Gain a Baby Lose a Tooth—Is There an Association between Periodontitis and Preterm Birth?
Abstract
1. Introduction
2. Materials and Methods
2.1. Inclusion- and Exclusion Criteria
2.2. Demographic and Clinical Data
2.3. Microbiological Analysis
2.4. Isolation of Bacterial DNA
2.5. Library Preparation for Next-Generation Sequencing (NGS)
2.6. Analysis of Sequences
2.7. Statistical Analysis of Clinical Data
3. Results
3.1. Pregnancy Outcome and Clinical Data
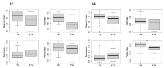
3.2. 16S rRNA Sequencing Analysis
4. Discussion
4.1. CAL, PPD, and PISA
4.2. Birth Weight
4.3. Microbiome
5. Conclusions
Supplementary Materials
Author Contributions
Funding
Institutional Review Board Statement
Informed Consent Statement
Data Availability Statement
Conflicts of Interest
References
- Lawn, J.E.; Kerber, K.; Enweronu-Laryea, C.; Cousens, S. 3.6 million neonatal deaths—What is progressing and what is not? Semin. Perinatol. 2010, 34, 371–386. [Google Scholar] [CrossRef] [PubMed]
- Sanz, M.; Kornman, K. Periodontitis and adverse pregnancy outcomes: Consensus report of the Joint EFP/AAP Workshop on Periodontitis and Systemic Diseases. J. Periodontol. 2013, 84, S164–S169. [Google Scholar] [CrossRef] [PubMed]
- Raju, K.; Berens, L. Periodontology and pregnancy: An overview of biomedical and epidemiological evidence. Periodontology 2000 2021, 87, 132–142. [Google Scholar] [CrossRef] [PubMed]
- Goldenberg, R.L.; Culhane, J.F.; Iams, J.D.; Romero, R. Epidemiology and causes of preterm birth. Lancet 2008, 371, 75–84. [Google Scholar] [CrossRef] [PubMed]
- Mercer, B.M. Preterm premature rupture of the membranes. Obstet. Gynecol. 2003, 101, 178–193. [Google Scholar]
- Surbek, D.; Hoesli, I.; Holzgreve, W. Morphology assessed by transvaginal ultrasonography differs in patients in preterm labor with vs. without bacterial vaginosis. Ultrasound Obstet. Gynecol. 2000, 15, 242–245. [Google Scholar] [CrossRef]
- Romero, R.; Dey, S.K.; Fisher, S.J. Preterm labor: One syndrome, many causes. Science 2014, 345, 760–765. [Google Scholar] [CrossRef]
- Dos Santos, F.C.; Ignacchiti, M.L.; Rodrigues, B.; Velarde, L.G.; Levy, R.A.; de Jesús, G.R.; de Jesús, N.R.; de Andrade, C.A.F.; Klumb, E.M. Premature rupture of membranes—A cause of foetal complications among lupus: A cohort study, systematic review and meta-analysis. Lupus 2021, 30, 2042–2053. [Google Scholar] [CrossRef]
- Yan, C.; Hong, F.; Xin, G.; Duan, S.; Deng, X.; Xu, Y. Alterations in the vaginal microbiota of patients with preterm premature rupture of membranes . Front. Cell. Infect. Microbiol. 2022, 12. [Google Scholar] [CrossRef]
- Pihlstrom, B.L.; BMichalowicz, S.; Johnson, N.W. Periodontal diseases. Lancet 2005, 366, 1809–1820. [Google Scholar] [CrossRef]
- Murakami, S.; Mealey, B.L.; Mariotti, A.; Chapple, I.L. Dental plaque-induced gingival conditions. J. Clin. Periodontol. 2018, 45, S17–S27. [Google Scholar] [CrossRef]
- Hujoel, P.P.; Lingström, P. Nutrition, dental caries and periodontal disease: A narrative review. J. Clin. Periodontol. 2017, 44, S79–S84. [Google Scholar] [CrossRef]
- Murakami, S.; Mealey, B.L.; Mariotti, A.; Chapple, I.L. Dental plaque-induced gingival conditions. J. Periodontol. 2018, 89, S17–S27. [Google Scholar] [CrossRef]
- Coventry, J.; Griffiths, G.; Scully, C.; Tonetti, M. ABC of oral health: Periodontal disease. BMJ 2000, 321, 36–39. [Google Scholar] [CrossRef]
