Early Renal Ultrasound in Patients with Congenital Solitary Kidney Can Guide Follow-Up Strategy Reducing Costs While Keeping Long-Term Prognostic Information
Abstract
1. Introduction
2. Materials and Methods
2.1. Inclusion and Exclusion Criteria
2.2. CAKUTs Definitions
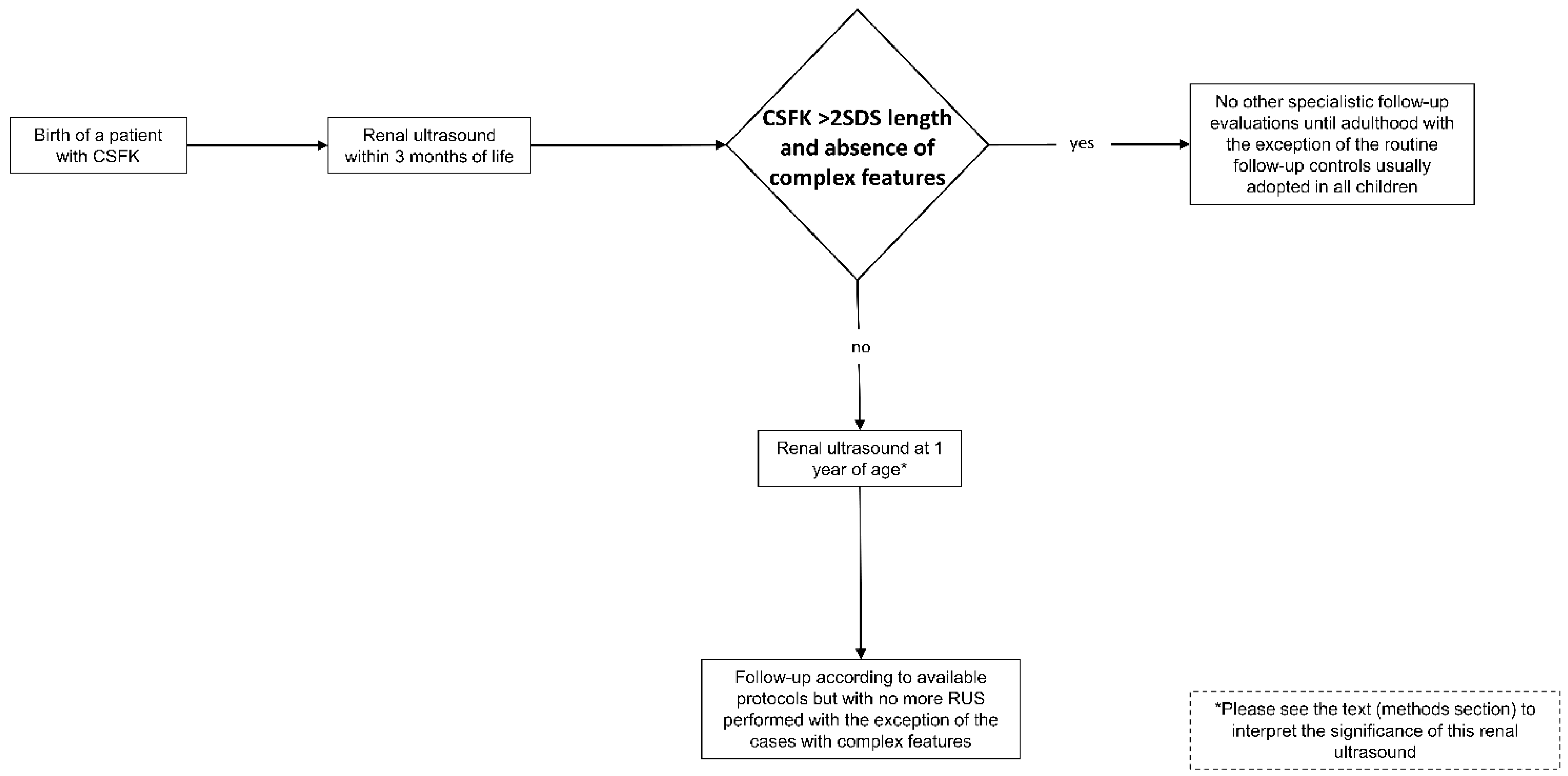
2.3. Follow-Up Assessment
2.4. Kidney Injury Definition
2.5. ERUSA
2.6. Cost Analysis
2.7. Statistical Analysis
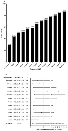
3. Results
3.1. Study Population
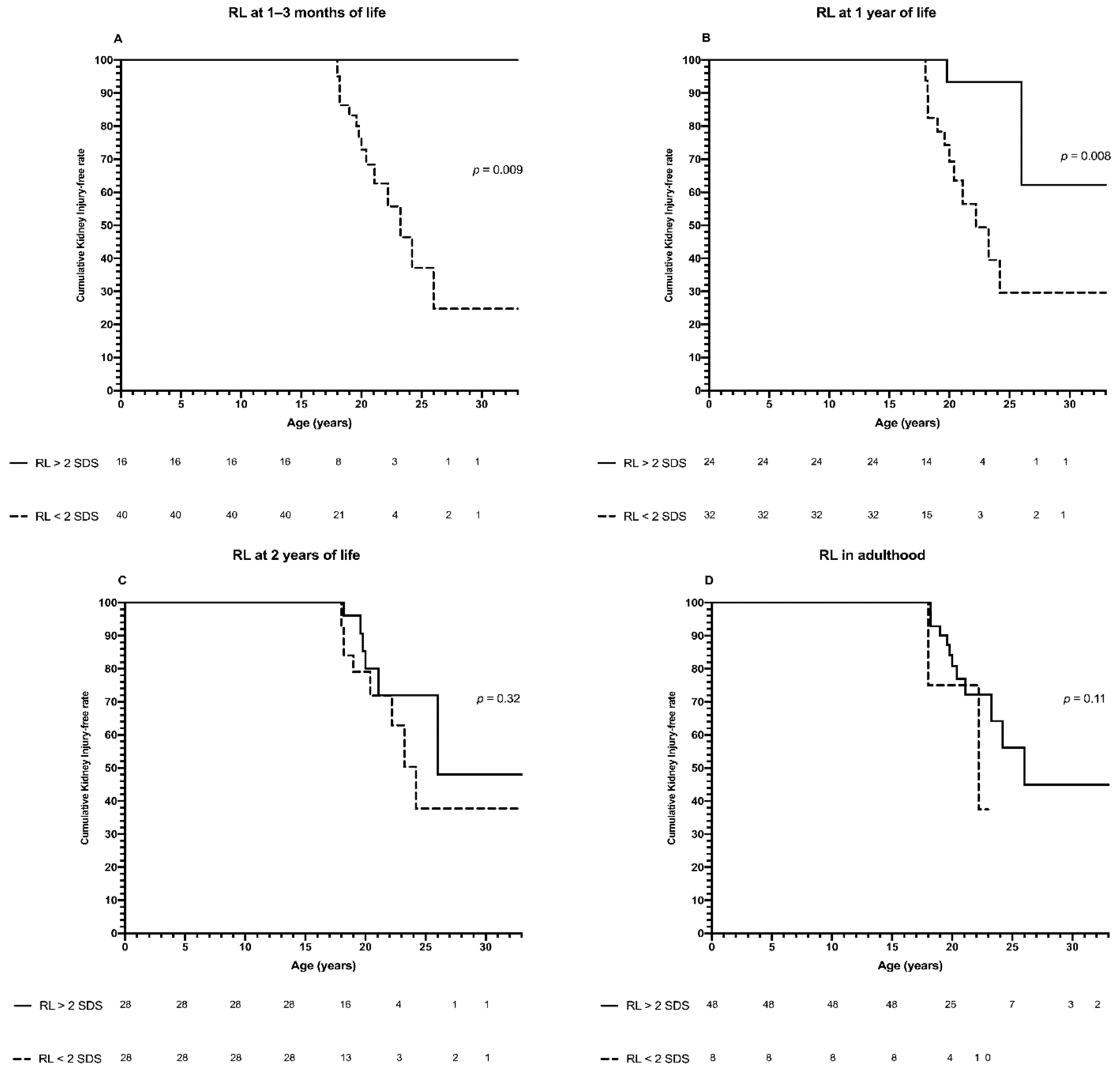
3.2. Kaplan-Meier Analysis
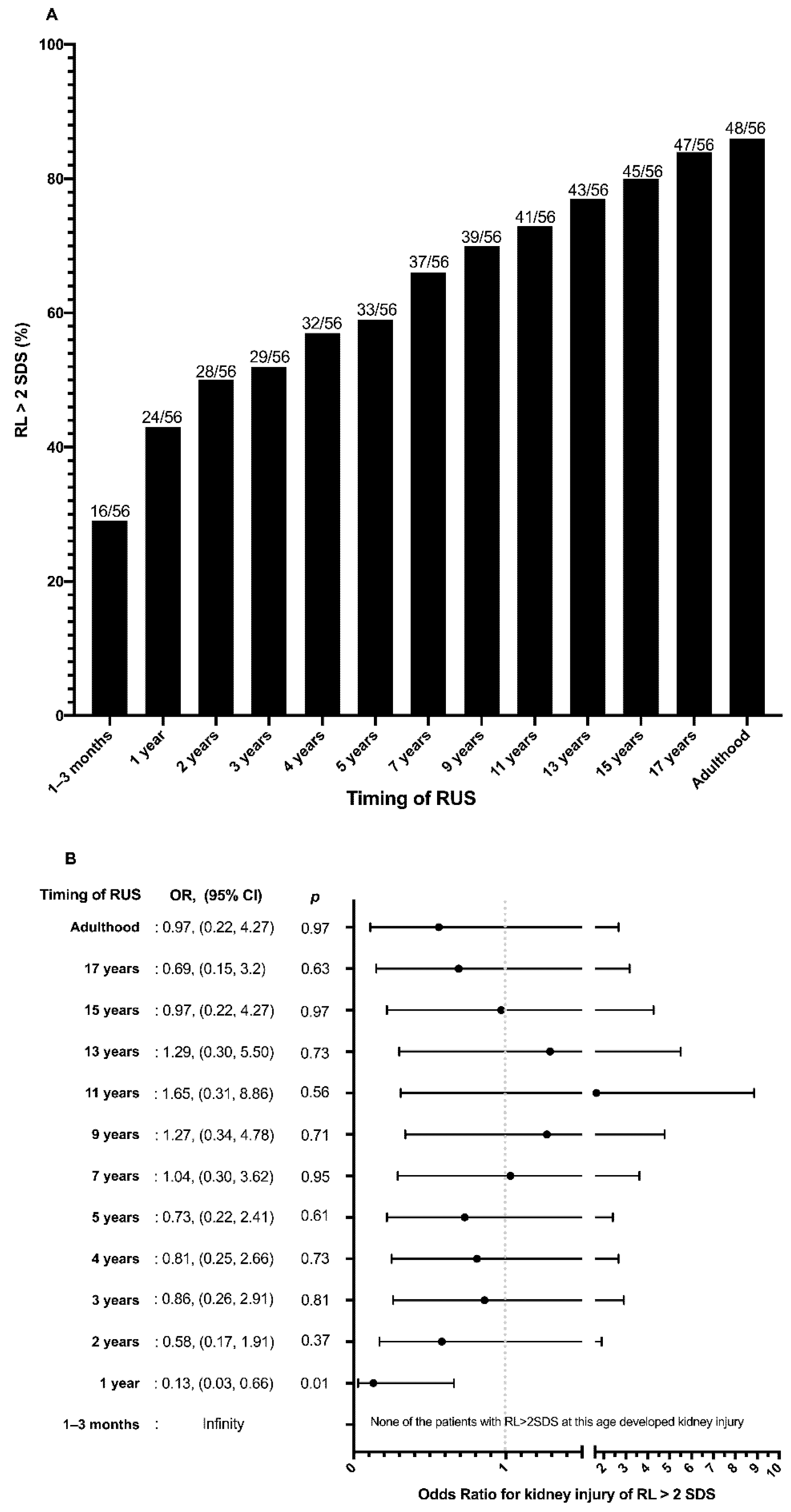
3.3. Diagnostic Performance of RL > 2SDS at RUS toward KI in Adulthood (Primary Outcome)
3.4. Cost Analysis (Secondary Outcome)
4. Discussion
5. Conclusions
Author Contributions
Funding
Institutional Review Board Statement
Informed Consent Statement
Data Availability Statement
Conflicts of Interest
References
- La Scola, C.; Ammenti, A.; Puccio, G.; Lega, M.V.; De Mutiis, C.; Guiducci, C.; De Petris, L.; Perretta, R.; Venturoli, V.; Vergine, G.; et al. Congenital Solitary Kidney in Children: Size Matters. J. Urol. 2016, 196, 1250–1256. [Google Scholar] [CrossRef] [PubMed]
- Groen in ’t Woud, S.; Westland, R.; Feitz, W.F.J.; Roeleveld, N.; van Wijk, J.A.E.; van der Zanden, L.F.M.; Schreuder, M.F. Clinical Management of Children with a Congenital Solitary Functioning Kidney: Overview and Recommendations. Eur. Urol. Open Sci. 2021, 25, 11–20. [Google Scholar] [CrossRef] [PubMed]
