An Application of Machine Learning That Uses the Magnetic Resonance Imaging Metric, Mean Apparent Diffusion Coefficient, to Differentiate between the Histological Types of Ovarian Cancer
Abstract
1. Introduction
2. Methods
2.1. Study Participants and Clinical Findings
2.2. MRI Protocol and Interpretation
2.3. Statistical Analysis
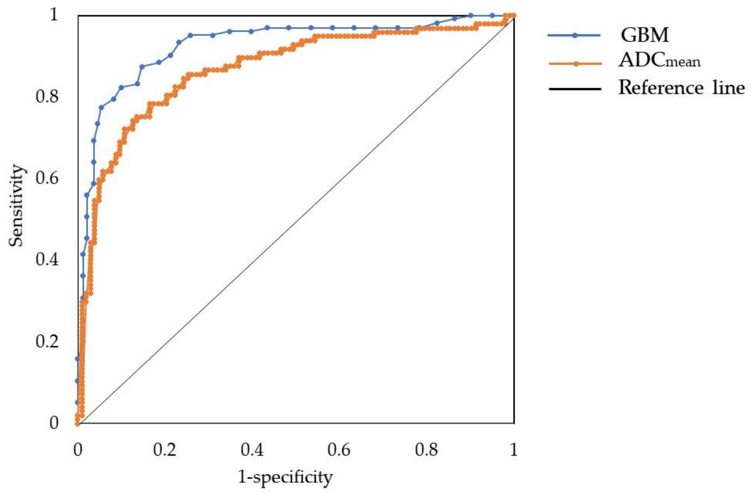
3. Results
3.1. Clinical Factors of the Study Population
3.2. ADCmean Values and Proportions of the Solid Portion in Each Histological Type of EOC
3.3. Subanalysis for Stage I EOC Including BOT
3.4. Logistic Regression Analysis
3.5. Machine Learning Analysis
4. Discussion
5. Conclusions
Supplementary Materials
Author Contributions
Funding
Institutional Review Board Statement
Informed Consent Statement
Data Availability Statement
Conflicts of Interest
References
- Sung, H.; Ferlay, J.; Siegel, R.L.; Laversanne, M.; Soerjomataram, I.; Jemal, A.; Bray, F. Global Cancer Statistics 2020: GLOBOCAN Estimates of Incidence and Mortality Worldwide for 36 Cancers in 185 Countries. CA Cancer J. Clin. 2021, 71, 209–249. [Google Scholar] [CrossRef] [PubMed]
- Siegel, R.L.; Miller, K.D.; Jemal, A. Cancer statistics, 2016. CA Cancer J. Clin. 2016, 66, 7–30. [Google Scholar] [CrossRef] [PubMed]
- Torre, L.A.; Trabert, B.; DeSantis, C.E.; Miller, K.D.; Samimi, G.; Runowicz, C.D.; Gaudet, M.M.; Jemal, A.; Siegel, R.L. Ovarian cancer statistics, 2018. CA Cancer J. Clin. 2018, 68, 284–296. [Google Scholar] [CrossRef] [PubMed]
- Lisio, M.A.; Fu, L.; Goyeneche, A.; Gao, Z.H.; Telleria, C. High-Grade Serous Ovarian Cancer: Basic Sciences, Clinical and Therapeutic Standpoints. Int. J. Mol. Sci. 2019, 20, 952. [Google Scholar] [CrossRef]
- Kurman, R.J.; Shih, I.M. The Dualistic Model of Ovarian Carcinogenesis: Revisited, Revised, and Expanded. Am. J. Pathol. 2016, 186, 733–747. [Google Scholar] [CrossRef]
- Perren, T.J. Mucinous epithelial ovarian carcinoma. Ann. Oncol. 2016, 27 (Suppl. S1), i53–i57. [Google Scholar] [CrossRef] [PubMed]
- Eisenkop, S.M.; Friedman, R.L.; Wang, H.J. Complete cytoreductive surgery is feasible and maximizes survival in patients with advanced epithelial ovarian cancer: A prospective study. Gynecol. Oncol. 1998, 69, 103–108. [Google Scholar] [CrossRef] [PubMed]
- Delga, B.; Classe, J.M.; Houvenaeghel, G.; Blache, G.; Sabiani, L.; El Hajj, H.; Andrieux, N.; Lambaudie, E. 30 Years of Experience in the Management of Stage III and IV Epithelial Ovarian Cancer: Impact of Surgical Strategies on Survival. Cancers 2020, 12, 768. [Google Scholar] [CrossRef]
- Chung, Y.S.; Park, S.Y.; Lee, J.Y.; Park, J.Y.; Lee, J.W.; Kim, H.S.; Suh, D.S.; Kim, Y.H.; Lee, J.M.; Kim, M.; et al. Outcomes of non-high grade serous carcinoma after neoadjuvant chemotherapy for advanced-stage ovarian cancer: A Korean gynecologic oncology group study (OV 1708). BMC Cancer 2019, 19, 341. [Google Scholar] [CrossRef]