- Mombelli, A. Microbial colonization of the periodontal pocket and its significance for periodontal therapy. Periodontology 2000 2017, 76, 85–96. [Google Scholar] [CrossRef]
- Hajishengallis, G.; Darveau, R.P.; Curtis, M.A. The keystone-pathogen hypothesis. Nat. Rev. Microbiol. 2012, 10, 717–725. [Google Scholar] [CrossRef]
- Hajishengallis, G.; Chavakis, T. Local and systemic mechanisms linking periodontal disease and inflammatory comorbidities. Nat. Rev. Immunol. 2021, 21, 426–440. [Google Scholar] [CrossRef]
- Pihlstrom, B.L. Periodontal risk assessment, diagnosis and treatment planning. Periodontol 2000 2001, 25, 37–58. [Google Scholar] [CrossRef]
- Marsh, P.D. Are dental diseases examples of ecological catastrophes? Microbiology (Reading) 2003, 149(Pt. 2), 279–294. [Google Scholar] [CrossRef]
- Hajishengallis, G. The inflammophilic character of the periodontitis-associated microbiota. Mol. Oral Microbiol. 2014, 29, 248–257. [Google Scholar] [CrossRef]
- Van Ravensteijn, M.M.; Timmerman, M.F.; Brouwer, E.A.; Slot, D.E. The effect of omega-3 fatty acids on active periodontal therapy: A systematic review and me-ta-analysis. J. Clin. Periodontol. 2022, 49, 1024–1037. [Google Scholar] [CrossRef] [PubMed]
- Xu, B.; Han, Y.W. Oral bacteria, oral health, and adverse pregnancy outcomes. Periodontol 2000 2022, 89, 181–189. [Google Scholar] [CrossRef] [PubMed]
- Figuero, E.; Han, Y.W.; Furuichi, Y. Periodontal diseases and adverse pregnancy outcomes: Mechanisms. Periodontology 2000 2020, 83, 175–188. [Google Scholar] [CrossRef] [PubMed]
- Goepfert, A.R.; Jeffcoat, M.K.; Andrews, W.W.; Faye-Petersen, O.; Cliver, S.P.; Goldenberg, R.L.; Hauth, J.C. Periodontal disease and upper genital tract inflammation in early spontaneous preterm birth. Obstet. Gynecol. 2004, 104, 777–783. [Google Scholar] [CrossRef] [PubMed]
- Madianos, P.N.; Bobetsis, Y.A.; Offenbacher, S. Adverse pregnancy outcomes (APOs) and periodontal disease: Pathogenic mechanisms. J. Periodontol. 2013, 84, S170–S180. [Google Scholar] [CrossRef] [PubMed]
- Challis, J.R.; Lockwood, C.J.; Myatt, L.; Norman, J.E. Inflammation and pregnancy. Reprod. Sci. 2009, 16, 206–215. [Google Scholar] [CrossRef] [PubMed]
- Borgnakke, W.S.; Yl€ostalo, P.V.; Taylor, G.W.; Genco, R.J. Effect of periodontal disease on diabetes: Systematic review of epidemiologic observational evidence. J. Periodontol. 2013, 84, S135–S152. [Google Scholar] [CrossRef]
- Joo, E.H.; Kim, Y.R.; Kim, N.; Jung, J.E.; Han, S.H.; Cho, H.Y. Effect of Endogenic and Exogenic Oxidative Stress Triggers on Adverse Pregnancy Outcomes: Preeclampsia, Fetal Growth Restriction, Gestational Diabetes Mellitus and Preterm Birth. Int. J. Mol. Sci. 2021, 22, 10122. [Google Scholar] [CrossRef]
- Friedewald, V.E.; Kornman, K.S.; Beck, J.D.; Genco, R.; Goldfine, A.; Libby, P.; Offenbacher, S.; Ridker, P.M.; Van Dyke, T.E.; Roberts, W.C. The American Journal of Cardiology and Journal of Periodontology Editors’ Consensus: Periodontitis and atherosclerotic cardiovascular disease. Am. J. Cardiol. 2009, 104, 59–68. [Google Scholar] [CrossRef]
- Carrizales-Sepúlveda, E.F.; Ordaz-Farías, A.; Vera-Pineda, R.; Flores-Ramírez, R. Periodontal Disease, Systemic Inflammation and the Risk of Cardiovascular Disease. Heart. Lung Circ. 2018, 27, 1327–1334. [Google Scholar] [CrossRef]