- Marzuillo, P.; Guarino, S.; Ursi, D.; Di Sessa, A.; Rambaldi, P.F.; La Manna, A.; Miraglia Del Giudice, E.; Polito, C. Early renal ultrasound in congenital solitary kidney may help to select patients at lower risk of associated vesico-ureteral reflux. Neonatology 2021, 118, 482–486. [Google Scholar] [CrossRef] [PubMed]
- Marzuillo, P.; Guarino, S.; Grandone, A.; Di Somma, A.; Diplomatico, M.; Rambaldi, P.F.; Decimo, F.; Miraglia del Giudice, E.; La Manna, A.; Polito, C. Congenital solitary kidney size at birth could predict reduced eGFR levels later in life. J. Perinatol. 2019, 39, 129–134. [Google Scholar] [CrossRef] [PubMed]
- Sammut, S.; Behr, L.; Hekmati, M.; Gubler, M.C.; Laborde, K.; Lelièvre Pégorier, M. Compensatory renal growth after unilateral or subtotal nephrectomy in the ovine fetus. Pediatr. Res. 2013, 74, 624–632. [Google Scholar] [CrossRef] [PubMed]
- van Vuuren, S.H.; van der Doef, R.; Cohen-Overbeek, T.E.; Goldschmeding, R.; Pistorius, L.R.; de Jong, T.P.V.M. Compensatory enlargement of a solitary functioning kidney during fetal development. Ultrasound Obstet. Gynecol. 2012, 40, 665–668. [Google Scholar] [CrossRef]
- Douglas-Denton, R.; Moritz, K.M.; Bertram, J.F.; Wintour, E.M. Compensatory renal growth after unilateral nephrectomy in the ovine fetus. J. Am. Soc. Nephrol. 2002, 13, 406–410. [Google Scholar] [CrossRef]
- Schreuder, M.F. Safety in glomerular numbers. Pediatr. Nephrol. 2012, 27, 1881–1887. [Google Scholar] [CrossRef]
- Weinstein, A.; Goodman, T.R.; Iragorri, S. Simple multicystic dysplastic kidney disease: End points for subspecialty follow-up. Pediatr. Nephrol. 2008, 23, 111–116. [Google Scholar] [CrossRef]
- Jawa, N.A.; Rosenblum, N.D.; Radhakrishnan, S.; Pearl, R.J.; Levin, L.; Matsuda-Abedini, M. Reducing Unnecessary Imaging in Children With Multicystic Dysplastic Kidney or Solitary Kidney. Pediatrics 2021, 148, e2020035550. [Google Scholar] [CrossRef]
