic sclerosis. Heart 2017, 103, 774–782. [Google Scholar] [CrossRef]
- Dumitrescu, D.; Oudiz, R.J.; Karpouzas, G.; Hovanesyan, A.; Jayasinghe, A.; Hansen, J.E.; Rosenkranz, S.; Wasserman, K. Developing Pulmonary Vasculopathy in Systemic Sclerosis, Detected with Non-Invasive Cardiopulmonary Exercise Testing. PLoS ONE 2010, 5, e14293. [Google Scholar] [CrossRef] [PubMed]
- Lettieri, C.J.; Nathan, S.D.; Barnett, S.D.; Ahmad, S.; Shorr, A.F. Prevalence and Outcomes of Pulmonary Arterial Hypertension in Advanced Idiopathic Pulmonary Fibrosis. Chest 2006, 129, 746–752. [Google Scholar] [CrossRef] [PubMed]
- Hamada, K.; Nagai, S.; Tanaka, S.; Handa, T.; Shigematsu, M.; Nagao, T.; Mishima, M.; Kitaichi, M.; Izumi, T. Significance of Pulmonary Arterial Pressure and Diffusion Capacity of the Lung as Prognosticator in Patients with Idiopathic Pulmonary Fibrosis. Chest 2007, 131, 650–656. [Google Scholar] [CrossRef] [PubMed]
- Patel, N.M.; Lederer, D.; Borczuk, A.C.; Kawut, S.M. Pulmonary Hypertension in Idiopathic Pulmonary Fibrosis. Chest 2007, 132, 998–1006. [Google Scholar] [CrossRef] [PubMed]
- Corte, T.J.; Wort, S.J.; Gatzoulis, M.A.; Macdonald, P.; Hansell, D.M.; Wells, A.U. Pulmonary vascular resistance predicts early mortality in patients with diffuse fibrotic lung disease and suspected pulmonary hypertension. Thorax 2009, 64, 883–888. [Google Scholar] [CrossRef] [PubMed]
- Vainshelboim, B.; Oliveira, J.; Fox, B.D.; Kramer, M.R. The Prognostic Role of Ventilatory Inefficiency and Exercise Capacity in Idiopathic Pulmonary Fibrosis. Respir. Care 2016, 61, 1100–1109. [Google Scholar] [CrossRef] [PubMed]




| Parameter | Total | IPF | EAA | CPFE | Sarcoidosis | Other | ||||||
|---|---|---|---|---|---|---|---|---|---|---|---|---|
| n = 183 | n = 55 | n = 30 | n = 22 | n = 19 | n = 57 | |||||||
| N | N | N | N | N | N | |||||||
| Age (years) | 68.1 ± 10.4 | 72.8 ± 7.9 | 64.3 ± 10.5 | 71.1 ± 8.3 | 60.6 ± 12.1 | 66.8 ± 10.6 | ||||||
| Female | 59 (32%) | 14 (24%) | 11 (37%) | 1 (5%) | 9 (47%) | 24 (42%) | ||||||
| Height (cm) | 171 ± 10 | 170 ± 9 | 170 ± 9 | 174 ± 7 | 175 ± 13 | 170 ± 9 | ||||||
