Burden of Diabetic Retinopathy amongst People with Diabetes Attending Primary Care in Kerala: Nayanamritham Project
Abstract
1. Introduction
2. Methods
2.1. Study Design and Setting
2.2. Participants
2.3. Data Acquisition
2.4. Diabetic Retinopathy Screening Protocol
2.5. Outcomes
- Any DR was defined as presence of any grade of NPDR, PDR or DMO in at least one eye of an individual.
- Referable retinopathy included severe NPDR, PDR or DMO in any or both eyes of an individual.
- DMO in any or both eyes of an individual.
- STDR was defined as presence of PDR and/or DMO.
2.6. Sample Size
2.7. Statistical Analysis
2.8. Estimation of Prevalence of DR
2.9. Risk Factor Analysis
2.9.1. Socio-Demographic Variables
2.9.2. Diabetes Variables
2.9.3. Behavioural Risk Factors and Covariates
2.9.4. Clinical Risk Factors and Covariates
3. Results
3.1. Prevalence of DR
3.2. Age- and Gender-Standardised Prevalence of DR in Socio-Demographic Groups
3.3. DR Associations
4. Discussion
5. Conclusions
Author Contributions
Funding
Institutional Review Board Statement
Informed Consent Statement
Data Availability Statement
Acknowledgments
Conflicts of Interest
Patient and Public Involvement
Appendix A
| Sample | Any DR (% (95%CI)) | STDR (% (95%CI)) | DMO (% (95%CI)) | Referable DR (% (95%CI)) | |
|---|---|---|---|---|---|
| Amachal | 130 | 18.7 (18.3, 19.1) | 3.0 (2.9, 3.2) | 1.5 (1.4, 1.6) | 6.8 (6.6, 7.0) |
| Aruvikkara | 401 | 15.2 (15, 15.5) | 4.2 (4.2, 4.3) | 3 (2.9, 3) | 9.8 (9.6, 9.9) |
| Balaramapuram | 487 | 18.9 (18.6, 19.2) | 2.7 (2.6, 2.8) | 1.2 (1.2, 1.3) | 6 (5.9, 6.2) |
| Chemmaruthi | 269 | 18.5 (18.3, 18.8) | 2.6 (2.6, 2.6) | 2.6 (2.6, 2.7) | 4.5 (4.4, 4.5) |
| Karakulam | 318 | 19.5 (19.2, 19.7) | 3.2 (3.1, 3.2) | 1.6 (1.5, 1.6) | 14.7 (14.4, 15) |
| Keezhattingal | 255 | 19.5 (19.2, 19.9) | 2.3 (2.2, 2.4) | 1.6 (1.5, 1.7) | 6.8 (6.6, 6.9) |
| Kilimanoor | 331 | 13.7 (13.5, 13.9) | 1.8 (1.8, 1.9) | 1.5 (1.5, 1.6) | 3.7 (3.6, 3.7) |
| Kottukal | 475 | 17.2 (16.8, 17.5) | 0.4 (0.4, 0.4) | 0.4 (0.4, 0.4) | 8.3 (8.2, 8.5) |
| Kuttichal | 73 | 25.4 (25.1, 25.7) | 2.7 (2.6, 2.8) | 2.7 (2.6, 2.8) | 12.1 (11.8, 12.3) |
| Pallichal | 394 | 14.8 (14.5, 15.2) | 4.1 (4.0, 4.2) | 1.7 (1.7, 1.8) | 8.5 (8.2, 8.7) |
| Paraniyam | 182 | 17.5 (17.2, 17.7) | 1.6 (1.6, 1.7) | 1.1 (1.1, 1.1) | 9.3 (9.2, 9.4) |
| Poozhanad | 263 | 30.2 (29.7, 30.7) | 9.7 (9.3, 10) | 8.1 (7.8, 8.4) | 15.2 (14.8, 15.6) |
| Thonnakkal | 312 | 19.5 (19.2, 19.8) | 5.4 (5.2, 5.6) | 4.2 (4.0, 4.4) | 10.4 (10.1, 10.6) |
| Vamanapuram | 255 | 10.4 (10.2, 10.7) | 1.6 (1.5, 1.6) | 1.5 (1.4, 1.6) | 6.2 (6.0, 6.4) |
| Vattiyoorkavu | 382 | 12.6 (12.4, 12.7) | 4.4 (4.3, 4.5) | 3.1 (3.1, 3.2) | 6.5 (6.4, 6.6) |
References
- Geldsetzer, P.; Manne-Goehler, J.; Theilmann, M.; Davies, J.I.; Awasthi, A.; Vollmer, S.; Jaacks, L.M.; Bärnighausen, T.; Atun, R. Dia-betes and Hypertension in India: A Nationally Representative Study of 1.3 Million Adults. JAMA Intern. Med. 2018, 178, 363–372. [Google Scholar] [CrossRef]
- India State-Level Disease Burden Initiative Diabetes Collaborators. The increasing burden of diabetes and variations among the states of India: The Global Burden of Disease Study 1990–2016. Lancet Glob. Health 2018, 6, e1352–e1362. [Google Scholar] [CrossRef]
