Inflammatory Biomarkers of Extracellular Matrix Remodeling and Disease Activity in Crohn’s Disease and Ulcerative Colitis
Abstract
1. Introduction
2. Materials and Methods
2.1. Patient Data
2.2. Disease Activity Definition
2.3. Biomarker Assay
2.4. Statistical Analysis
3. Results
3.1. Demographic Characteristics
3.2. Collagen Biomarkers as Surrogate Markers for Disease Activity
3.2.1. Endoscopic Disease Activity
3.2.2. Clinical and Biochemical Disease Activity
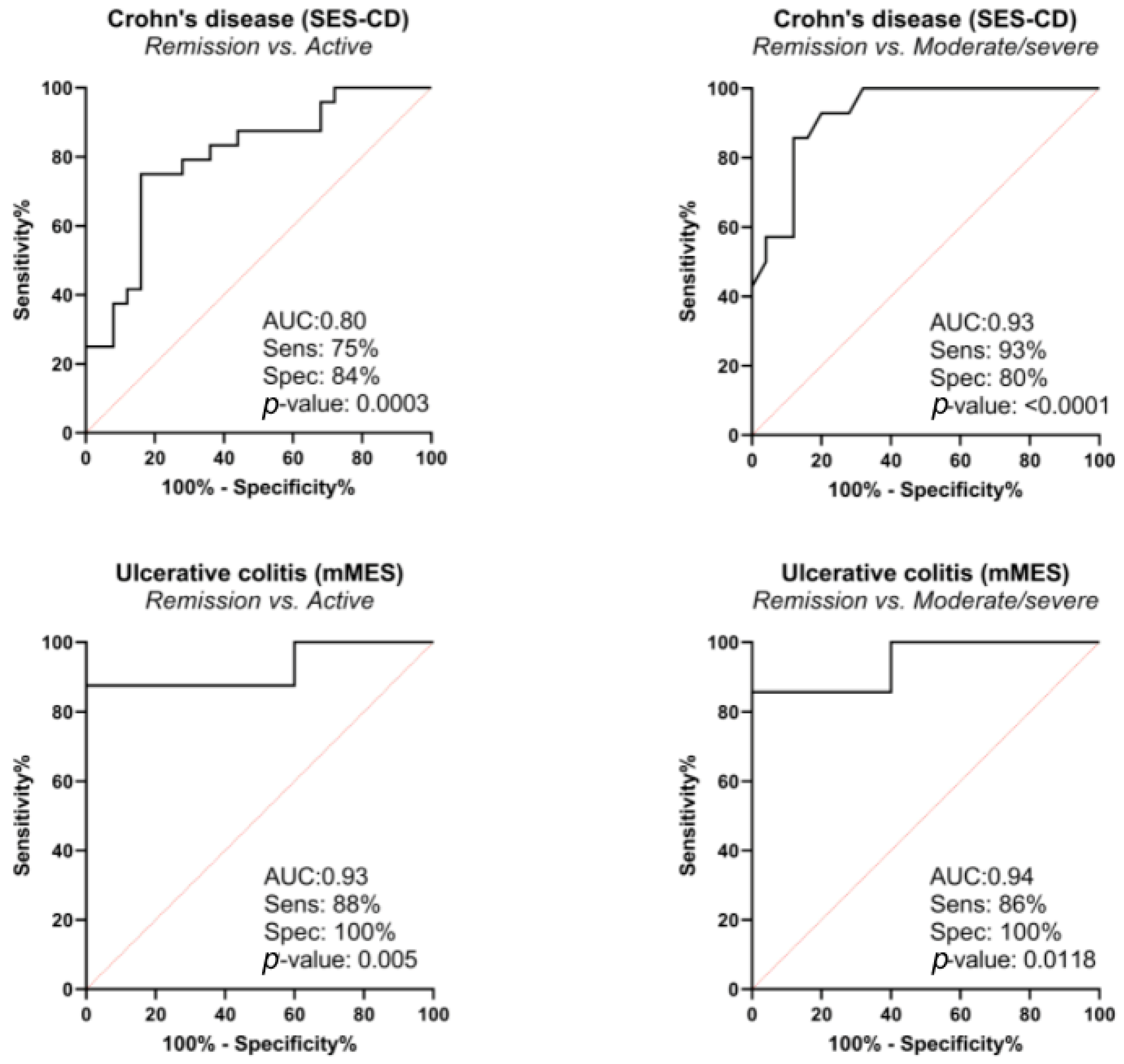
3.2.3. Diagnostic Power of Collagen Biomarkers to Discriminate between IBD Patients in Endoscopic Remission and Active Disease
3.2.4. Principal Component Analysis of Collagen Biomarkers
4. Discussion
5. Conclusions
Supplementary Materials
Author Contributions
Funding
Institutional Review Board Statement
Informed Consent Statement
Data Availability Statement
Conflicts of Interest
References
- Gomollón, F.; Dignass, A.; Annese, V.; Tilg, H.; Van Assche, G.; Lindsay, J.O.; Peyrin-Biroulet, L.; Cullen, G.J.; Daperno, M.; Kucharzik, T.; et al. 3rd European evidence-based consensus on the diagnosis and management of Crohn’s disease 2016. Part 1: Diagnosis and medical management. J. Crohns Colitis 2017, 11, 3–25. [Google Scholar] [CrossRef] [PubMed]
- Magro, F.; Gionchetti, P.; Eliakim, R.; Ardizzone, S.; Armuzzi, A.; Barreiro-de Acosta, M.; Burisch, J.; Gecse, K.B.; Hart, A.L.; Hindryckx, P.; et al. Third European evidence-based consensus on diagnosis and management of ulcerative colitis. Part 1: Definitions, diagnosis, extra-intestinal manifestations, pregnancy, cancer surveillance, surgery, and ileo-anal pouch disorders. J. Crohns Colitis 2017, 11, 649–670. [Google Scholar] [CrossRef] [PubMed]
- Iborra, M.; Beltrán, B.; Nos, P. Noninvasive testing for mucosal inflammation in inflammatory bowel disease. Gastrointest. Endosc. Clin. N. Am. 2016, 26, 641–656. [Google Scholar] [CrossRef] [PubMed]
- Mosli, M.; Fahmy, M.; Garg, S.K.; Feagan, S.G.; Baker, K.A.; Zou, G.Y.; MacDonald, J.K.; Sandborn, W.J.; Chande, N. Biomarkers for assessing disease activity in inflammatory bowel disease. Cochrane Database Syst Rev. 2013, 11, CD010848. [Google Scholar] [CrossRef]
- Mao, R.; Xiao, Y.L.; Gao, X.; Chen, B.L.; He, Y.; Yang, L.; Hu, P.J.; Chen, M.H. Fecal calprotectin in predicting relapse of inflammatory bowel diseases: A meta-analysis of prospective studies. Inflamm. Bowel Dis. 2012, 18, 1894–1899. [Google Scholar] [CrossRef]