- Armstrong, D.K.; Alvarez, R.D.; Bakkum-Gamez, J.N.; Barroilhet, L.; Behbakht, K.; Berchuck, A.; Berek, J.S.; Chen, L.M.; Cristea, M.; DeRosa, M.; et al. NCCN Guidelines Insights: Ovarian Cancer, Version 1.2019. J. Natl. Compr. Cancer Netw. 2019, 17, 896–909. [Google Scholar] [CrossRef]
- Gershenson, D.M. The heterogeneity of epithelial ovarian cancer: Getting it right. Cancer 2010, 116, 1400–1402. [Google Scholar] [CrossRef]
- Thomassin-Naggara, I.; Bazot, M.; Daraï, E.; Callard, P.; Thomassin, J.; Cuenod, C.A. Epithelial ovarian tumors: Value of dynamic contrast-enhanced MR imaging and correlation with tumor angiogenesis. Radiology 2008, 248, 148–159. [Google Scholar] [CrossRef]
- Wang, F.; Wang, Y.; Zhou, Y.; Liu, C.; Xie, L.; Zhou, Z.; Liang, D.; Shen, Y.; Yao, Z.; Liu, J. Comparison between types I and II epithelial ovarian cancer using histogram analysis of monoexponential, biexponential, and stretched-exponential diffusion models. J. Magn. Reson. Imaging 2017, 46, 1797–1809. [Google Scholar] [CrossRef]
- Levy, A.; Medjhoul, A.; Caramella, C.; Zareski, E.; Berges, O.; Chargari, C.; Boulet, B.; Bidault, F.; Dromain, C.; Balleyguier, C. Interest of diffusion-weighted echo-planar MR imaging and apparent diffusion coefficient mapping in gynecological malignancies: A review. J. Magn. Reson. Imaging 2011, 33, 1020–1027. [Google Scholar] [CrossRef] [PubMed]
- Khan, S.R.; Arshad, M.; Wallitt, K.; Stewart, V.; Bharwani, N.; Barwick, T.D. What’s New in Imaging for Gynecologic Cancer? Curr. Oncol. Rep. 2017, 19, 85. [Google Scholar] [CrossRef] [PubMed]
- Akita, H.; Jinzaki, M.; Kikuchi, E.; Sugiura, H.; Akita, A.; Mikami, S.; Kuribayashi, S. Preoperative T Categorization and Prediction of Histopathologic Grading of Urothelial Carcinoma in Renal Pelvis Using Diffusion-Weighted MRI. Am. J. Roentgenol. 2011, 197, 1130–1136. [Google Scholar] [CrossRef]
- Cao, K.; Gao, M.; Sun, Y.S.; Li, Y.L.; Sun, Y.; Gao, Y.N.; Zhang, X.P. Apparent diffusion coefficient of diffusion weighted MRI in endometrial carcinoma-Relationship with local invasiveness. Eur. J. Radiol. 2012, 81, 1926–1930. [Google Scholar] [CrossRef]
- Surov, A.; Meyer, H.J.; Wienke, A. Can apparent diffusion coefficient (ADC) distinguish breast cancer from benign breast findings? A meta-analysis based on 13 847 lesions. BMC Cancer 2019, 19, 955. [Google Scholar] [CrossRef]
- Nero, C.; Ciccarone, F.; Boldrini, L.; Lenkowicz, J.; Paris, I.; Capoluongo, E.D.; Testa, A.C.; Fagotti, A.; Valentini, V.; Scambia, G. Germline BRCA 1-2 status prediction through ovarian ultrasound images radiogenomics: A hypothesis generating study (PROBE study). Sci. Rep. 2020, 10, 16511. [Google Scholar] [CrossRef]
- Lee, H.C.; Yoon, H.K.; Nam, K.; Cho, Y.J.; Kim, T.K.; Kim, W.H.; Bahk, J.H. Derivation and Validation of Machine Learning Approaches to Predict Acute Kidney Injury after Cardiac Surgery. J. Clin. Med. 2018, 7, 322. [Google Scholar] [CrossRef] [PubMed]
- Currie, G.; Hawk, K.E.; Rohren, E.; Vial, A.; Klein, R. Machine Learning and Deep Learning in Medical Imaging: Intelligent Imaging. J. Med. Imaging Radiat. Sci. 2019, 50, 477–487. [Google Scholar] [CrossRef] [PubMed]