- Dandona, L.; Dandona, R.; Kumar, G.A.; Shukla, D.K.; Paul, V.K.; Balakrishnan, K.; Prabhakaran, D.; Tandon, N.; Salvi, S.; Dash, A.P.; et al. Nations within a nation: Variations in epidemiological transition across the states of India, 1990–2016 in the Global Burden of Disease Study. Lancet 2017, 390, 2437–2460. [Google Scholar] [CrossRef]
- Bourne, R.R.A.; Flaxman, S.R.; Braithwaite, T.; Cicinelli, M.V.; Das, A.; Jonas, J.B.; Keeffe, J.; Kempen, J.H.; Leasher, J.; Limburg, H.; et al. Magnitude, temporal trends, and projections of the global prevalence of blindness and distance and near vision impairment: A system-atic review and meta-analysis. Lancet Glob. Health 2017, 5, e888–e897. [Google Scholar] [CrossRef]
- Marmamula, S.; Khanna, R.C.; Kunkunu, E.; Rao, G.N. Population-based assessment of prevalence and causes of visual impair-ment in the state of Telangana, India: A cross-sectional study using the rapid assessment of visual impairment (RAVI) methodology. BMJ Open 2016, 6, e012617. [Google Scholar]
- Pearce, E.; Sivaprasad, S. A Review of Advancements and Evidence Gaps in Diabetic Retinopathy Screening Models. Clin. Ophthalmol. 2020, 14, 3285–3296. [Google Scholar] [CrossRef] [PubMed]
- Balarajan, Y.; Selvaraj, S.; Subramanian, S. Health care and equity in India. Lancet 2011, 377, 505–515. [Google Scholar] [CrossRef]
- Parayil, G. The ‘Kerala model’ of development: Development and sustainability in the Third World. Third World Q. 1996, 17, 941–958. [Google Scholar] [CrossRef]
- Krishnan, G.; Nair, A. Primary health-care innovations with superior allusion to family health centers. Indian J. Community Med. 2021, 46, 149–152. [Google Scholar] [CrossRef]
- Nambiar, D.; Sankar, H.; Negi, J.; Nair, A.; Sadanandan, R. Field-testing of primary health-care indicators, India. Bull. World Health Organ. 2020, 98, 747–753. [Google Scholar] [CrossRef]
- Mondal, S.; Van Belle, S. India’s NCD strategy in the SDG era: Are there early signs of a paradigm shift? Glob. Health 2018, 14, 39. [Google Scholar] [CrossRef]
- Sivaprasad, S.; Raman, R.; Conroy, D.; Mohan, V.; Wittenberg, R.; Rajalakshmi, R.; Majeed, A.; Krishnakumar, S.; Prevost, T.; Parameswaran, S.; et al. The ORNATE India Project: United Kingdom- India Research Collabora-tion to tackle visual impairment due to diabetic retinopathy. Eye 2020, 34, 1279–1286. [Google Scholar] [CrossRef]
- Sivaprasad, S.; Netuveli, G.; Wittenberg, R.; Khobragade, R.; Sadanandan, R.; Gopal, B.; Premnazir, L.; Conroy, D.; Srinath, J.; Rama-krishnan, R.; et al. Complex interventions to implement a diabetic retinopathy care pathway in the public health system in Kerala: The Nayanamritham study protocol. BMJ Open 2021, 11, e040577. [Google Scholar]
- Natarajan, S.; Jain, A.; Krishnan, R.; Rogye, A.; Sivaprasad, S. Diagnostic Accuracy of Community-Based Diabetic Retinopathy Screening with an Offline Artificial Intelligence System on a Smartphone. JAMA Ophthalmol. 2019, 137, 1182–1188. [Google Scholar] [CrossRef]
- Prathiba, V.; Rajalakshmi, R.; Arulmalar, S.; Usha, M.; Subhashini, R.; Gilbert, C.; Anjana, R.; Mohan, V. Accuracy of the smartphone-based nonmydriatic retinal camera in the detection of sight-threatening diabetic retinopathy. Indian J. Ophthalmol. 2020, 68 (Suppl. 1), S42–S46. [Google Scholar] [CrossRef]
- Gloucestershire Retinal Education Group. Available online: https://www.gregcourses.com/test-and-training (accessed on 20 October 2021).