- Marzuillo, P.; Guarino, S.; Di Sessa, A.; Rambaldi, P.F.; Reginelli, A.; Vacca, G.; Cappabianca, S.; Capalbo, D.; Esposito, T.; De Luca Picione, C.; et al. Congenital solitary kidney from birth to adulthood. J. Urol. 2021, 205, 1466–1475. [Google Scholar] [CrossRef] [PubMed]
- Marzuillo, P.; Grandone, A.; Coppola, R.; Cozzolino, D.; Festa, A.; Messa, F.; Luongo, C.; del Giudice, E.M.; Perrone, L. Novel cAMP binding protein-BP (CREBBP) mutation in a girl with Rubinstein-Taybi syndrome, GH deficiency, Arnold Chiari malformation and pituitary hypoplasia. BMC Med. Genet. 2013, 14, 28. [Google Scholar] [CrossRef] [PubMed]
- Marzuillo, P.; Guarino, S.; Grandone, A.; Di Somma, A.; Della Vecchia, N.; Esposito, T.; Macchini, G.; Marotta, R.; Apicella, A.; Diplomatico, M.; et al. Outcomes of a Cohort of Prenatally Diagnosed and Early Enrolled Patients with Congenital Solitary Functioning Kidney. J. Urol. 2017, 198, 1153–1158. [Google Scholar] [CrossRef] [PubMed]
- Schwartz, G.J.; Brion, L.P.; Spitzer, A. The use of plasma creatinine concentration for estimating glomerular filtration rate in infants, children, and adolescents. Pediatr. Clin. N. Am. 1987, 34, 571–590. [Google Scholar] [CrossRef]
- Levey, A.S.; Stevens, L.A. Estimating GFR Using the CKD Epidemiology Collaboration (CKD-EPI) Creatinine Equation: More Accurate GFR Estimates, Lower CKD Prevalence Estimates, and Better Risk Predictions. Am. J. Kidney Dis. 2010, 55, 622–627. [Google Scholar] [CrossRef] [PubMed]