- Rohlfing, A.B.; Nah, G.; Ryckman, K.K.; Snyder, B.D.; Kasarek, D.; Paynter, R.A.; Feuer, S.K.; Jelliffe-Pawlowski, L.; Parikh, N.I. Maternal cardiovascular disease risk factors as predictors of preterm birth in California: A case–control study. BMJ Open 2020, 10, e034145. [Google Scholar] [CrossRef]
- Ferrillo, M.; Kornman, K.S.; Beck, J.D.; Genco, R.; Goldfine, A.; Libby, P.; Offenbacher, S.; Ridker, P.M.; Van Dyke, T.E.; Roberts, W.C. Periodontal Disease and Vitamin D Deficiency in Pregnant Women: Which Correlation with Preterm and Low-Weight Birth? J. Clin. Med. 2021, 10, 4578. [Google Scholar] [CrossRef]
- Dortbudak, O.; Eberhardt, R.; Ulm, M.; Persson, G.R. Periodontitis, a marker of risk in pregnancy for preterm birth. J. Clin. Periodontol. 2005, 32, 45–52. [Google Scholar] [CrossRef]
- Lafaurie, G.I.; Gómez, L.A.; Montenegro, D.A.; De Avila, J.; Tamayo, M.C.; Lancheros, M.C.; Quiceno, J.; Trujillo, T.G.; Noriega, L.A.; Grueso, M.L.; et al. Periodontal condition is associated with adverse perinatal outcomes and premature rupture of membranes in low-income pregnant women in Bogota, Colombia: A case–control study. J. Matern. Neonatal Med. 2018, 33, 16–23. [Google Scholar] [CrossRef]
- Davenport, E.; Williams, C.; Sterne, J.; Murad, S.; Sivapathasundram, V.; Curtis, M. Maternal periodontal disease and preterm low birthweight: Case-control study. J. Dent. Res. 2002, 81, 313–318. [Google Scholar] [CrossRef]
- Kruse, A.B.; Kuetrschner, A.C.; Kunze, M.; Woelber, J.P.; Al-Ahmad, A.; Wittmer, A.; Vach, K.; Ratka-Krueger, P. Association between high risk for preterm birth and changes in gingiva parameters during pregnancy—A prospective cohort study. Clin. Oral Investig. 2017, 22, 1263–1271. [Google Scholar] [CrossRef]
- Manrique-Corredor, E.J.; Orozco-Beltran, D.; Lopez-Pineda, A.; Quesada, J.A.; Gil-Guillén, V.F.; Carratala-Munuera, C. Maternal periodontitis and preterm birth: Systematic review and meta-analysis. Community Dent. Oral Epidemiology. 2019, 47, 243–251. [Google Scholar] [CrossRef]
- Jang, H.; Patoinet, A.; Wu, T.T.; Castillo, D.A.; Xiao, J. Oral microflora and pregnancy: A systematic review and meta-analysis. Sci. Rep. 2021, 11, 1–31. [Google Scholar] [CrossRef]
- Corbella, S.; Taschieri, S.; Fabbro, M.D.; Francetti, L.; Weinstein, R.; Ferrazzi, E. Adverse pregnancy outcomes and periodontitis: A systematic review and meta-analysis exploring potential association. Quintessence Int. 2016, 47, 193–204. [Google Scholar]
- Papapanou, P.N.; Sanz, M.; Buduneli, N.; Dietrich, T.; Feres, M.; Fine, D.H.; Flemmig, T.F.; Garcia, R.; Giannobile, W.V.; Graziani, F.; et al. Periodontitis: Consensus report of workgroup 2 of the 2017 World Workshop on the Classification of Periodontal and Peri-Implant Diseases and Conditions. J. Clin. Periodontol. 2018, 45 (Suppl. 20), S162–S170. [Google Scholar] [CrossRef]
- Chapple, I.L.C.; Mealey, B.L.; Van Dyke, T.E.; Bartold, P.M.; Dommisch, H.; Eickholz, P.; Geisinger, M.L.; Genco, R.J.; Glogauer, M.; Goldstein, M.; et al. Periodontal health and gingival diseases and conditions on an intact and a reduced periodontium: Consensus report of workgroup 1 of the 2017 World Workshop on the Classification of Periodontal and Peri-Implant Diseases and Conditions. J. Clin. Periodontol. 2018, 45 (Suppl. 20), S68–S77. [Google Scholar] [CrossRef] [PubMed]