- Wilkinson, C.P.; Ferris, F.L., 3rd; Klein, R.E.; Lee, P.P.; Agardh, C.D.; Davis, M.; Dills, D.; Kampik, A.; Pararajasegaram, R.; Verdaguer, J.T.; et al. Proposed international clinical diabetic retinopathy and diabetic macular edema disease severity scales. Ophthalmology 2003, 110, 1677–1682. [Google Scholar] [CrossRef]
- Dolnicar, S.; Grün, B.; Leisch, F. Market Segmentation Analysis. In Market Segmentation Analysis. Management for Professionals; Springer: Singapore, 2018; pp. 11–22. [Google Scholar] [CrossRef][Green Version]
- WHO Expert Consultation. Appropriate body-mass index for Asian populations and its implications for policy and inter-vention strategies. Lancet 2004, 363, 157–163. [Google Scholar] [CrossRef]
- Whelton, P.K.; Carey, R.M.; Aronow, W.S.; Casey, D.E., Jr.; Collins, K.J.; Himmelfarb, C.D.; Palma, S.M.D.; Gidding, S.; Jamerson, K.A.; Jones, D.W.; et al. 2017 ACC/AHA/AAPA/ABC/ACPM/AGS/APhA/ASH/ASPC/NMA/PCNA guide-line for the prevention, detection, evaluation, and management of high blood pressure in adults: A report of the American College of Cardiology/American Heart Association Task Force on Clinical Practice Guidelines. Hypertension 2018, 71, 1269–1324. [Google Scholar]
- Raman, R.; Gupta, A.; Krishna, S.; Kulothungan, V.; Sharma, T. Prevalence and risk factors for diabetic microvascular complications in newly diagnosed type II diabetes mellitus. Sankara Nethralaya Diabetic Retinopathy Epidemiology and Molecular Genetic Study (SN-DREAMS, report 27). J. Diabetes its Complicat. 2012, 26, 123–128. [Google Scholar] [CrossRef]
- Namperumalsamy, P.; Kim, R.; Vignesh, T.P.; Nithya, N.; Royes, J.; Gijo, T.; Thulasiraj, R.D.; Vijayakumar, V. Prevalence and risk factors for diabetic retinopathy: A population-based assessment from Theni District, south India. Postgrad. Med. J. 2009, 85, 643–648. [Google Scholar] [CrossRef] [PubMed]
- Krishnaiah, S.; Das, T.; Nirmalan, P.K.; Shamanna, B.R.; Nutheti, R.; Rao, G.N.; Thomas, R. Risk factors for diabetic retinopathy: Findings from The Andhra Pradesh Eye Disease Study. Clin. Ophthalmol. 2007, 1, 475–482. [Google Scholar]
- Rema, M.; Premkumar, S.; Anitha, B.; Deepa, R.; Pradeepa, R.; Mohan, V. Prevalence of Diabetic Retinopathy in Urban India: The Chennai Urban Rural Epidemiology Study (CURES) Eye Study, I. Investig. Ophthalmol. Vis. Sci. 2005, 46, 2328–2333. [Google Scholar] [CrossRef] [PubMed]