| Weight (kg) | 82 ± 17 | 80 ± 15 | 83 ± 16 | 82 ± 17 | 87 ± 29 | 81 ± 15 | ||||||
| BMI (kg/m2) | 28.0 ± 4.8 | 27.6 ± 3.8 | 28.5 ± 5.2 | 27.0 ± 4.9 | 28.1 ± 7.3 | 28.3 ± 4.5 | ||||||
| GAP score | 146 | 3.6 ± 1.5 | 48 | 3.8 ± 1.2 | 24 | 3.9 ± 1.5 | 17 | 4.4 ± 0.9 | 13 | 2.2 ± 1.5 | 44 | 3.4 ± 1.6 |
| Time from diagnosis to CPET (years) | 168 | 2.7 ± 6.1 | 50 | 1.5 ± 3.2 | 28 | 2.9 ± 5.3 | 20 | 0.0 ± 0.2 | 18 | 6.7 ± 14.0 | 52 | 1.5 ± 4.7 |
| Time from CPET to Censoring (years) | 180 | 3.0 ± 2.5 | 55 | 3.2 ± 2.4 | 30 | 3.3 ± 2.6 | 22 | 2.0 ± 1.7 | 19 | 2.7 ± 2.8 | 54 | 3.2 ± 2.7 |
| Comorbidities | ||||||||||||
| Dyslipidemia | 36 (20%) | 16 (29%) | 5 (17%) | 3 (14%) | 2 (11%) | 10 (18%) | ||||||
| Diabetes mellitus | 47 (26%) | 17 (31%) | 6 (20%) | 4 (18%) | 3 (16%) | 17 (30%) | ||||||
| Arterial hypertension | 104 (57%) | 34 (62%) | 17 (57%) | 11 (50%) | 8 (42%) | 34 (60%) | ||||||
| Atrial fibrillation | 34 (19%) | 13 (24%) | 5 (17%) | 6 (27%) | 1 (5%) | 9 (16%) | ||||||
| Chronic heart failure | 32 (17%) | 11 (20%) | 5 (17%) | 3 (14%) | 2 (11%) | 11 (19%) | ||||||
| PAOD | 8 (4%) | 4 (7%) | 1 (3%) | 1 (5%) | 0 (0%) | 2 (4%) | ||||||
| Renal insufficiency | 35 (19%) | 14 (25%) | 2 (7%) | 5 (23%) | 3 (16%) | 11 (19%) | ||||||
| Pulmonary hypertension | 69 (38%) | 12 (22%) | 15 (50%) | 14 (64%) | 7 (37%) | 21 (37%) | ||||||
| Cancer | 24 (13%) | 10 (18%) | 2 (7%) | 3 (14%) | 2 (11%) | 7 (12%) | ||||||
| Coronary artery disease | 47 (26%) | 16 (29%) | 5 (17%) | 12 (55%) | 2 (11%) | 12 (21%) | ||||||
| COPD/Asthma | 30 (16%) | 5 (9%) | 3 (10%) | 8 (36%) | 5 (26%) | 9 (16%) | ||||||
| Venous thromboembolic disease | 18 (10%) | 5 (9%) | 2 (7%) | 1 (5%) | 4 (21%) | 6 (11%) | ||||||
| Cerebrovascular disease | 13 (7%) | 3 (5%) | 2 (7%) | 3 (14%) | 0 (0%) | 5 (9%) | ||||||
| Charlson Index | 183 | 2.1 ± 2.0 | 55 | 2.4 ± 2.1 | 30 | 1.4 ± 1.5 | 22 | 2.6 ± 2.8 | 19 | 1.4 ± 1.4 | 57 | 2.1 ± 2.0 |
| Echocardiography | ||||||||||||
| LVEF | 151 | 41 | 25 | 19 | 15 | 50 | ||||||
| normal, >55% | 107 (71%) | 24 (59%) | 18 (72%) | 15 (79%) | 13 (81%) | 37 (74%) | ||||||
| reduced, <45% | 16 (11%) | 7 (17%) | 1 (4%) | 3 (16%) | 1 (6%) | 4 (8%) | ||||||