- Williams, B.; Mancia, G.; Spiering, W.; Agabiti Rosei, E.; Azizi, M.; Buriner, M.; Clement, D.L.; Coca, A.; De Simone, G.; Dominiczak, A.; et al. 2018 ESC/ESH Guidelines for the management of arterial hypertension|European Heart Journal|Oxford Academic. Eur. Heart J. 2018, 39, 3021–3104. [Google Scholar] [CrossRef]
- National High Blood Pressure Education Program Working Group on High Blood Pressure in Children and Adolescents. The fourth report on the diagnosis, evaluation, and treatment of high blood pressure in children and adolescents. Pediatrics 2004, 114, 555–576. [Google Scholar] [CrossRef]
- Hogg, R.J.; Furth, S.; Lemley, K.V.; Portman, R.; Schwartz, G.J.; Coresh, J.; Balk, E.; Lau, J.; Levin, A.; Kausz, A.T.; et al. National Kidney Foundation’s Kidney Disease Outcomes Quality Initiative clinical practice guidelines for chronic kidney disease in children and adolescents: Evaluation, classification, and stratification. Pediatrics 2003, 111, 1416–1421. [Google Scholar] [CrossRef]
- Flynn, J.T.; Falkner, B.E. New clinical practice guideline for the management of high blood pressure in children and adolescents. Hypertension 2017, 70, 683–686. [Google Scholar] [CrossRef]
- Pennesi, M.; Amoroso, S.; Pennesi, G.; Giangreco, M.; Cattaruzzi, E.; Pesce, M.; Busetti, M.; Barbi, E.; Conversano, E. Is ultrasonography mandatory in all children at their first febrile urinary tract infection? Pediatr. Nephrol. 2021, 36, 1809–1816. [Google Scholar] [CrossRef]
- Tariffari Nazionali Delle Prestazioni Del Ssn. Available online: https://www.salute.gov.it/portale/temi/p2_6.jsp?lingua=italiano&id=3662&area=programmazioneSanitariaLea&menu=vuoto (accessed on 16 September 2021).