- Jonas, J.B.; Nangia, V.; Khare, A.; Matin, A.; Bhojwani, K.; Kulkarni, M.; Sinha, A.; Lambat, S.; Gupta, R.; Panda-Jonas, S. Prevalence and Associated Factors of Diabetic Retinopathy in Rural Central India. Diabetes Care 2013, 36, e69. [Google Scholar] [CrossRef]
- Scanlon, P.H. The English National Screening Programme for diabetic retinopathy 2003–2016. Acta Diabetol. 2017, 54, 515–525. [Google Scholar] [CrossRef] [PubMed]
- Fahadullah, M.; Memon, N.A.; Salim, S.; Ahsan, S.; Fahim, M.F.; Mumtaz, S.N.; Shaikh, S.A.; Memon, M.S. Diagnostic accuracy of non-mydriatic fundus camera for screening of diabetic retinopathy: A hospital based observational study in Pakistan. J. Pak. Med. Assoc. 2019, 69, 378–382. [Google Scholar] [PubMed]
- Wadhwani, M.; Vashist, P.; Singh, S.S.; Gupta, N.; Malhotra, S.; Gupta, A.; Shukla, P.; Bhardwaj, A.; Gupta, V. Diabetic retinopathy screening programme utilising non-mydriatic fundus imaging in slum populations of New Delhi, India. Trop. Med. Int. Health 2018, 23, 405–414. [Google Scholar] [CrossRef]
- Bartnik, S.E.; Copeland, S.P.; Aicken, A.J.; Turner, A.W. Optometry-facilitated teleophthalmology: An audit of the first year in Western Australia. Clin. Exp. Optom. 2018, 101, 700–703. [Google Scholar] [CrossRef]
- Wong, R.L.; Tsang, C.; Wong, D.S.; McGhee, S.; Lam, C.; Lian, J.; Lee, J.W.; Lai, J.S.; Chong, V.; Wong, I.Y. Are we making good use of our public resources? The false-positive rate of screening by fundus photography for diabetic macular oedema. Hong Kong Med. J. 2017, 23, 356–364. [Google Scholar] [CrossRef]
- Yau, J.W.Y.; Rogers, S.L.; Kawasaki, R.; Lamoureux, E.L.; Kowalski, J.W.; Bek, T.; Chen, S.-J.; Dekker, J.M.; Fletcher, A.; Grauslund, J.; et al. Global Prevalence and Major Risk Factors of Diabetic Retinopathy. Diabetes Care 2012, 35, 556–564. [Google Scholar] [CrossRef]
- Murthy, G.S.; Gilbert, C.; Shukla, R.; Bala, V.; Anirudh, G.; Mukpalkar, S.; Yamarthi, P.; Pendyala, S.; Puppala, A.; Supriya, E.; et al. Overview and project highlights of an initiative to integrate diabetic retinopathy screening and management in the public health system in India. Indian J. Ophthalmol. 2020, 68 (Suppl. 1), S12–S15. [Google Scholar] [CrossRef] [PubMed]


| Family Health Centre (FHC) | Population Served by FHC | Numbers (%) or People with Diabetes | Screened Population N (%) 5307 |
|---|---|---|---|
| Amachal | 42,240 | 2768 (6.5%) | 140 (5%) |
| Aruvikkara | 37,555 | 4017 (10.6%) | 412 (10.2%) |
| Balaramapuram | 37,185 | 4202 (11.3%) | 538 (12.8%) |