| TAPSE (mm) | 148 | 21 ± 5 | 44 | 20 ± 5 | 26 | 22 ± 5 | 18 | 20 ± 5 | 17 | 22 ± 4 | 43 | 22 ± 5 |
| TI | 169 | 124 (73%) | 48 | 37 (77%) | 28 | 20 (71%) | 20 | 18 (90%) | 17 | 12 (71%) | 56 | 37 (66%) |
| Estimated PAPsys (mmHg) | 124 | 47 ± 21 | 37 | 42 ± 16 | 20 | 54 ± 25 | 18 | 57 ± 18 | 12 | 38 ± 25 | 37 | 46 ± 19 |
| Right heart catheter | 19 | 16 | 16 | |||||||||
| RAPmean (mmHg) | 84 | 6.4 ± 4.4 | 18 | 5.2 ± 4.2 | 16 | 7.3 ± 2.8 | 16 | 6.4 ± 5.0 | 5 | 6.0 ± 3.3 | 29 | 6.8 ± 5.1 |
| PAPmean (mmHg) | 86 | 35.3 ± 13.0 | 19 | 28.6 ± 11.0 | 16 | 37.9 ± 14.5 | 16 | 38.1 ± 10.9 | 5 | 37.4 ± 6.8 | 30 | 36.3 ± 14.3 |
| PAPmean > 20 mmHg and PVR ≥ 3 | 84 | 66 (79%) | 19 | 13 (68%) | 16 | 15 (94%) | 16 | 13 (81%) | 4 | 4 (100%) | 29 | 21 (72%) |
| PAWP (mmHg) | 86 | 9.9 ± 5.7 | 19 | 7.9 ± 4.2 | 16 | 9.9 ± 4.6 | 16 | 11.6 ± 7.4 | 4 | 7.8 ± 3.9 | 30 | 10.4 ± 6.0 |
| PVR (WU) | 84 | 6.8 ± 5.2 | 19 | 5.5 ± 3.7 | 16 | 7.5 ± 6.5 | 16 | 6.3 ± 4.0 | 4 | 6.7 ± 2.3 | 29 | 7.5 ± 6.1 |
| CO/Thermo (L) | 87 | 4.4 ± 1.5 | 19 | 4.4 ± 1.3 | 16 | 4.5 ± 1.2 | 17 | 4.9 ± 1.7 | 5 | 4.3 ± 1.1 | 30 | 4.2 ± 1.6 |
| CI (L/min/m2) | 87 | 2.3 ± 0.7 | 19 | 2.4 ± 0.6 | 16 | 2.4 ± 0.8 | 17 | 2.4 ± 0.7 | 5 | 2.3 ± 0.5 | 30 | 2.2 ± 0.7 |
| Lung function testing | ||||||||||||
| TLC (%pred.) | 179 | 79 ± 20 | 54 | 76 ± 22 | 29 | 74 ± 17 | 21 | 90 ± 11 | 19 | 87 ± 19 | 56 | 79 ± 20 |
| reduced, <80% | 179 | 96 (54%) | 54 | 35 (65%) | 29 | 20 (69%) | 21 | 5 (24%) | 19 | 6 (32%) | 56 | 30 (54%) |
| VC (%pred.) | 178 | 77 ± 22 | 53 | 80 ± 23 | 29 | 69 ± 23 | 21 | 90 ± 13 | 19 | 77 ± 17 | 56 | 74 ± 22 |
| reduced, <80% | 178 | 94 (53%) | 53 | 25 (47%) | 29 | 20 (69%) | 21 | 5 (24%) | 19 | 12 (63%) | 56 | 32 (57%) |
| FVC (%pred.) | 179 | 81 ± 22 | 54 | 84 ± 23 | 29 | 71 ± 21 | 21 | 94 ± 14 | 19 | 85 ± 18 | 56 | 76 ± 23 |
| reduced, <80% | 179 | 52 (29%) | 54 | 13 (24%) | 29 | 12 (41%) | 21 | 0 (0%) | 19 | 4 (21%) | 56 | 23 (41%) |
| FEV1 (%pred.) | 179 | 81 ± 22 | 54 | 90 ± 21 | 29 | 72 ± 18 | 21 | 88 ± 17 | 19 | 78 ± 22 | 56 | 76 ± 24 |
| FEV1/FVC (%) | 180 | 80 ± 13 | 54 | 83 ± 9 | 29 | 80 ± 18 | 21 | 71 ± 10 | 19 | 74 ± 12 | 56 | 82 ± 12 |