- Pradelli, L.; Ghetti, G. A general model for the estimation of societal costs of lost production and informal care in Italy. Farmeconomia Health Econ. Ther. Pathw. 2017, 18, 5–14. [Google Scholar] [CrossRef][Green Version]
- Marzuillo, P.; Guarino, S.; Di Sessa, A.; Liguori, L.; Rambaldi, P.F.; Belfiore, M.P.; Umano, G.R.; Lauretta, D.; Dinardo, G.; Miraglia del Giudice, E.; et al. Evolution of congenital anomalies of urinary tract in children with and without solitary kidney. Pediatr. Res. 2021. [Google Scholar] [CrossRef]
- Marokakis, S.; Kasparian, N.A.; Kennedy, S.E. Prenatal counselling for congenital anomalies: A systematic review. Prenat. Diagn. 2016, 36, 662–671. [Google Scholar] [CrossRef] [PubMed]
- Fontoura, F.C.; Cardoso, M.V.L.M.L.; Rodrigues, S.E.; de Almeida, P.C.; Carvalho, L.B. Anxiety of mothers of newborns with congenital malformations in the pre-and postnatal periods. Rev. Lat. Am. Enferm. 2018, 26, e3080. [Google Scholar] [CrossRef] [PubMed]
- Reddy, U.M.; Filly, R.A.; Copel, J.A. Prenatal imaging: Ultrasonography and magnetic resonance imaging. Obstet. Gynecol. 2008, 112, 145–157. [Google Scholar] [CrossRef]
- Sanna-Cherchi, S.; Ravani, P.; Corbani, V.; Parodi, S.; Haupt, R.; Piaggio, G.; Innocenti, M.L.D.; Somenzi, D.; Trivelli, A.; Caridi, G.; et al. Renal outcome in patients with congenital anomalies of the kidney and urinary tract. Kidney Int. 2009, 76, 528–533. [Google Scholar] [CrossRef] [PubMed]
- Westland, R.; Kurvers, R.A.J.; van Wijk, J.A.E.; Schreuder, M.F. Risk Factors for Renal Injury in Children With a Solitary Functioning Kidney. Pediatrics 2013, 131, e478–e485. [Google Scholar] [CrossRef]
- Matsell, D.G.; Bao, C.; Po White, T.; Chan, E.; Matsell, E.; Cojocaru, D.; Catapang, M. Outcomes of solitary functioning kidneys-renal agenesis is different than multicystic dysplastic kidney disease. Pediatr. Nephrol. 2021, 36, 3673–3680. [Google Scholar] [CrossRef]
- Braconnier, P.; Piskunowicz, M.; Vakilzadeh, N.; Müller, M.E.; Zürcher, E.; Burnier, M.; Pruijm, M. How reliable is renal ultrasound to measure renal length and volume in patients with chronic kidney disease compared with magnetic resonance imaging? Acta Radiol. 2020, 61, 117–127. [Google Scholar] [CrossRef]
- Ablett, M.J.; Coulthard, A.; Lee, R.E.J.; Richardson, D.L.; Bellas, T.; Owen, J.P.; Keir, M.J.; Butler, T.J. How reliable are ultrasound measurements of renal length in adults? Br. J. Radiol. 1995, 68, 1087–1089. [Google Scholar] [CrossRef]
- Bakker, J.; Olree, M.; Kaatee, R.; De Lange, E.E.; Moons, K.G.M.; Beutler, J.J.; Beek, F.J.A. Renal Volume Measurements: Accuracy and Repeatability of US Compared with That of MR Imaging. Radiology 1999, 211, 623–628. [Google Scholar] [CrossRef] [PubMed]
- Emamian, S.A.; Nielsen, M.B.; Pedersen, J.F.; Ytte, L. Kidney dimensions at sonography: Correlation with age, sex, and habitus in 665 adult volunteers. AJR Am. J. Roentgenol. 1993, 160, 83–86. [Google Scholar] [CrossRef] [PubMed]




| RL < 2SDS (n = 40) | RL > 2SDS (n = 16) | p | |
|---|---|---|---|
| Female gender, No. (%) | 16 (40) | 4 (25) | 0.49 |
| MCDK, No. (%) | 23 (57.5) | 7 (43.8) | 0.35 |