- Carter, H.G.; Barnes, G.P. The Gingival Bleeding Index. J. Periodontol. 1974, 45, 801–805. [Google Scholar] [CrossRef] [PubMed]
- Ainamo, J.; Bay, I. Problems and proposals for recording gingivitis and plaque. Int. Dent. J. 1975, 25, 229–235. [Google Scholar] [PubMed]
- Roland, E.; Gueguen, G.; Longis, M.J.; Boiselle, J. [Validation of the reproducibility of the DMF Index used in bucco-dental epidemiology and evaluation of its 2 clinical forms]. World Health. Stat. quarterly. Rapp. Trimest. de Stat. Sanit. Mond. 1994, 47, 44–61. [Google Scholar]
- Grossi, S.G.; Dunford, R.G.; Ho, A.; Koch, G.; Machtei, E.E.; Genco, R.J. Sources of error for periodontal probing measurements. J. Periodontal Res. 1996, 31, 330–336. [Google Scholar] [CrossRef]
- Nesse, W.; Abbas, F.; Van Der Ploeg, I.; Spijkervet, F.K.L.; Dijkstra, P.U.; Vissink, A. Periodontal inflamed surface area: Quantifying inflammatory burden. J. Clin. Periodontol. 2008, 35, 668–673. [Google Scholar] [CrossRef]
- Tonetti, M.S.; Greenwell, H.; Kornman, K.S. Staging and grading of periodontitis: Framework and proposal of a new classifi-cation and case definition. J. Periodontol. 2018, 89 (Suppl. 1), S159–S172. [Google Scholar] [CrossRef]
- Martin, F.E.; Nadkarni, M.A.; Jacques, N.A.; Hunter, N. Quantitative microbiological study of human carious dentine by culture and real-time PCR: Association of anaerobes with histopathological changes in chronic pulpitis. J. Clin. Microbiol. 2002, 40, 1698–1704. [Google Scholar] [CrossRef]
- Nadkarni, M.A.; Martin, F.E.; Jacques, N.A.; Hunter, N. Determination of bacterial load by real-time PCR using a broad-range (universal) probe and primers set. Microbiology 2002, 148, 257–266. [Google Scholar] [CrossRef]
- Caporaso, J.G.; Lauber, C.L.; Walters, W.A.; Berg-Lyons, D.; Huntley, J.; Fierer, N.; Owens, S.M.; Betley, J.; Fraser, L.; Bauer, M.; et al. Ultra-high-throughput microbial community analysis on the Illumina HiSeq and MiSeq platforms. ISME J. 2012, 6, 1621–1624. [Google Scholar] [CrossRef]
- Callahan, B.J.; Mcmurdie, P.J.; Rosen, M.J.; Han, A.W.; Johnson, A.J.A.; Holmes, S.P. DADA2: High-resolution sample inference from Illumina amplicon data. Nat. Methods 2016, 13, 581–583. [Google Scholar] [CrossRef]
- Davis, N.M.; Proctor, D.M.; Holmes, S.P.; Relman, D.A.; Callahan, B.J. Simple statistical identification and removal of contaminant sequences in marker-gene and metagenomics data. Microbiome 2018, 6, 226. [Google Scholar] [CrossRef]
- López, N.J.; Uribe, S.; Martinez, B. Effect of periodontal treatment on preterm birth rate: A systematic review of meta-analyses. Periodontology 2000 2014, 67, 87–130. [Google Scholar] [CrossRef]
- Bianco, A.; Stone, J.; Lynch, L.; Lapinski, R.; Berkowitz, G.; Berkowitz, R.L. Pregnancy outcome at age 40 and older. Obstet. Gynecol. 1996, 87, 917–922. [Google Scholar] [CrossRef]
- Shahnazi, H.; Hosseintalaei, M.; Ghashghaei, F.E.; Charkazi, A.; Yahyavi, Y.; Sharifirad, G. Effect of Educational Intervention on Perceived Susceptibility Self-Efficacy and DMFT of Pregnant Women. Iran. Red Crescent Med. J. 2016, 18, e24960. [Google Scholar] [CrossRef][Green Version]
- Jordan, R.A.; Bodechtel, C.; Hertrampf, K.; Hoffmann, T.; Kocher, T.; Nitschke, I.; Schiffner, U.; Stark, H.; Zimmer, S.; Micheelis, W. The Fifth German Oral Health Study (Funfte Deutsche Mundgesundheitsstudie, DMS V)-rationale, design, and methods. BMC Oral Health 2014, 14, 161. [Google Scholar] [CrossRef]