- Costa, F.; Mumolo, M.G.; Ceccarelli, L.; Bellini, M.; Romano, M.R.; Sterpi, C.; Ricchiuti, A.; Marchi, S.; Bottai, M. Calprotectin is a stronger predictive marker of relapse in ulcerative colitis than in Crohn’s disease. Gut 2005, 54, 364–368. [Google Scholar] [CrossRef]
- Louis, E. Fecal calprotectin: Towards a standardized use for inflammatory bowel disease management in routine practice. J. Crohns Colitis 2015, 9, 1–3. [Google Scholar] [CrossRef]
- Van Rheenen, P.F.; Van de Vijver, E.; Fidler, V. Faecal calprotectin for screening of patients with suspected inflammatory bowel disease: Diagnostic meta-analysis. BMJ 2010, 341, c3369. [Google Scholar] [CrossRef]
- D’Haens, G.; Ferrante, M.; Vermeire, S.; Baert, F.; Noman, M.; Moortgat, L.; Geens, P.; Iwens, D.; Aerden, I.; Van Assche, G.; et al. Fecal calprotectin is a surrogate marker for endoscopic lesions in inflammatory bowel disease. Inflamm. Bowel Dis. 2012, 18, 2218–2224. [Google Scholar] [CrossRef]
- Goutorbe, F.; Goutte, M.; Minet-Quinard, R.; Boucher, A.L.; Pereira, B.; Bommelaer, G.; Buisson, A. Endoscopic factors influencing fecal calprotectin value in Crohn’s disease. J. Crohns Colitis 2015, 9, 1113–1119. [Google Scholar] [CrossRef] [PubMed]
- Dumoulin, E.N.; Van Biervliet, S.; Langlois, M.R.; Delanghe, J.R. Proteolysis is a confounding factor in the interpretation of faecal calprotectin. Clin. Chem. Lab. Med. 2015, 53, 65–71. [Google Scholar] [CrossRef] [PubMed]
- Du, L.; Foshaug, R.; Huang, V.W.; Kroeker, K.I.; Dieleman, L.A.; Halloran, B.P.; Wong, K.; Fedorak, R.N. Within-stool and within-day sample variability of fecal calprotectin in patients with inflammatory bowel disease. J. Clin. Gastroenterol. 2018, 52, 235–240. [Google Scholar] [CrossRef] [PubMed]
- Meling, T.; Aabakken, L.; Roseth, A.; Osnes, M. Faecal calprotectin shedding after short-term treatment with non-steroidal anti-inflammatory drugs. Scand. J. Gastroenterol. 1996, 31, 339–344. [Google Scholar] [CrossRef] [PubMed]
- Mumolo, M.G.; Bertani, L.; Ceccarelli, L.; Laino, G.; Di Fluri, G.; Albano, E.; Tapete, G.; Costa, F. From bench to bedside: Fecal calprotectin in inflammatory bowel diseases clinical setting. World J. Gastroenterol. 2018, 24, 3681–3694. [Google Scholar] [CrossRef] [PubMed]
- Bonnans, C.; Chou, J.; Werb, Z. Remodelling the extracellular matrix in development and disease. Nat. Rev. Mol. Cell. Biol. 2014, 15, 786–801. [Google Scholar] [CrossRef]
- Yurchenco, P.D.; Schittny, J.C. Molecular architecture of basement membranes. FASEB J. 1990, 4, 1577–1590. [Google Scholar] [CrossRef]
- Bosman, F.T.; Stamenkovic, I. Functional structure and composition of the extracellular matrix. J. Pathol. 2003, 200, 423–428. [Google Scholar] [CrossRef]