| Birth weight, mean (SDS), g | 3100 (612) | 3180 (490) | 0.64 |
| Birth weight < 2.500 kg, % | 6 (15.0) | 2 (12.5) | 0.80 |
| CAKUT of CSFK, No. (%) | 13 (32.5) | 0 | 0.01 |
| Febrile urinary tract infections, No. (%) | 3 (7.5) | 0 | 0.26 |
| Age at last follow-up, median (CI), year | 20.0 (19.0/21.8) | 19.9 (18.4/23.0) | 0.68 |
| SUA, mean (SDS), mg/dL | 5.2 (1.4) | 5.5 (1.5) | 0.51 |
| SBP, mean (SDS), mmHg | 116.9 (11.5) | 119.1 (11.4) | 0.52 |
| DBP, mean (SDS), mmHg | 66.0 (10.1) | 69.5 (7.2) | 0.27 |
| SBP24 h, median (CI), mmHg | 114.2 (111.0/124.3) | 111.3 (105.1/122.4) | 0.78 |
| DBP24 h, mean (SDS), mmHg | 69.0 (6.0) | 67.1 (5.7) | 0.41 |
| SBPday, mean (SDS), mmHg | 119.0 (10.6) | 115.6 (10.0) | 0.24 |
| DBPday, mean (SDS), mmHg | 70.8 (6.1) | 69.3 (6.8) | 0.42 |
| SBPnight, mean (SDS), mmHg | 108.8 (11.7) | 104.8 (9.8) | 0.25 |
| DBPnight, mean (SDS), mmHg | 60.7 (7.1) | 61.7 (5.2) | 0.63 |
| Systolic dipping, median (CI), % | 8.4 (5.0/12.0) | 8.3 (4.5/12.5) | 0.98 |
| Diastolic dipping, mean (SDS), % | 13.5 (6.8) | 9.6 (8.3) | 0.08 |
| Systolic load, median (CI), % | 11.9 (6.9/24.0) | 8.0 (0/14.9) | 0.12 |
| Diastolic load, median (CI), % | 20.0 (9.5/27.0) | 16.6 (6.8/25.0) | 0.95 |
| eGFR, mean (SDS), mL/min/1.73 m2 | 108.6 (14.3) | 118.7 (9.6) | 0.01 |
| UPr/Cr, median (CI), mg/mg | 0.06 (0.05/0.09) | 0.06 (0.05/0.10) | 0.63 |
| Albuminuria, median (CI), mg/L | 15.5 (10.0/14.9) | 14.0 (9.0/23.5) | 0.95 |
| Ua/Cr, median (CI), µg/mg | 10.7 (6.3/14.9) | 6.4 (5.7/15.2) | 0.30 |
| Kidney Injury, No. (%) | 15 (37.5) | 0 | 0.003 |
| Renal compensatory hypertrophy at last follow up, No. (%) | 32 (80) | 16 (100) | 0.09 |
| 1–3 Months | 1 Year | 2 Years | |||||||
| RL < 2SDS (n = 40) | RL > 2SDS (n = 16) | p | RL < 2SDS (n = 32) | RL > 2SDS (n = 24) | p | RL < 2SDS (n = 28) | RL > 2SDS (n = 28) | p | |
| CAKUT of CSFK, No. (%) | 13 (32.5) | 0 | 0.01 | 11 (34.4) | 2 (8.3) | 0.02 | 10 (35.7) | 3 (10.7) | 0.03 |
| eGFR, mean (SDS), mL/min/1.73 m2 | 108.6 (14.3) | 118.7 (9.6) | 0.01 | 107.3 (14.7) | 116.8 (10.3) | 0.01 | 108.6 (14.8) | 114.3 (12.4) | 0.12 |
| Kidney Injury, No. (%) | 15 (37.5) | 0 | 0.003 | 13 (40.6) | 2 (8.3) | 0.007 | 9 (32.1) | 6 (21.4) | 0.36 |
| 3 Years | 4 Years | 5 Years | |||||||
| RL < 2SDS (n = 27) | RL > 2SDS (n = 29) | p | RL < 2SDS (n = 24) | RL > 2SDS (n = 32) | p | RL < 2SDS (n = 23) | RL > 2SDS (n = 33) | p | |
| CAKUT of CSFK, No. (%) | 9 (33.3) | 4 (13.8) | 0.09 | 8 (33.3) | 5 (15.6) | 0.12 | 8 (34.8) | 5 (15.1) | 0.09 |
| eGFR, mean (SDS), mL/min/1.73 m2 | 108.6 (15.1) | 114.1 (12.2) | 0.14 | 108.8 (14.9) | 112.7 (13.0) | 0.42 | 109.1 (14.8) | 113.1 (13.0) | 0.29 |
| Kidney Injury, No. (%) | 8 (29.6) | 7 (24.1) | 0.64 | 7 (29.2) | 8 (25.0) | 0.72 | 7 (30.4) | 8 (24.2) | 0.61 |
| 7 Years | 9 Years | 11 Years | |||||||
| RL < 2SDS (n = 19) | RL > 2SDS (n = 37) | p | RL < 2SDS (n = 17) | RL > 2SDS (n = 39) | p | RL < 2SDS (n = 15) | RL > 2SDS (n = 41) | p | |
| CAKUT of CSFK, No. (%) | 6 (31.6) | 7 (18.9) | 0.28 | 6 (64.7) | 7 (17.9) | 0.16 | 5 (33.3) | 8 (19.5) | 0.28 |
| eGFR, mean (SDS), mL/min/1.73 m2 | 109.7 (15.8) | 112.4 (12.8) | 0.27 | 111.3 (14.7) | 111.5 (13.6) | 0.96 | 111.3 (15.7) | 111.5 (13.3) | 0.95 |