- Wagle, M.; D’Antonio, F.; Reierth, E.; Basnet, P.; Trovik, T.A.; Orsini, G.; Manzoli, L.; Acharya, G. Dental caries and preterm birth: A systematic review and meta-analysis. BMJ Open 2018, 8, e018556. [Google Scholar] [CrossRef]
- Kamate, W.I.; Vibhute, N.; Baad, R.; Belgaumi, U.; Kadashetti, V.; Bommanavar, S. Effect of socioeconomic status on dental caries during pregnancy. J. Fam. Med. Prim. Care 2019, 8, 1976–1980. [Google Scholar] [CrossRef]
- Hajishengallis, G.; Korostoff, J.M. Revisiting the Page & Schroeder model: The good, the bad and the unknowns in the perio-dontal host response 40 years later. Periodontol 2000 2017, 75, 116–151. [Google Scholar]
- Hajishengallis, G.; Lamont, R.J.; Graves, D.T. The enduring importance of animal models in understanding periodontal disease. Virulence 2015, 6, 229–235. [Google Scholar] [CrossRef]
- Terzic, M.; Aimagambetova, G.; Terzic, S.; Radunovic, M.; Bapayeva, G.; Laganà, A. Periodontal Pathogens and Preterm Birth: Current Knowledge and Further Interventions. Pathogens 2021, 10, 730. [Google Scholar] [CrossRef] [PubMed]
- Lindhe, J.; Branemark, P.-I.; Lundskcg, J. Changes in vascular proliferation after local application of sex hormones. J. Periodontal Res. 1967, 2, 266–272. [Google Scholar] [CrossRef]
- Mariotti, A. Sex steroid hormones and cell dynamics in the periodontium. Crit. Rev. Oral Biol. Med. 1994, 5, 27–53. [Google Scholar] [CrossRef] [PubMed]
- Waerhaug, J. Effect of toothbrushing on subgingival plaque formation. J. Periodontol. 1981, 52, 30–34. [Google Scholar] [CrossRef] [PubMed]
- Taylor, J.Y.; Wood, C.L.; Garnick, J.J.; Thompson, W.O. Removal of interproximal subgingival plaque by hand and automatic toothbrushes. J. Periodontol. 1995, 66, 191–196. [Google Scholar] [CrossRef]
- Offenbacher, S.; Katz, V.; Fertik, G.; Collins, J.; Boyd, D.; Maynor, G.; McKaig, R.; Beck, J. Periodontal Infection as a Possible Risk Factor for Preterm Low Birth Weight. J. Periodontol. 1996, 67 (Suppl. S10), 1103–1113. [Google Scholar] [CrossRef]
- Reyes, L.; Manalich, R. Long-term consequences of low birth weight. Kidney Int. 2005, 68, S107–S111. [Google Scholar] [CrossRef]
- Yang, I.; Knight, A.K.; Dunlop, A.L.; Corwin, E.J. Characterizing the Subgingival Microbiome of Pregnant African American Women. J. Obstet. Gynecol. Neonatal Nurs. 2019, 48, 140–152. [Google Scholar] [CrossRef]
- Lin, W.; Jiang, W.; Hu, X.; Gao, L.; Ai, D.; Pan, H.; Niu, C.; Yuan, K.; Zhou, X.; Xu, C.; et al. Ecological Shifts of Supragingival Microbiota in Association with Pregnancy. Front. Cell. Infect. Microbiol. 2018, 8, 24. [Google Scholar] [CrossRef]
- Chen, B.D.; Jia, X.; Xu, J.; Zhao, L.; Ji, J.; Wu, B.; Ma, Y.; Li, H.; Zuo, X.; Pan, W.; et al. An Autoimmunogenic and Proinflammatory Profile Defined by the Gut Microbiota of Patients with Untreated Systemic Lupus Erythematosus. Arthritis Rheumatol. 2021, 73, 232–243. [Google Scholar] [CrossRef]
- Radcliffe, C.; Tang, Z.; Gisriel, S.D.; Grant, M. Splenic Abscess in the New Millennium: A Descriptive, Retrospective Case Series. Open Forum Infect. Dis. 2022, 9, ofac085. [Google Scholar] [CrossRef]