- Orlichenko, L.S.; Radisky, D.C. Matrix metalloproteinases stimulate epithelial-mesenchymal transition during tumor development. Clin. Exp. Metastasis 2008, 25, 593–600. [Google Scholar] [CrossRef]
- Baugh, M.D.; Perry, M.J.; Hollander, A.P.; Davies, D.R.; Cross, S.S.; Lobo, A.J.; Taylor, C.J. Evans GS Matrix metalloproteinase levels are elevated in inflammatory bowel disease. Gastroenterology 1999, 117, 814–822. [Google Scholar] [CrossRef]
- Mortensen, J.H.; Godskesen, L.E.; Jensen, M.D.; Van Haaften, W.T.; Klinge, L.G.; Olinga, P.; Dijkstra, G.; Kjeldsen, J.; Karsdal, M.A.; Bay-Jensen, A.C.; et al. Fragments of citrullinated and MMP-degraded vimentin and MMP-degraded type III collagen are novel serological biomarkers to differentiate Crohn’s disease from ulcerative colitis. J. Crohns Colitis 2015, 9, 863–872. [Google Scholar] [CrossRef] [PubMed]
- Van Haaften, W.T.; Mortensen, J.H.; Karsdal, M.A.; Bay-Jensen, A.C.; Dijkstra, G.; Olinga, P. Misbalance in type III collagen formation/degradation as a novel serological biomarker for penetrating (Montreal B3) Crohn’s disease. Aliment. Pharmacol. Ther. 2017, 46, 26–39. [Google Scholar] [CrossRef] [PubMed]
- Goffin, L.; Fagagnini, S.; Vicari, A.; Mamie, C.; Melhem, H.; Weder, B.; Lutz, C.; Lang, S.; Scharl, M.; Rogler, G.; et al. Anti-MMP-9 antibody: A promising therapeutic strategy for treatment of inflammatory bowel disease complications with fibrosis. Inflamm. Bowel Dis. 2016, 22, 2041–2057. [Google Scholar] [CrossRef] [PubMed]
- Mortensen, J.H.; Manon-Jensen, T.; Jensen, M.D.; Hägglund, P.; Klinge, L.G.; Kjeldsen, J.; Krag, A.; Karsdal, M.A.; Bay-Jensen, A.C. Ulcerative colitis, Crohn’s disease, and irritable bowel syndrome have different profiles of extracellular matrix turnover, which also reflects disease activity in Crohn’s disease. PLoS ONE 2017, 12, e0185855. [Google Scholar] [CrossRef] [PubMed]
- Graham, M.F.; Diegelmann, R.F.; Elson, C.O.; Lindblad, W.J.; Gotschalk, N.; Gay, S.; Gay, R. Collagen content and types in the intestinal strictures of Crohn’s disease. Gastroenterology 1988, 94, 257–265. [Google Scholar] [CrossRef]
- Naito, Y.; Yoshikawa, T. Role of matrix metalloproteinases in inflammatory bowel disease. Mol. Aspects Med. 2005, 26, 379–390. [Google Scholar] [CrossRef] [PubMed]
- Mortensen, J.H.; Lindholm, M.; Langholm, L.L.; Kjeldsen, J.; Bay-Jensen, A.C.; Karsdal, M.A.; Manon-Jensen, T. The intestinal tissue homeostasis—The role of extracellular matrix remodeling in inflammatory bowel disease. Expert Rev. Gastroenterol. Hepatol. 2019, 13, 977–993. [Google Scholar] [CrossRef]