| Kidney Injury, No. (%) | 5 (26.3) | 10 (27.0) | 0.95 | 4 (23.5) | 11 (28.2) | 0.72 | 4 (26.7) | 11 (26.8) | 0.99 |
| Adulthood | |||||||||
| RL < 2SDS (n = 8) | RL > 2SDS (n = 48) | p | |||||||
| CAKUT of CSFK, No. (%) | 2 (25.0) | 11 (22.9) | 0.90 | ||||||
| eGFR, mean (SDS), mL/min/1.73 m2 | 114.0 (18.4) | 111.1 (13.1) | 0.58 | ||||||
| Kidney Injury, No. (%) | 3 (37.5) | 12 (25.0) | 0.46 | ||||||
| RL > 2SDS at Different Ages | True Positive: False Positive | True Negative: False Negative | Sensitivity (95% CI) | Specificity (95% CI) | Accuracy (95% CI) | Positive Likelihood Ratio (95% CI) | Negative Likelihood Ratio (95% CI) | Positive Predictive Value (95% CI) | Negative Predictive Value (95% CI) |
|---|---|---|---|---|---|---|---|---|---|
| 1–3 months | 16:0 | 15:25 | 39% (24.2–55.5) | 100% (78.2–100) | 55.4% (41.5–68.7) | Infinity | 0.6 (0.5–0.8) | 100% | 37.5% (31.9–43.4) |
| 1 year | 22:2 | 13:19 | 53.7% (37.4–69.3) | 86.7 (59.5–98.3) | 62.5% (48.5–75.1) | 4.0 (1.1–15.1) | 0.5 (0.4–0.8) | 91.7% (74.6–97.6) | 40.6% (31.8–50.1) |
| 2 years | 22:6 | 9:19 | 53.7% (37.4–69.3) | 60.0% (32.3–83.7) | 55.4% (41.5–68.7) | 1.3 (0.7–2.6) | 0.8 (0.5–1.3) | 78.6% (65.0–87.9) | 32.1% (21.8–44.5) |
| 3 years | 22:7 | 8:19 | 53.7% (37.4–69.3) | 55.3% (26.6–78.7) | 53.6% (39.7–67.0) | 1.1 (0.6–2.1) | 0.9 (0.5–1.5) | 75.9% (63.0–85.3) | 29.6% (19.1–42.8) |
| 4 years | 24:8 | 7:17 | 58.5% (42.1–73.7) | 46.7% (21.3–73.4) | 55.4% (41.5–68.7) | 1.1 (0.6–1.9) | 0.9 (0.5–1.7) | 75% (63.6–83.7) | 29.2 (17.7–44.1) |
| 5 years | 25:8 | 7:16 | 61.0% (44.5–75.8) | 46.7% (21.3–73.4) | 57.1% (43.2–70.3) | 1.1 (0.7–2.0) | 0.8 (0.4–1.6) | 75.8% (64.7–84.2) | 30.4% (18.4–45.9) |
| 7 years | 27:10 | 5:14 | 65.8% (49.4–79.9) | 33.3% (11.8–61.6) | 57.1% (43.2–70.3) | 1.0 (0.6–1.5) | 1.0 (0.4–2.3) | 73.0% (63.9–80.4) | 26.3% (13.4–45.1) |
| 9 years | 28:11 | 4:13 | 68.3% (51.9–81.9) | 26.7% (7.8–55.1) | 57.1% (43.2–70.3) | 0.9 (0.6–1.3) | 1.2 (0.5–3.1) | 71.8% (63.8–78.6) | 23.5% (10.6–44.4) |
| 11 years | 30:11 | 4:11 | 73.2% (57.1–85.8) | 26.7% (7.8–55.1) | 60.7% (46.7–73.5) | 1 (0.7–1.4) | 1 (0.4–2.7) | 73.2 (65.6–79.6) | 26.7 (12.0–49.2) |
| 13 years | 31:12 | 3:10 | 75.6% (59.7–87.6) | 20.0% (4.3–48.1) | 60.7% (46.7–73.5) | 0.9 (0.7–1.3) | 1.2 (0.4–3.8) | 72.1% (65.5–77.8) | 23.1 (8.7–48.6) |
| 15 years | 33:12 | 3:8 | 80.5% (65.1–91.2) | 20.0% (4.3–48.1) | 64.3% (50.4–76.6) | 1.0 (0.7–1.3) | 0.9 (0.3–3.2) | 73.3% (67.2–78.7) | 27.3% (10.3–55.2) |
| 17 years | 35:12 | 3:6 | 85.4% (70.8–94.4) | 20.0% (4.3–48.1) | 67.9% (54.0–79.7) | 1.1 (0.8–1.4) | 0.7 (0.2–2.6) | 74.5% (68.7–79.5) | 33.3% (12.5–63.6) |
| Adulthood | 36:12 | 3:5 | 87.8% (73.8–95.9) | 20.0% (4.3–48.1) | 69.6% (55.9–81.2) | 1.1 (0.8–1.4) | 0.6 (0.2–2.2) | 75.0% (69.4–79.8) | 37.5 (14.0–68.8) |
| Old Approach Adopted in Our Clinic | Old Approach Modified on the Basis of ERUSA | Groen in ‘t Woud et al. Approach [2] | Groen in ‘t Woud et al. Approach Modified on the Basis of ERUSA | Jawa et al. Approach [10] | Jawa et al. Approach Modified on the Basis of ERUSA | |
|---|---|---|---|---|---|---|