| RV (%pred.) | 179 | 87 ± 35 | 54 | 73 ± 37 | 29 | 85 ± 25 | 21 | 93 ± 27 | 19 | 107 ± 32 | 57 | 93 ± 36 |
| RV/TLC (%pred.) | 178 | 42 ± 13 | 53 | 37 ± 11 | 29 | 43 ± 8 | 21 | 39 ± 8 | 19 | 43 ± 7 | 56 | 46 ± 17 |
| DLCO (%pred.) | 146 | 44 ± 26 | 48 | 47 ± 35 | 24 | 38 ± 16 | 17 | 30 ± 11 | 13 | 58 ± 20 | 44 | 46 ± 20 |
| reduced, <60% pp | 146 | 120 (82%) | 48 | 42 (88%) | 24 | 21 (88%) | 17 | 16 (94%) | 13 | 6 (46%) | 44 | 35 (80%) |
| KCO (%pred.) | 151 | 61 ± 22 | 48 | 63 ± 17 | 24 | 57 ± 18 | 18 | 41 ± 13 | 15 | 72 ± 30 | 46 | 64 ± 25 |
| reduced, <60% | 151 | 74 (49%) | 48 | 21 (44%) | 24 | 13 (54%) | 18 | 16 (89%) | 15 | 4 (27%) | 46 | 20 (43%) |
| CPET | ||||||||||||
| Max. performance Watt | 183 | 83 ± 33 | 55 | 83 ± 29 | 30 | 77 ± 29 | 22 | 76 ± 31 | 19 | 106 ± 45 | 57 | 82 ± 32 |
| Max. performance (%pred.) | 183 | 67 ± 30 | 55 | 67 ± 27 | 30 | 63 ± 31 | 22 | 49 ± 19 | 19 | 79 ± 27 | 57 | 71 ± 35 |
| VO2peak (mL/min/kg) | 183 | 14 ± 5 | 55 | 15 ± 5 | 30 | 14 ± 4 | 22 | 12 ± 4 | 19 | 17 ± 5 | 57 | 15 ± 5 |
| VO2peak (%pred.) | 183 | 62 ± 21 | 55 | 65 ± 20 | 30 | 58 ± 19 | 22 | 48 ± 15 | 19 | 69 ± 19 | 57 | 65 ± 23 |
| VO2 @ AT (% share VO2peak pred.) | 173 | 40 ± 11 | 54 | 41 ± 11 | 28 | 40 ± 12 | 21 | 33 ± 8 | 19 | 43 ± 9 | 57 | 42 ± 13 |
| pathological, <40% | 173 | 89 (51%) | 54 | 24 (44%) | 28 | 17 (61%) | 21 | 17 (81%) | 19 | 7 (37%) | 57 | 24 (47%) |
| VO2/HR max. (mL/beat) | 183 | 10.3 ± 4.7 | 55 | 11.5 ± 6.6 | 30 | 9.5 ± 3.2 | 22 | 8.4 ± 2.7 | 19 | 10.8 ± 4.2 | 57 | 10.0 ± 3.6 |
| VÉ/VCO2 slope | 168 | 44 ± 14 | 53 | 44 ± 14 | 26 | 45 ± 15 | 20 | 56 ± 16 | 19 | 35 ± 8 | 50 | 42 ± 13 |
| pathological, >34 | 168 | 130 (77%) | 53 | 43 (81%) | 26 | 20 (77%) | 20 | 19 (95%) | 19 | 13 (68%) | 50 | 35 (70%) |
| VÉ/VCO2 rest | 179 | 48 ± 11 | 54 | 47 ± 9 | 29 | 48 ± 11 | 20 | 56 ± 11 | 19 | 44 ± 7 | 56 | 47 ± 11 |
| VÉ/VCO2 @ AT | 168 | 44 ± 12 | 53 | 44 ± 11 | 26 | 42 ± 10 | 20 | 54 ± 13 | 19 | 38 ± 7 | 50 | 43 ± 13 |
| petCO2 rest (mmHg) | 174 | 28 ± 5 | 53 | 29 ± 4 | 29 | 28 ± 5 | 19 | 24 ± 4 | 19 | 29 ± 4 | 54 | 29 ± 5 |