- Karsdal, M.A.; Nielsen, S.H.; Leeming, D.J.; Langholm, L.L.; Nielsen, M.J.; Manon-Jensen, T.; Siebuhr, A.; Gudmann, N.S.; Rønnow, S.; Sand, J.M. The good and the bad collagens of fibrosis—The role in signaling and organ function. Adv. Drug Deliv. Rev. 2017, 121, 43–56. [Google Scholar] [CrossRef]
- Zhen, E.Y.; Brittain, I.J.; Laska, D.A.; Mitchell, P.G.; Sumer, E.U.; Karsdal, M.A.; Duffin, K.L. Characterization of metalloprotease cleavage products of human articular cartilage. Arthritis Rheum. 2008, 58, 2420–2431. [Google Scholar] [CrossRef]
- Karsdal, M.A.; Henriksen, K.; Leeming, D.J.; Mitchell, P.; Duffin, K.; Barascuk, N.; Klickstein, L.; Aggarwal, P.; Nemirovskiy, O.; Byrjalsen, I.; et al. Biochemical markers and the FDA Critical Path: How biomarkers may contribute to the understanding of pathophysiology and provide unique and necessary tools for drug development. Biomarkers 2009, 14, 181–202. [Google Scholar] [CrossRef]
- Karsdal, M.A.; Henriksen, K.; Leeming, D.J.; Woodworth, T.; Vassiliadis, E.; Bay-Jensen, A.C. Novel combinations of Post-Translational Modification (PTM) neo-epitopes provide tissue-specific biochemical markers—Are they the cause or the consequence of the disease? Clin. Biochem. 2010, 43, 793–804. [Google Scholar] [CrossRef] [PubMed]
- Karsdal, M.A.; Nielsen, M.J.; Sand, J.M.; Henriksen, K.; Genovese, F.; Bay-Jensen, A.C.; Smith, V.; Adamkewicz, J.I.; Christiansen, C.; Leeming, D.J. Extracellular Matrix Remodeling: The common denominator in connective tissue diseases. Possibilities for evaluation and current understanding of the matrix as more than a passive architecture, but a key player in tissue failure. Assay Drug Dev. Technol. 2013, 11, 70–92. [Google Scholar] [CrossRef] [PubMed]
- Barascuk, N.; Veidal, S.S.; Larsen, L.; Larsen, D.V.; Larsen, M.R.; Wang, J.; Zheng, Q.; Xing, R.; Cao, Y.; Rasmussen, L.M.; et al. A novel assay for extracellular matrix remodeling associated with liver fibrosis: An enzyme-linked immunosorbent assay (ELISA) for a MMP-9 proteolytically revealed neo-epitope of type III collagen. Clin. Biochem. 2010, 43, 899–904. [Google Scholar] [CrossRef]
- Sand, J.M.; Larsen, L.; Hogaboam, C.; Martinez, F.; Han, M.; Røssel Larsen, M.; Nawrocki, A.; Zheng, Q.; Karsdal, M.A.; Leeming, D.J. MMP mediated degradation of type IV collagen alpha 1 and alpha 3 chains reflects basement membrane remodeling in experimental and clinical fibrosis—Validation of two novel biomarker assays. PLoS ONE 2013, 8, e84934. [Google Scholar] [CrossRef] [PubMed]