| Chemmaruthi | 37,188 | 4122 (11.1%) | 323 (7.8%) |
| Kadakampalli * | 37,233 | 596 (1.6%) | 306 (51.3%) |
| Karakulam | 68,408 | 1864 (2.7%) | 353 (18.9%) |
| Keezhattingal | 29,522 | 842 (2.8%) | 264 (31.3%) |
| Kilimanoor | 24,894 | 1632 (6.5%) | 390 (23.8%) |
| Kottukal | 36,527 | 3280 (8.9%) | 479 (14.6%) |
| Kuttichal | 20,012 | 946 (4.7%) | 92 (9.7%) |
| Pallichal | 47,118 | 2841 (6%) | 453 (15.9%) |
| Paraniyam | 19,046 | 492 (2.5%) | 199 (40.4%) |
| Poozhanad | 19,253 | 2645 (13.7%) | 299 (11.3%) |
| Thonnakkal | 33,423 | 3468 (10.3%) | 353 (10.1%) |
| Vamanapuram | 28,865 | 1262 (4.3%) | 310 (24.5%) |
| Vattiyoorkavu | 56,830 | 3944 (6.9%) | 396 (10%) |
| Variables | All Screened (100%) | Working Sample (85.3%) |
|---|---|---|
| N (%) | N (%) | |
| Age categories (years) | 5307 (100) | 4527 (100) |
| <30 | 25 (0.5) | Excluded |
| 31–40 | 177 (3.3) | 142 (3.1) |
| 41–50 | 877 (16.5) | 763 (16.9) |
| 51–60 | 1907 (35.9) | 1691 (37.4) |
| 61–70 | 1808 (34.1) | 1547 (34.2) |
| >70 | 513 (9.7) | 384 (8.5) |
| Gender | 5307 (100) | 4527 (100) |
| Female | 3538 (66.7) | 3023 (66.8) |
| Male | 1769 (33.3) | 1504 (33.2) |
| Education | 5298 (100) | 4521 (100) |
| None | 476 (9.0) | 401 (8.9) |
| Primary | 2578 (48.7) | 2159 (47.8) |
| Secondary | 1943 (36.7) | 1733 (38.3) |
| Graduate or higher | 301 (5.7) | 228 (5.0) |
| Income | 5016 (100) | 4275 (100) |
| <INR 600 | 2662 (53.1) | 2250 (52.6) |
| >INR 600 | 2354 (46.9) | 2025 (47.4) |
| Occupation | 5306 (100) | 4527 (100) |
| Not Working | 772 (14.6) | 616 (13.6) |
| Housewife | 2549 (48.0) | 2184 (48.2) |
| Retired | 343 (6.5) | 295 (6.5) |
| Unskilled worker | 736 (13.9) | 652 (14.4) |
| Skilled Worked | 336 (6.3) | 282 (6.2) |
| Professional | 155 (2.9) | 114 (2.5) |
| Self employed | 415 (7.8) | 384 (8.5) |
| Healthy lifestyle score (Median = 1.5) | 5204 (100) | 4450 (100) |
| Below median | 2664 (51.2) | 2333 (52.4) |
| Above median | 2540 (48.8) | 2117 (47.6) |
| BMI | 5082 (100) | 4337 (100) |
| Normal | 1212 (23.9) | 1042 (24.0) |
| Overweight | 2450 (48.2) | 2078 (47.9) |
| Obese | 1420 (27.9) | 1217 (28.1) |
| Waist circumference | 5177(100) | 4402 (100) |
| Below WHO cut-off | 3124 (60.3) | 2565 (58.3) |
| Above WHO cut-off | 2053 (39.7) | 1837 (41.7) |
| Systolic Blood Pressure | 5223 (100) | 4458 (100) |
| ≤129 mmHg | 1997 (38.2) | 1764 (39.6) |
| 130–139 mmHg | 1307 (25.0) | 1117 (25.1) |
| ≥140 mmHg | 1919 (36.7) | 1577 (35.4) |