- Pi, S.; Cao, R.; Qiang, J.W.; Guo, Y.H. Utility of DWI with quantitative ADC values in ovarian tumors: A meta-analysis of diagnostic test performance. Acta Radiol. 2018, 59, 1386–1394. [Google Scholar] [CrossRef] [PubMed]
- Tanaka, Y.O.; Okada, S.; Satoh, T.; Matsumoto, K.; Oki, A.; Saida, T.; Yoshikawa, H.; Minami, M. Differentiation of epithelial ovarian cancer subtypes by use of imaging and clinical data: A detailed analysis. Cancer Imaging 2016, 16, 3. [Google Scholar] [CrossRef] [PubMed]
- Zhang, G.; Yao, W.; Sun, T.; Liu, X.; Zhang, P.; Jin, J.; Bai, Y.; Hua, K.; Zhang, H. Magnetic resonance imaging in categorization of ovarian epithelial cancer and survival analysis with focus on apparent diffusion coefficient value: Correlation with Ki-67 expression and serum cancer antigen-125 level. J. Ovarian Res. 2019, 12, 59. [Google Scholar] [CrossRef] [PubMed]
- Rosen, D.G.; Zhang, Z.; Shan, W.; Liu, J. Morphological and molecular basis of ovarian serous carcinoma. J. Biomed. Res. 2010, 24, 257–263. [Google Scholar] [CrossRef][Green Version]
- Wang, F.; Wang, Y.; Zhou, Y.; Liu, C.; Liang, D.; Xie, L.; Yao, Z.; Liu, J. Apparent Diffusion Coefficient Histogram Analysis for Assessing Tumor Staging and Detection of Lymph Node Metastasis in Epithelial Ovarian Cancer: Correlation with p53 and Ki-67 Expression. Mol. Imaging Biol. 2019, 21, 731–739. [Google Scholar] [CrossRef]
- Oh, J.W.; Rha, S.E.; Oh, S.N.; Park, M.Y.; Byun, J.Y.; Lee, A. Diffusion-weighted MRI of epithelial ovarian cancers: Correlation of apparent diffusion coefficient values with histologic grade and surgical stage. Eur. J. Radiol. 2015, 84, 590–595. [Google Scholar] [CrossRef]
- Lheureux, S.; Gourley, C.; Vergote, I.; Oza, A.M. Epithelial ovarian cancer. Lancet 2019, 393, 1240–1253. [Google Scholar] [CrossRef]
- Ono, T.; Kishimoto, K.; Tajima, S.; Maeda, I.; Takagi, M.; Suzuki, N.; Mimura, H. Apparent diffusion coefficient (ADC) values of serous, endometrioid, and clear cell carcinoma of the ovary: Pathological correlation. Acta Radiol. 2020, 61, 992–1000. [Google Scholar] [CrossRef]
- Böcker, W. [WHO classification of breast tumors and tumors of the female genital organs: Pathology and genetics]. Verh. Dtsch. Ges. Pathol. 2002, 86, 116–119. [Google Scholar]
- del Carmen, M.G.; Birrer, M.; Schorge, J.O. Clear cell carcinoma of the ovary: A review of the literature. Gynecol. Oncol. 2012, 126, 481–490. [Google Scholar] [CrossRef]
- Choi, H.J.; Lee, J.H.; Kang, S.; Seo, S.S.; Choi, J.I.; Lee, S.; Park, S.Y. Contrast-enhanced CT for differentiation of ovarian metastasis from gastrointestinal tract cancer: Stomach cancer versus colon cancer. AJR 2006, 187, 741–745. [Google Scholar] [CrossRef]
- Ma, F.H.; Cai, S.Q.; Qiang, J.W.; Zhao, S.H.; Zhang, G.F.; Rao, Y.M. MRI for differentiating primary fallopian tube carcinoma from epithelial ovarian cancer. J. Magn. Reson. Imaging 2015, 42, 42–47. [Google Scholar] [CrossRef] [PubMed]
- Yang, S.; Tang, H.; Xiao, F.; Zhu, J.; Hua, T.; Tang, G. Differentiation of borderline tumors from type I ovarian epithelial cancers on CT and MR imaging. Abdom. Radiol. 2020, 45, 3230–3238. [Google Scholar] [CrossRef]