- Wu, S.; Hammarstedt-Nordenvall, L.; Jangard, M.; Cheng, L.; Radu, S.A.; Angelidou, P.; Zha, Y.; Hamsten, M.; Engstrand, L.; Du, J.; et al. Tonsillar Microbiota: A Cross-Sectional Study of Patients with Chronic Tonsillitis or Tonsillar Hypertrophy. mSystems 2021, 6. [Google Scholar] [CrossRef]
- Devresse, A.; Labriola, L.; Dossin, T.; Vatlet, M.; Hantson, P. Atopobium rimae bacteremia complicated by an infection-related glomerulonephritis in a cardiac trans-planted patient. Transpl. Infect. Dis. 2016, 18, 637–638. [Google Scholar]
- Khocht, A.; Orlich, M.; Paster, B.; Bellinger, D.; Lenoir, L.; Irani, C.; Fraser, G. Cross-sectional comparisons of subgingival microbiome and gingival fluid inflammatory cytokines in perio-dontally healthy vegetarians versus non-vegetarians. J. Periodontal Res. 2021, 56, 1079–1090. [Google Scholar] [CrossRef]
- Alkaya, B.; Laleman, I.; Keceli, S.; Ozcelik, O.; Haytac, M.C.; Teughels, W. Clinical effects of probiotics containing Bacillus species on gingivitis: A pilot randomized controlled trial. J. Periodontal Res. 2017, 52, 497–504. [Google Scholar] [CrossRef]
- Colombo, N.H.; Kreling, P.F.; Ribas, L.F.; Pereira, J.A.; Kressirer, C.A.; Klein, M.I.; Tanner, A.C.; Duque, C. Quantitative assessment of salivary oral bacteria according to the severity of dental caries in childhood. Arch. Oral Biol. 2017, 83, 282–288. [Google Scholar] [CrossRef]
- Colombo, A.P.; Boches, S.K.; Cotton, S.L.; Goodson, J.M.; Kent, R.; Haffajee, A.D.; Socransky, S.S.; Hasturk, H.; Van Dyke, T.E.; Dewhirst, F. Comparisons of subgingival microbial profiles of refractory periodontitis, severe periodontitis, and peri-odontal health using the human oral microbe identification microarray. J. Periodontol. 2009, 80, 1421–1432. [Google Scholar] [CrossRef]
- Socransky, S.S.; Haffajee, A.D.; Cugini, M.A.; Smith, C.; Kent, R.L., Jr. Microbial complexes in subgingival plaque. J. Clin. Periodontol. 1998, 25, 134–144. [Google Scholar] [CrossRef]
- Cassini, M.A.; Pilloni, A.; Condo, S.G.; Vitali, L.A.; Pasquantonio, G.; Cerroni, L. Periodontal bacteria in the genital tract: Are they related to adverse pregnancy outcome? Int. J. Immuno-Pathol. Pharmacol. 2013, 26, 931–939. [Google Scholar] [CrossRef]
- Africa, C.W.J.; Nel, J.; Stemmet, M. Anaerobes and bacterial vaginosis in pregnancy: Virulence factors contributing to vaginal colonisation. Int. J. Environ. Res. Public Health 2014, 11, 6979–7000. [Google Scholar] [CrossRef]
- Liu, L.; Chen, Y.; Chen, J.-L.; Xu, H.-J.; Zhan, H.-Y.; Chen, Z.; Chen, D.-Z.; Xu, Z.-F.; Xu, D.-X. Integrated metagenomics and metabolomics analysis of third-trimester pregnant women with premature mem-brane rupture: A pilot study. Ann. Transl. Med. 2021, 9, 1724. [Google Scholar] [CrossRef] [PubMed]
- Miranda-Rius, J.; Brunet-Llobet, L.; Blanc, V.; Álvarez, G.; Moncunill-Mira, J.; Mashala, E.I.; Kasebele, Y.; Masenga, G.; Nadal, A.; León, R. Microbial profile of placentas from Tanzanian mothers with adverse pregnancy outcomes and perio-dontitis. Oral Dis. 2021, 1–14. [Google Scholar] [CrossRef]
- Abusleme, L.; Dupuy, A.K.; Dutzan, N.; Silva, N.; Burleson, J.A.; Strausbaugh, L.D.; Gamonal, J.; Diaz, P.I. The subgingival microbiome in health and periodontitis and its relationship with community biomass and inflammation. ISME J. 2013, 7, 1016–1025. [Google Scholar] [CrossRef] [PubMed]
- Hajishengallis, G.; Lamont, R.J. Dancing with the Stars: How Choreographed Bacterial Interactions Dictate Nososymbiocity and Give Rise to Keystone Pathogens, Accessory Pathogens, and Pathobionts. Trends Microbiol. 2016, 24, 477–489. [Google Scholar] [CrossRef] [PubMed]