| Known history of Neuropathy | 5307 (100) | 4527 (100) |
| No | 3739 (70.0) | 3245 (71.7) |
| Yes | 1568 (30.0) | 1282 (28.3) |
| Known history of Diabetic kidney disease | 5307 (100) | 4527 (100) |
| No | 5182 (97.6) | 4419 (97.6) |
| Yes | 125 (2.4) | 108 (2.4) |
| Parental history of Diabetes | 4462 (100) | 3788 (100) |
| None | 2312 (51.8) | 1974 (52.1) |
| Either or both parents are diabetic | 2150 (48.2) | 1814 (47.9) |
| Duration of diabetes | 5307 (100) | 4527 (100) |
| <4 years | 1322 (24.9) | 1103 (24.4) |
| 4 to 9 years | 1775 (33.5) | 1530 (33.8) |
| >9 years | 2210 (41.6) | 1894 (41.8) |
| Insulin used in treatment | 5305 (100) | 4525 (100) |
| No | 3883 (73.2) | 3303 (73.0) |
| Yes | 1422 (26.8) | 1222 (27.0) |
| FPG ≥ 7 mmol/L or RBG ≥ 11.1 mmol/L | 4559 (100) | 3934 (100) |
| No | 1814 (39.8) | 1540 (39.2) |
| Yes | 2745 (60.2) | 2394 (60.9) |
| Self-reported previous diagnosis of DR | 5307 (100) | 4527 (100) |
| No | 5265 (99.2) | 4497 (99.3) |
| Yes | 42 (0.8) | 30 (0.7) |
| Family Health Centre | 5307 (100) | 4527 (100) |
| Amachal | 140 (2.6) | 130 (2.9) |
| Aruvikkara | 412 (7.8) | 401 (8.9) |
| Balaramapuram | 538 (10.1) | 487 (10.8) |
| Chemmaruthi | 323 (6.1) | 269 (5.9) |
| Kadakampalli | 306 (5.8) | Excluded |
| Karakulam | 353 (6.7) | 318 (7.0) |
| Keezhattingal | 264 (5.0) | 255 (5.6) |
| Kilimanoor | 390 (7.4) | 331 (7.3) |
| Kottukal | 479 (9.0) | 475 (10.5) |
| Kuttichal | 92 (1.7) | 73 (1.6) |
| Pallichal | 453 (8.5) | 394 (8.7) |
| Paraniyam | 199 (3.8) | 182 (4.0) |
| Poozhanad | 299 (5.6) | 263 (5.8) |
| Thonnakkal | 353 (6.7) | 312 (6.9) |
| Vamanapuram | 310 (5.8) | 255 (5.6) |
| Vattiyoorkavu | 396 (7.5) | 382 (8.4) |
| Any DR | STDR | DMO | Referable DR | |
|---|---|---|---|---|
| (% (95%CI)) | (% (95%CI)) | (% (95%CI)) | (% (95%CI)) | |
| Overall | 17.4 (15.1, 19.7) | 3.3 (2.1, 4.5) | 2.3 (1.3, 3.3) | 8.3 (6.5, 10.1) |
| Age group (years) | ||||
| 31–40 | 15.6 (8.8, 22.4) | 2.8 (0.2, 5.4) | 2.8 (0.2, 5.4) | 6.4 (2.1, 10.6) |
| 41–50 | 19.6 (15.7, 23.4) | 3.4 (1.7, 5.1) | 2.6 (1.1, 4.1) | 8.6 (5.8, 11.4) |
| 51–60 | 18.4 (16, 20.8) | 3.5 (2.0, 5.0) | 2.3 (1.2, 3.4) | 9 (7.0, 11.0) |
| 61–70 | 17.4 (14.7, 20) | 3.2 (2.0, 4.3) | 2.1 (1.1, 3.1) | 8.5 (6.7, 10.2) |
| >70 | 9.9 (5.7, 14.1) | 2.8 (0.2, 5.4) | 2.1 (0.0, 4.6) | 5.1 (1.7, 8.5) |
| Gender | ||||
| Female | 16.0 (13.4, 18.6) | 3.2 (1.9, 4.5) | 2.3 (1.2, 3.4) | 7.8 (6.0, 9.7) |
| Male | 20.4 (18, 22.8) | 3.5 (2.3, 4.7) | 2.3 (1.3, 3.2) | 9.3 (6.9, 11.8) |