- Nielsen, M.J.; Nedergaard, A.F.; Sun, S.; Veidal, S.S.; Larsen, L.; Zheng, Q.; Suetta, C.; Henriksen, K.; Christiansen, C.; Karsdal, M.A.; et al. The neo-epitope specific PRO-C3 ELISA measures true formation of type III collagen associated with liver and muscle parameters. Am. J. Transl. Res. 2013, 5, 303–315. [Google Scholar] [PubMed]
- Leeming, D.J.; Nielsen, M.J.; Dai, Y.; Veidal, S.S.; Vassiliadis, E.; Zhang, C.; He, Y.; Vainer, B.; Zheng, Q.; Karsdal, M.A. Enzyme-linked immunosorbent serum assay specific for the 7S domain of collagen type IV (P4NP 7S): A marker related to the extracellular matrix remodeling during liver fibrogenesis. Hepatol. Res. 2012, 42, 482–493. [Google Scholar] [CrossRef] [PubMed]
- Vassiliadis, E.; Veidal, S.S.; Simonsen, H.; Larsen, D.V.; Vainer, B.; Chen, X.; Zheng, Q.; Karsdal, M.A.; Leeming, D.J. Immunological detection of the type V collagen propeptide fragment, PVCP-1230, in connective tissue remodeling associated with liver fibrosis. Biomarkers 2011, 16, 426–433. [Google Scholar] [CrossRef]
- Lobatón, T.; Bessissow, T.; De Hertogh, G.; Lemmens, B.; Maedler, C.; Van Assche, G.; Vermeire, S.; Bisschops, R.; Rutgeerts, P.; Bitton, A.; et al. The Modified Mayo Endoscopic Score (MMES): A new index for the assessment of extension and severity of endoscopic activity in ulcerative colitis patients. J. Crohns Colitis 2015, 9, 846–852. [Google Scholar] [CrossRef]
- Karsdal, M.A.; Hjuler, S.T.; Luo, Y.; Rasmussen, D.G.K.; Nielsen, M.J.; Holm Nielsen, S.; Leeming, D.J.; Goodman, Z.; Arch, R.H.; Patel, K.; et al. Assessment of liver fibrosis progression and regression by a serological collagen turnover profile. Am. J. Physiol. Gastrointest. Liver Physiol. 2019, 316, G25–G31. [Google Scholar] [CrossRef] [PubMed]
- Lindholm, M.; Manon-Jensen, T.; Madsen, G.I.; Krag, A.; Karsdal, M.A.; Kjeldsen, J.; Mortensen, J.H. Extracellular matrix fragments of the basement membrane and the interstitial matrix are serological markers of intestinal tissue remodeling and disease activity in dextran sulfate sodium colitis. Dig. Dis. Sci. 2019, 64, 3134–3142. [Google Scholar] [CrossRef]
- Van Haaften, W.T.; Mortensen, J.H.; Dige, A.K.; Grønbæk, H.; Hvas, C.L.; Bay-Jensen, A.C.; Karsdal, M.A.; Olinga, P.; Manon-Jensen, T.; Dijkstra, G. Serological biomarkers of tissue turnover identify responders to anti-TNF therapy in Crohn’s disease: A pilot study. Clin. Transl. Gastroenterol. 2020, 11, e00217. [Google Scholar] [CrossRef]

| Biomarker | Neo-Epitope Antigen | Description | Reference |