- Esberg, A.; Barone, A.; Eriksson, L.; Lif Holgerson, P.; Teneberg, S.; Johansson, I. Corynebacterium matruchotii Demography and Adhesion Determinants in the Oral Cavity of Healthy Indi-viduals. Microorganisms 2020, 8, 1780. [Google Scholar] [CrossRef] [PubMed]
- Hampelska, K.; Jaworska, M.M.; Babalska, Z.Ł.; Karpiński, T.M. The Role of Oral Microbiota in Intra-Oral Halitosis. J. Clin. Med. 2020, 9, 2484. [Google Scholar] [CrossRef]
- Amer, A.; Galvin, S.; Healy, C.; Moran, G.P. The Microbiome of Potentially Malignant Oral Leukoplakia Exhibits Enrichment for Fusobacterium, Lepto-trichia, Campylobacter, and Rothia Species. Front. Microbiol. 2017, 8, 2391. [Google Scholar] [CrossRef]
- Bhardwaj, R.G.; Al-Khabbaz, A.; Karched, M. Cytokine induction of peripheral blood mononuclear cells by biofilms and biofilm supernatants of Granulicatella and Abiotrophia spp. Microb. Pathog. 2018, 114, 90–94. [Google Scholar] [CrossRef]
- Mikkelsen, L.; Theilade, E.; Poulsen, K. Abiotrophia species in early dental plaque. Oral Microbiol. Immunol. 2000, 15, 263–268. [Google Scholar] [CrossRef]
- Leon, R.; Silva, N.; Ovalle, A.; Chaparro, A.; Ahumada, A.; Gajardo, M.; Martinez, M.; Gamonal, J. Detection of Porphyromonas gingivalis in the amniotic fluid in pregnant women with a diagnosis of threatened premature labor. J. Periodontol. 2007, 78, 1249–1255. [Google Scholar] [CrossRef]
- Lin, D.; Moss, K.; Beck, J.D.; Hefti, A.; Offenbacher, S. Persistently high levels of periodontal pathogens associated with preterm pregnancy outcome. J. Periodontol. 2007, 78, 833–841. [Google Scholar] [CrossRef]
- Lamont, R.J.; Hajishengallis, G. Polymicrobial synergy and dysbiosis in inflammatory disease. Trends Mol. Med. 2014, 21, 172–183. [Google Scholar] [CrossRef]
- Ng, E.; Tay, J.R.; Balan, P.; Ong, M.M.; Bostanci, N.; Belibasakis, G.N.; Seneviratne, C.J. Metagenomic sequencing provides new insights into the subgingival bacteriome and aetiopathology of perio-dontitis. J. Periodontal. Res. 2021, 56, 205–218. [Google Scholar] [CrossRef]
- Horliana, A.C.R.T.; Chambrone, L.; Foz, A.M.; Artese, H.; Rabelo, M.D.S.; Pannuti, C.M.; Romito, G.A. Dissemination of periodontal pathogens in the bloodstream after periodontal procedures: A systematic review. PLoS ONE 2014, 9, e98271. [Google Scholar] [CrossRef]
- Lockhart, P.B.; Brennan, M.T.; Sasser, H.C.; Fox, P.C.; Paster, B.J.; Bahrani-Mougeot, F.K. Bacteremia associated with toothbrushing and dental extraction. Circulation 2008, 117, 3118–3125. [Google Scholar] [CrossRef]





| n | Preterm Birth n = 33 | Term Birth n = 44 | p-Value | |
|---|---|---|---|---|
| Age (years) | 77 | 33 (range: 21–44) | 29.5 (range19–41) | 0.0881 |
| smoker (n. %) | 72 | 1 (3.23%) | 7 (17.07%) | 0.0641 |
| Delivery week | 77 | 35.14 (34.00–36.14) | 39.64 (38.75–40.71) | <0.0001 |
| Delivery mode: | 77 | |||
| spontan (n. %) | 8 (24.2%) | 22 (50.0%) | 0.0018 * | |
| primary sectio caesarea. n | 2 (6.0%) | 9 (20.4%) | ||
| secondary sectio caesarea. n | 17 (51.5%) | 6 (13.6%) | ||
| VE. median. n | 6 (18.18%) | 7 (15.9%) | ||
| Birth weight | 73 | 2620 (2285.00–2787.50) | 3375 (3090.00–3615.00) | <0.001 |
| Birth weight < 2500 g (n. %) | 13 (41.94%) | 1 (2.4%) | ||