| RUS, number | 672 | 96 | 280 | 96 | 336 | 96 |
| RUS costs, € | 55,104 | 7872 | 22,960 | 7872 | 27,552 | 7872 |
| RUS cost saving, % | – | 85.7 | – | 65.7 | – | 71.4 |
| Urinalysis, number | 672 | 480 | 1008 | 720 | 280 | 200 |
| Urinalysis costs, € | 1458 | 1041 | 2187 | 1562 | 607 | 434 |
| Urinalysis cost saving, % | – | 28.6 | – | 28.6 | – | 28.5 |
| Creatinine dosage, number | 672 | 480 | 376 | 280 | 112 | 80 |
| Creatinine dosage costs, € | 2493 | 1781 | 1395 | 1039 | 416 | 297 |
| Creatinine dosage cost saving, % | – | 28.6 | – | 25.6 | – | 28.6 |
| Follow-up visits with blood pressure measurement, number | 672 | 480 | 1008 | 720 | 336 | 200 |
| Follow-up visits costs, € | 13,883 | 9916 | 20,825 | 14,875 | 5785 | 4132 |
| Follow-up visits cost saving, % | – | 28.6 | – | 28.6 | – | 28.6 |
| Indirect costs, € | 44,936 | 32,097 | 54,818 | 37,357 | 21,500 | 13,097 |
| Indirect costs saving, % | – | 28.6 | – | 31.8 | – | 39.1 |
| Total costs, € | 117,874 | 52,707 | 102,185 | 62,705 | 55,860 | 25,832 |
| Total costs saving, % | – | 55.3 | – | 38.6 | – | 53.8 |
| Number of patients with missed KI | 0 | 0 | 0 | 0 | 0 | 0 |
Publisher’s Note: MDPI stays neutral with regard to jurisdictional claims in published maps and institutional affiliations. |
© 2022 by the authors. Licensee MDPI, Basel, Switzerland. This article is an open access article distributed under the terms and conditions of the Creative Commons Attribution (CC BY) license (https://creativecommons.org/licenses/by/4.0/).
Share and Cite
Guarino, S.; Di Sessa, A.; Riccio, S.; Capalbo, D.; Reginelli, A.; Cappabianca, S.; Rambaldi, P.F.; Miraglia del Giudice, E.; Polito, C.; Marzuillo, P. Early Renal Ultrasound in Patients with Congenital Solitary Kidney Can Guide Follow-Up Strategy Reducing Costs While Keeping Long-Term Prognostic Information. J. Clin. Med. 2022, 11, 1052. https://doi.org/10.3390/jcm11041052
Guarino S, Di Sessa A, Riccio S, Capalbo D, Reginelli A, Cappabianca S, Rambaldi PF, Miraglia del Giudice E, Polito C, Marzuillo P. Early Renal Ultrasound in Patients with Congenital Solitary Kidney Can Guide Follow-Up Strategy Reducing Costs While Keeping Long-Term Prognostic Information. Journal of Clinical Medicine. 2022; 11(4):1052. https://doi.org/10.3390/jcm11041052
Chicago/Turabian StyleGuarino, Stefano, Anna Di Sessa, Simona Riccio, Daniela Capalbo, Alfonso Reginelli, Salvatore Cappabianca, Pier Francesco Rambaldi, Emanuele Miraglia del Giudice, Cesare Polito, and Pierluigi Marzuillo. 2022. "Early Renal Ultrasound in Patients with Congenital Solitary Kidney Can Guide Follow-Up Strategy Reducing Costs While Keeping Long-Term Prognostic Information" Journal of Clinical Medicine 11, no. 4: 1052. https://doi.org/10.3390/jcm11041052
APA StyleGuarino, S., Di Sessa, A., Riccio, S., Capalbo, D., Reginelli, A., Cappabianca, S., Rambaldi, P. F., Miraglia del Giudice, E., Polito, C., & Marzuillo, P. (2022). Early Renal Ultrasound in Patients with Congenital Solitary Kidney Can Guide Follow-Up Strategy Reducing Costs While Keeping Long-Term Prognostic Information. Journal of Clinical Medicine, 11(4), 1052. https://doi.org/10.3390/jcm11041052