| petCO2 @ AT (mmHg) | 169 | 30 ± 6 | 52 | 30 ± 5 | 27 | 30 ± 7 | 19 | 24 ± 6 | 19 | 33 ± 5 | 54 | 30 ± 6 |
| AaDO2 max (mmHg) | 139 | 57 ± 17 | 44 | 55 ± 15 | 23 | 66 ± 14 | 18 | 68 ± 16 | 15 | 41 ± 15 | 39 | 55 ± 15 |
| pathological, >35 | 139 | 125 (90%) | 44 | 41 (93%) | 23 | 23 (100%) | 18 | 16 (89%) | 15 | 9 (60%) | 39 | 36 (92%) |
| PaetCO2 rest (mmHg) | 148 | 8.3 ± 4.9 | 45 | 8.3 ± 4.8 | 23 | 7.9 ± 5.0 | 19 | 11.0 ± 4.4 | 19 | 6.9 ± 3.5 | 42 | 7.9 ± 5.4 |
| PaetCO2 max (mmHg) | 133 | 9.7 ± 5.5 | 42 | 9.7 ± 4.5 | 21 | 11.4 ± 6.0 | 18 | 13.3 ± 4.3 | 15 | 3.5 ± 4.1 | 37 | 9.4 ± 5.5 |
| pathological, >6 | 133 | 97 (73%) | 42 | 34 (81%) | 21 | 17 (81%) | 18 | 17 (94%) | 15 | 3 (20%) | 37 | 26 (70%) |
| VÉ/MVV (%) | 179 | 68 ± 21 | 54 | 63 ± 20 | 28 | 71 ± 19 | 21 | 64 ± 17 | 19 | 64 ± 18 | 57 | 73 ± 24 |
| pathological, >80% | 179 | 36 (20%) | 54 | 6 (11%) | 28 | 8 (28%) | 21 | 2 (10%) | 19 | 2 (11%) | 57 | 18 (32%) |
| IC max − IC rest (L) | 155 | 0.02 ± 0.49 | 48 | 0.19 ± 0.50 | 25 | 0.00 ± 0.53 | 19 | −0.18 ± 0.48 | 18 | −0.04 ± 0.45 | 45 | −0.04 ± 0.42 |
| pathological, <0 | 155 | 81 (52%) | 48 | 16 (33%) | 25 | 16 (64%) | 19 | 12 (63%) | 18 | 11 (61%) | 45 | 26 (58%) |
| EELV max − EELV rest (L) | 153 | −0.13 ± 0.35 | 48 | −0.20 ± 0.31 | 25 | −0.09 ± 0.33 | 19 | −0.23 ± 0.42 | 17 | 0.10 ± 0.40 | 44 | −0.13 ± 0.31 |
| pathological, >0 | 153 | 48 (31%) | 48 | 13 (27%) | 25 | 9 (36%) | 19 | 5 (26%) | 17 | 11 (65%) | 44 | 10 (23%) |
| BF rest (/min) | 183 | 22.3 ± 8.0 | 55 | 21.1 ± 7.3 | 30 | 24.0 ± 9.1 | 22 | 21.3 ± 6.2 | 19 | 18.3 ± 5.7 | 57 | 24.2 ± 8.7 |
| BF max (/min) | 183 | 37.7 ± 10.3 | 55 | 37.1 ± 11.1 | 30 | 39.4 ± 10.6 | 22 | 34.0 ± 8.6 | 19 | 33.0 ± 6.1 | 57 | 40.5 ± 10.3 |
| VT rest (L) | 183 | 0.77 ± 0.34 | 55 | 0.74 ± 0.31 | 30 | 0.80 ± 0.40 | 22 | 0.85 ± 0.39 | 19 | 0.91 ± 0.47 | 57 | 0.70 ± 0.24 |
| VT max (L) | 183 | 1.6 ± 0.6 | 55 | 1.6 ± 0.5 | 30 | 1.6 ± 0.7 | 22 | 2.0 ± 0.6 | 19 | 1.8 ± 0.7 | 57 | 1.50 ± 0.60 |
| VÉ max (L/min) | 183 | 58.1 ± 16.9 | 55 | 57.9 ± 15.8 | 30 | 57.0 ± 18.1 | 22 | 63.5 ± 16.6 | 19 | 57.7 ± 19.1 | 57 | 57.0 ± 16.8 |