- Nasioudis, D.; Chapman-Davis, E.; Witkin, S.S.; Holcomb, K. Prognostic significance of lymphadenectomy and prevalence of lymph node metastasis in clinically-apparent stage I endometrioid and mucinous ovarian carcinoma. Gynecol. Oncol. 2017, 144, 414–419. [Google Scholar] [CrossRef] [PubMed]
- Morice, P.; Gouy, S.; Leary, A. Mucinous Ovarian Carcinoma. N. Engl. J. Med. 2019, 380, 1256–1266. [Google Scholar] [CrossRef]
- Zhu, C.; Zhu, J.; Qian, L.; Liu, H.; Shen, Z.; Wu, D.; Zhao, W.; Xiao, W.; Zhou, Y. Clinical characteristics and prognosis of ovarian clear cell carcinoma: A 10-year retrospective study. BMC Cancer 2021, 21, 322. [Google Scholar] [CrossRef]
- Keilwagen, J.; Grosse, I.; Grau, J. Area under precision-recall curves for weighted and unweighted data. PLoS ONE 2014, 9, e92209. [Google Scholar] [CrossRef] [PubMed]
- Qian, L.; Ren, J.; Liu, A.; Gao, Y.; Hao, F.; Zhao, L.; Wu, H.; Niu, G. MR imaging of epithelial ovarian cancer: A combined model to predict histologic subtypes. Eur. Radiol. 2020, 30, 5815–5825. [Google Scholar] [CrossRef]
- Tianqi Chen, C.G. XGBoost: A Scalable Tree Boosting System. In Proceedings of the 22nd ACM SIGKDD International Conference on Knowledge Discovery and Data Mining, San Francisco, CA, USA, 13–17 August 2016; 2016; pp. 785–794. [Google Scholar] [CrossRef]
- Lavdas, I.; Glocker, B.; Rueckert, D.; Taylor, S.A.; Aboagye, E.O.; Rockall, A.G. Machine learning in whole-body MRI: Experiences and challenges from an applied study using multicentre data. Clin. Radiol. 2019, 74, 346–356. [Google Scholar] [CrossRef] [PubMed]
- Zhang, W.; Wang, L.; Xin, Z. Combination of serum CA19-9 and CA125 levels and contrast-enhanced ultrasound parametric data facilitates to differentiate ovarian serous carcinoma from ovarian malignant epithelial cancer. Medicine 2018, 97, e0358. [Google Scholar] [CrossRef] [PubMed]
- Lertkhachonsuk, A.A.; Buranawongtrakoon, S.; Lekskul, N.; Rermluk, N.; Wee-Stekly, W.W.; Charakorn, C. Serum CA19-9, CA-125 and CEA as tumor markers for mucinous ovarian tumors. J. Obstet. Gynaecol. Res. 2020, 46, 2287–2291. [Google Scholar] [CrossRef] [PubMed]





| HGSOC | Non-HGSOC | ||
|---|---|---|---|
| (n = 103) | (n = 97) | p Value | |
| Age at diagnosis (years) | 55 (47,61) 1 | 50 (41,60) 1 | <0.001 |
| Overall survival (months) | 47 (13.5,83) 1 | 39 (17,76) 1 | 0.552 |
| Stage | 3 (2,3) 1 | 1 (1,2) 1 | <0.001 |
| I | 10 (9.7%) | 65 (67.0%) | |
| II | 16 (15.5%) | 16 (16.5%) | |
| III | 58 (56.3%) | 15 (15.5%) | |
| IV | 19 (18.5) | 0 (0%) | |
| CA 125 (IU/mL) | 671.8 (154,2140) 1 | 58.8 (11.9,199) 1 | <0.001 |
| 8 (7.8%) | 38 (39.2%) | ||
| >35 | 93 (90.3%) | 47 (48.5%) | |
| CA 19-9 (IU/mL) | 8.4 (5.0,17.2) 1 | 32 (11.5,94.2) 1 | <0.001 |
| 74 (71.8%) | 37 (38.0%) | ||
| >37 | 7 (6.8%) | 30 (30.9%) | |
| ADCmean () | 1.05 (0.93,1.15) 1 | 1.53 (1.27,1.76) 1 | <0.001 |
| Total diameter (cm) | 7.8 (5.8,9.5) 1 | 11 (8.1,13.2) 1 | <0.001 |