|---|---|---|---|
| C3M | KNGETGPQGP | MMP-mediated degradation of type III collagen | [32] |
| C4M | ILGHVPGMLLKGER | MMP-mediated degradation of type IV collagen | [33] |
| PRO-C3 | CPTGPQNYSP. | Formation of new type III collagen | [34] |
| PRO-C4 | KNGETGPQGP | Remodeling of type IV collagen | [35] |
| PRO-C5 | PGEILGHVPG. | Formation of new type V collagen | [36] |
| Variable | CD (n = 110) | UC (n = 52) | HD (n = 29) |
|---|---|---|---|
| Age, years (IQR) | 36 (28–46) | 37 (24–49) | 39.5 (33–47) |
| Male gender, n (%) | 66 (60.0) | 28 (53.8) | 17 (58.6) |
| BMI, kg/m2 (IQR) | 22.57 (20–27) | 23.86 (21–28) | |
| Smoking, n (%) | 24 (21.8) | 7 (13.5) | |
| Localization CD, n (%) L1/L2/L3/L4 | 20 (18.2)/17 (15.5)/73 (66.4)/6 (5.5) | - | |
| Behavior CD, n (%) B1/B2/B3 | 39(35.5)/42 (38.2)/29(26.3) | - | |
| Extension UC, n (%) E1/E2/E3 | - | 4 (7.7)/12 (23.1)/36 (69.2) | |
| Perianal disease, n (%) | 37 (33.6) | - | |
| Endoscopic activity, n (%) Remission Mild Moderate to severe | 32 (53.3) 10 (16.7) 18 (30.0) | 10 (30.3) 13 (39.4) 10 (30.3) | |
| Clinical and biochemical activity, n (%) Remission Active | 51 (46.4) 59 (53.6) | 22 (42.3) 30 (57.7) | |
| Prior surgery, n (%) | 55 (50.0) | 5 (9.6) | |
| Immunosuppressive therapy, n (%) | 33 (30.0) | 16 (30.8) | |
| Biological therapy, n (%) | 65 (59.1) | 28 (53.8) | |
| Steroid therapy, n (%) | 7 (6.3) | 10 (19.2) | |
| CRP, mg/L | 2.5 (0.8–5.7) | 3.2 (0.7–8.6) |
| Biomarker | Crohn’s Disease | Ulcerative Colitis | ||
|---|---|---|---|---|
| Remission vs. Active | AUC (95% CI) (Sens;Spec) | p | AUC (95% CI) (Sens;Spec) | p |
| C3M | 0.56 (0.41–0.69) (45;73) | 0.477 | 0.64 (0.40–0.83) (44;80) | 0.303 |
| PRO-C3 | 0.63 (0.48–0.76) (96;31) | 0.096 | 0.65 (0.41–0.84) (94;40) | 0.337 |
| C3M/PRO-C3 | 0.64 (0.50–0.77) (54;73) | 0.071 | 0.63 (0.40–0.83) (63;80) | 0.309 |
| C4M | 0.69 (0.56–0.80) (86;44) | 0.006 * | 0.63 (0.44–0.79) (52;80) | 0.218 |
| PRO-C4 | 0.61 (0.48–0.73) (46;84) | 0.134 | 0.60 (0.41–0.76) (52;80) | 0.327 |
| PRO-C5 | 0.58 (0.44–0.70) (39;84) | 0.310 | 0.56 (0.37–0.73) (18;90) | 0.593 |
| Remission vs. moderate and severe | ||||
| C3M | 0.63 (0.46–0.78) (64;73) | 0.184 | 0.86 (0.54–0.98) (71;60) | 0.002 * |
| PRO-C3 | 0.70 (0.53–0.83) (79;38) | 0.028 * | 0.68 (0.36–0.91) (43;80) | 0.263 |
| C3M/PRO-C3 | 0.73 (0.56–0.85) (64;73) | 0.007 * | 0.80 (0.48–0.97) (86;80) | 0.037 * |
| C4M | 0.69 (0.54–0.81) (50;81) | 0.018 * | 0.76 (0.48–0.96) (70;80) | 0.038 * |
| PRO-C4 | 0.58 (0.43–0.71) (44;84) | 0.392 | 0.66 (0.41–0.85) (60;90) | 0.239 |