| HR rest (bpm) | 183 | 80 ± 16 | 55 | 75 ± 19 | 30 | 81 ± 15 | 22 | 78 ± 16 | 19 | 85 ± 11 | 57 | 83 ± 15 |
| HR max (bpm) | 183 | 117 ± 22 | 55 | 110 ± 25 | 30 | 120 ± 19 | 22 | 113 ± 20 | 19 | 133 ± 17 | 57 | 120 ± 21 |
| SysBP rest (mmHg) | 172 | 115 ± 17 | 49 | 114 ± 16 | 30 | 114 ± 17 | 22 | 117 ± 17 | 17 | 116 ± 16 | 54 | 115 ± 18 |
| SysBP max (mmHg) | 180 | 138 ± 34 | 53 | 127 ± 23 | 30 | 138 ± 41 | 22 | 134 ± 28 | 19 | 167 ± 39 | 56 | 140 ± 34 |
| DiasBP rest (mmHg) | 175 | 74 ± 13 | 50 | 71 ± 13 | 30 | 76 ± 14 | 22 | 73 ± 13 | 17 | 79 ± 12 | 56 | 75 ± 11 |
| DiasBP max (mmHg) | 181 | 77 ± 18 | 53 | 72 ± 13 | 30 | 76 ± 15 | 22 | 74 ± 14 | 19 | 95 ± 14 | 57 | 78 ± 22 |
Publisher’s Note: MDPI stays neutral with regard to jurisdictional claims in published maps and institutional affiliations. |
© 2022 by the authors. Licensee MDPI, Basel, Switzerland. This article is an open access article distributed under the terms and conditions of the Creative Commons Attribution (CC BY) license (https://creativecommons.org/licenses/by/4.0/).
Share and Cite
Stubbe, B.; Ittermann, T.; Grieger, A.; Walther, C.; Gläser, S.; Ewert, R. Value of Cardiopulmonary Exercise Testing in Prognostic Assessment of Patients with Interstitial Lung Diseases. J. Clin. Med. 2022, 11, 1609. https://doi.org/10.3390/jcm11061609
Stubbe B, Ittermann T, Grieger A, Walther C, Gläser S, Ewert R. Value of Cardiopulmonary Exercise Testing in Prognostic Assessment of Patients with Interstitial Lung Diseases. Journal of Clinical Medicine. 2022; 11(6):1609. https://doi.org/10.3390/jcm11061609
Chicago/Turabian StyleStubbe, Beate, Till Ittermann, Anita Grieger, Charlotte Walther, Sven Gläser, and Ralf Ewert. 2022. "Value of Cardiopulmonary Exercise Testing in Prognostic Assessment of Patients with Interstitial Lung Diseases" Journal of Clinical Medicine 11, no. 6: 1609. https://doi.org/10.3390/jcm11061609
APA StyleStubbe, B., Ittermann, T., Grieger, A., Walther, C., Gläser, S., & Ewert, R. (2022). Value of Cardiopulmonary Exercise Testing in Prognostic Assessment of Patients with Interstitial Lung Diseases. Journal of Clinical Medicine, 11(6), 1609. https://doi.org/10.3390/jcm11061609