| Ratio (solid/total cyst, area) | 0.46 (0.21,0.67) 1 | 0.31 (0.095,0.525) 1 | 0.001 |
| Location of ovarian lesion | <0.001 | ||
| Both | 42 (41%) | 12 (12%) | |
| Right | 32 (31%) | 49 (51%) | |
| Left | 29 (28%) | 36 (37%) | |
| Peritoneal seeding | <0.001 | ||
| Present | 66 (64%) | 24 (25%) | |
| Absent | 37 (34%) | 73 (75%) |
| Odd Ratio | p Value | 95% Confidential Interval [CI] | |
|---|---|---|---|
| Age at diagnosis | 1.048 | 0.063 | [0.998, 1.102] |
| ADCmean () | 0.996 | 0.001 | [0.994, 0.998] |
| CA 19-9 (IU/mL) | 0.973 | 0.021 | [0.951, 0.996] |
| Stage | |||
| I (reference) | |||
| II | 4.16 | 0.058 | [0.954, 18.155] |
| III | 5.98 | 0.007 | [1.626, 21.965] |
| IV | 0.98 | [0.000] |
| Model | Accuracy | AUC | AUCPR |
|---|---|---|---|
| RF + (HGSOC), (EC), (CC), (LGSOC), (MC) | 0.65 | 0.82 | 0.63 |
| RF + (HGSOC), (non-HGSOC) | 0.89 | 0.91 | 0.9 |
| XGBoost + (HGSOC), (EC), (CC), (LGSOC), (MC) | 0.68 | 0.83 | 0.64 |
| XGBoost + (HGSOC), (non-HGSOC) | 0.9 | 0.92 | 0.91 |
| GBM + (HGSOC), (EC), (CC), (LGSOC), (MC) | 0.67 | 0.8 | 0.61 |
| GBM + (HGSOC), (non-HGSOC) | 0.91 | 0.93 | 0.91 |
Publisher’s Note: MDPI stays neutral with regard to jurisdictional claims in published maps and institutional affiliations. |
© 2021 by the authors. Licensee MDPI, Basel, Switzerland. This article is an open access article distributed under the terms and conditions of the Creative Commons Attribution (CC BY) license (https://creativecommons.org/licenses/by/4.0/).
Share and Cite
Song, H.; Bak, S.; Kim, I.; Woo, J.Y.; Cho, E.J.; Choi, Y.J.; Rha, S.E.; Oh, S.A.; Youn, S.Y.; Lee, S.J. An Application of Machine Learning That Uses the Magnetic Resonance Imaging Metric, Mean Apparent Diffusion Coefficient, to Differentiate between the Histological Types of Ovarian Cancer. J. Clin. Med. 2022, 11, 229. https://doi.org/10.3390/jcm11010229
Song H, Bak S, Kim I, Woo JY, Cho EJ, Choi YJ, Rha SE, Oh SA, Youn SY, Lee SJ. An Application of Machine Learning That Uses the Magnetic Resonance Imaging Metric, Mean Apparent Diffusion Coefficient, to Differentiate between the Histological Types of Ovarian Cancer. Journal of Clinical Medicine. 2022; 11(1):229. https://doi.org/10.3390/jcm11010229
Chicago/Turabian StyleSong, Heekyoung, Seongeun Bak, Imhyeon Kim, Jae Yeon Woo, Eui Jin Cho, Youn Jin Choi, Sung Eun Rha, Shin Ah Oh, Seo Yeon Youn, and Sung Jong Lee. 2022. "An Application of Machine Learning That Uses the Magnetic Resonance Imaging Metric, Mean Apparent Diffusion Coefficient, to Differentiate between the Histological Types of Ovarian Cancer" Journal of Clinical Medicine 11, no. 1: 229. https://doi.org/10.3390/jcm11010229
APA StyleSong, H., Bak, S., Kim, I., Woo, J. Y., Cho, E. J., Choi, Y. J., Rha, S. E., Oh, S. A., Youn, S. Y., & Lee, S. J. (2022). An Application of Machine Learning That Uses the Magnetic Resonance Imaging Metric, Mean Apparent Diffusion Coefficient, to Differentiate between the Histological Types of Ovarian Cancer. Journal of Clinical Medicine, 11(1), 229. https://doi.org/10.3390/jcm11010229