| Gestational DM (n. %) | 71 | 3 (9.68%) | 3 (7.5%) | 0.7436 |
| Previous miscarriage | 76 | 0 (range 0–4) | 0 (range 0–1) | 0.0326 |
| n | Preterm Birth n = 33 | Term Birth n = 44 | p-Value | |
|---|---|---|---|---|
| BOP (%) | 70 | 18.2 (13.1–29.8) | 27.1 (14.8–44.8) | 0.0811 |
| PISA (%) | 70 | 241.40 (151.67–365.76) | 316.82 (146.91–506.26) | 0.2058 |
| GBI (%) | 72 | 14.15 (10.48–19.98) | 19.9 (6.73–36.68) | 0.5718 |
| DMF(T). median | 74 | 9.0 (5.5–11.5) | 5.0 (2.0–10.5) | 0.0911 |
| PPD (mm) | 70 | 2.1 (2.0–2.3) | 2.1 (2.0–2.2) | 0.6041 |
| CAL (mm) | 70 | 1.4 (0.4–1.9) | 0.4 (0.0–1.2) | 0.0128 |
| n PPD ≥ 4 mm | 70 | 5 (2–10) | 2 (0–6) | 0.0579 |
| Rel. PPD ≥ 4 mm | 70 | 2.98 (1.19–5.95) | 1.19 (0–3.85) | 0.047 |
| Number of lost teeth | 73 | 0 (range 0–5) | 0 (range 0–8) | 0.7609 |
| n = 70 | Preterm Birth (n. %) | Term Birth (n. %) | Age (Median, Range) | Smoker |
|---|---|---|---|---|
| Periodontal health | 1 (3.2%) | 6 (15.4%) | 28 (23–40) | 1 (16.7%) |
| Gingivitis | 12 (28.7%) | 20 (51.3%) | 30 (19–39) | 3 (9.7%) |
| Periodontitis | ||||
| Gen. Stage I | 11 (15.5%) | 8 (20.5%) | 32 (25–44) | 2 (11.1%) |
| Gen. Stage II | 6 (19.4%) | 4 (10.3%) | 31.5 (21–41) | 1 (10%) |
| Gen. Stage III | 1 (3.23%) | 1 (2.6%) | 29.5 (25–34) | 0 |
| Periodontal Diagnosis Groups | |||||
|---|---|---|---|---|---|
| Periodontal Health (n = 7) | Gingivitis and Periodontitis Stage I (n = 51) | Periodontitis (n = 12) | p-Value (Periodontal Health vs. Periodontitis) | p-Value (Periodontal Health vs. Gingivitis) | |
| Birth weight | 3615 (± 407.59) | 2924.27 (± 721.9) | 2710 (± 684.67) | 0.0127 | 0.0078 |
| Delivery week | 39.02 (± 2.01) | 37.21 (± 3.61) | 36.93 (± 2.63) | 0.0688 | 0.1973 |
Publisher’s Note: MDPI stays neutral with regard to jurisdictional claims in published maps and institutional affiliations. |
© 2022 by the authors. Licensee MDPI, Basel, Switzerland. This article is an open access article distributed under the terms and conditions of the Creative Commons Attribution (CC BY) license (https://creativecommons.org/licenses/by/4.0/).
Share and Cite
Bartha, V.; Steinmacher, S.; Wittlinger, R.; Boutin, S.; Pauluschke-Fröhlich, J.; von Ohle, C.; Brucker, S.Y.; Bruckner, T.; Wolff, D. Gain a Baby Lose a Tooth—Is There an Association between Periodontitis and Preterm Birth? J. Clin. Med. 2022, 11, 7183. https://doi.org/10.3390/jcm11237183
Bartha V, Steinmacher S, Wittlinger R, Boutin S, Pauluschke-Fröhlich J, von Ohle C, Brucker SY, Bruckner T, Wolff D. Gain a Baby Lose a Tooth—Is There an Association between Periodontitis and Preterm Birth? Journal of Clinical Medicine. 2022; 11(23):7183. https://doi.org/10.3390/jcm11237183
Chicago/Turabian StyleBartha, Valentin, Sahra Steinmacher, Rebekka Wittlinger, Sébastien Boutin, Jan Pauluschke-Fröhlich, Christiane von Ohle, Sara Yvonne Brucker, Thomas Bruckner, and Diana Wolff. 2022. "Gain a Baby Lose a Tooth—Is There an Association between Periodontitis and Preterm Birth?" Journal of Clinical Medicine 11, no. 23: 7183. https://doi.org/10.3390/jcm11237183
APA StyleBartha, V., Steinmacher, S., Wittlinger, R., Boutin, S., Pauluschke-Fröhlich, J., von Ohle, C., Brucker, S. Y., Bruckner, T., & Wolff, D. (2022). Gain a Baby Lose a Tooth—Is There an Association between Periodontitis and Preterm Birth? Journal of Clinical Medicine, 11(23), 7183. https://doi.org/10.3390/jcm11237183