| PRO-C5 | 0.53 (0.38–0.67) (33;91) | 0.704 | 0.73 (0.48–0.90) (67;80) | 0.073 |
| AUC (95% CI) (Sens;Spec) | Dg. Accuracy, % | |
|---|---|---|
| CD (remission vs. active) | ||
| C4M, C3M/PRO-C3 | 0.67(0.40–0.81) (54;73) | 64.00 |
| C4M, C3M/PRO-C3 a | 0.80 (0.66–0.90) (75;84) | 75.51 |
| CD (remission vs. moderate to severe) | ||
| C4M, C3M/PRO-C3 | 0.77 (0.60–0.89) (57;85) | 75.00 |
| C4M, C3M/PRO-C3 a | 0.93 (0.66–0.90) (93;80) | 84.62 |
| UC (remission vs. active) | ||
| C3M, C4M | 0.66 (0.43–0.85) (88;60) | 76.19 |
| C3M, C4M a | 0.95 (0.79–1.00) (94;80) | 90.48 |
| C4M, C3M/PRO-C3 | 0.65 (0.45–0.86) (44;70) | 76.19 |
| C4M, C3M/PRO-C3 a | 0.93 (0.72–0.99) (88;100) | 85.71 |
| UC (remission vs. moderate to severe) | ||
| C3M, C4M | 0.80 (0.48–0.96) (43;80) | 75.00 |
| C4M, C3M/PRO-C3 | 0.94 (0.65–0.99) (86;100) | 83.33 |
Publisher’s Note: MDPI stays neutral with regard to jurisdictional claims in published maps and institutional affiliations. |
© 2022 by the authors. Licensee MDPI, Basel, Switzerland. This article is an open access article distributed under the terms and conditions of the Creative Commons Attribution (CC BY) license (https://creativecommons.org/licenses/by/4.0/).
Share and Cite
Domislovic, V.; Høg Mortensen, J.; Lindholm, M.; Kaarsdal, M.A.; Brinar, M.; Barisic, A.; Manon-Jensen, T.; Krznaric, Z. Inflammatory Biomarkers of Extracellular Matrix Remodeling and Disease Activity in Crohn’s Disease and Ulcerative Colitis. J. Clin. Med. 2022, 11, 5907. https://doi.org/10.3390/jcm11195907
Domislovic V, Høg Mortensen J, Lindholm M, Kaarsdal MA, Brinar M, Barisic A, Manon-Jensen T, Krznaric Z. Inflammatory Biomarkers of Extracellular Matrix Remodeling and Disease Activity in Crohn’s Disease and Ulcerative Colitis. Journal of Clinical Medicine. 2022; 11(19):5907. https://doi.org/10.3390/jcm11195907
Chicago/Turabian StyleDomislovic, Viktor, Joachim Høg Mortensen, Majken Lindholm, Morten Asser Kaarsdal, Marko Brinar, Ana Barisic, Tina Manon-Jensen, and Zeljko Krznaric. 2022. "Inflammatory Biomarkers of Extracellular Matrix Remodeling and Disease Activity in Crohn’s Disease and Ulcerative Colitis" Journal of Clinical Medicine 11, no. 19: 5907. https://doi.org/10.3390/jcm11195907
APA StyleDomislovic, V., Høg Mortensen, J., Lindholm, M., Kaarsdal, M. A., Brinar, M., Barisic, A., Manon-Jensen, T., & Krznaric, Z. (2022). Inflammatory Biomarkers of Extracellular Matrix Remodeling and Disease Activity in Crohn’s Disease and Ulcerative Colitis. Journal of Clinical Medicine, 11(19), 5907. https://doi.org/10.3390/jcm11195907