| Any DR | STDR | DMO | Referable DR | |
|---|---|---|---|---|
| (% (95%CI)) | (% (95%CI)) | (% (95%CI)) | (% (95%CI)) | |
| Education | ||||
| None | 18.8 (11.5, 26.0) | 2.8 (0.6, 5) | 2.3 (0.3, 4.4) | 9.6 (6.3, 13) |
| Primary | 17.2 (14.4, 20.1) | 3.4 (1.5, 5.3) | 2.5 (0.8, 4.1) | 8.8 (6.3, 11.2) |
| Secondary | 17.8 (15.8, 19.8) | 3.1 (2.3, 4.0) | 2.1 (1.4, 2.8) | 7.7 (5.8, 9.6) |
| Graduate or higher | 13.6 (10.0, 17.1) | 3.9 (0.8, 6.9) | 2.1 (0.0, 4.4) ns | 7.1 (3.4, 10.8) |
| Income (Median = INR 600) | ||||
| Below median | 18.3 (14.9, 21.8) | 3.8 (1.8, 5.8) | 2.7 (1.1, 4.3) | 10.2 (8.1, 12.3) |
| Above median | 16.4 (14.2, 18.7) | 2.7 (1.9, 3.6) | 2.0 (1.2, 2.7) | 6.6 (5.0, 8.2) |
| Occupation | ||||
| Not working | 20 (16.5, 23.4) | 4.2 (1.9, 6.6) | 2.2 (1.2, 3.1) | 12 (8.1, 15.9) |
| Housewife | 17.3 (14.0, 20.6) | 3.5 (2.0, 4.9) | 2.5 (1.2, 3.9) | 7.7 (6.1, 9.4) |
| Retired | 19.4 (13.9, 25) | 3.7 (1.1, 6.4) | 3.1 (0.9, 5.3) | 9.1 (4.8, 13.4) |
| Unskilled worker | 16.5 (12.8, 20.1) | 3.5 (1.3, 5.6) | 2.6 (0.7, 4.5) | 8 (4.8, 11.2) |
| Skilled Worker | 16.3 (11.3, 21.4) | 2.9 (0.0, 6.2) ns | 1.6 (0.0, 3.9) ns | 7.3 (3.2, 11.4) |
| Professional | 9.8 (2.7, 16.9) | 1.6 (0.0, 4.0) ns | 0.8 (0.0, 2.5) ns | 3.2 (0.0, 7.5) ns |
| Self employed | 17.8 (15.3, 20.3) | 1.2 (0.0, 2.9) ns | 1.2 (0.0, 2.9) ns | 8.4 (6.1, 10.7) |
| Any DR | STDR | DMO | Referable DR | |
|---|---|---|---|---|
| (% (95%CI)) | (% (95%CI)) | (% (95%CI)) | (% (95%CI)) | |
| Healthy lifestyle score (Median = 1.5) | ||||
| Below median | 17.3 (14.5, 20.2) | 3.8 (1.9, 5.6) | 2.5 (0.8, 4.3) | 8.8 (6.0, 11.6) |
| Above median | 17.4 (14.9, 20) | 2.8 (1.4, 4.2) | 2.1 (0.9, 3.2) | 8.0 (6.5, 9.4) |
| BMI | ||||
| Normal | 22.2 (19.1, 25.3) | 4.0 (2.3, 5.7) | 2.4 (0.7, 4.1) | 11.1 (8.4, 13.8) |
| Overweight | 17.5 (14.3, 20.7) | 3.1 (1.7, 4.4) | 2.1 (1.2, 3) | 8.0 (6.0, 10.1) |
| Obese | 13.2 (10.7, 15.7) | 2.7 (1.2, 4.3) | 2.4 (1.1, 3.7) | 5.7 (4.1, 7.3) |
| Waist circumference | ||||
| Below WHO cut-off | 18.7 (15.1, 22.3) | 3.7 (1.8, 5.6) | 2.7 (1.1, 4.2) | 9.4 (6.5, 12.2) |
| Above WHO cut-off | 15.3 (13.4, 17.2) | 2.5 (1.6, 3.4) | 1.7 (0.9, 2.4) | 6.8 (5.0, 8.6) |
| Systolic Blood Pressure | ||||
| ≤129 mmHg | 15.5 (12.9, 18.0) | 2.6 (1.1, 4.1) | 1.9 (0.7, 3.1) | 7.5 (5.8, 9.3) |
| 130–139 mmHg | 17.4 (14.8, 20.0) | 3.5 (2.0, 5.0) | 2.4 (1.1, 3.7) | 8.2 (6.1, 10.3) |
| ≥140 mmHg | 20.0 (15.6, 24.5) | 4.0 (2.3, 5.6) | 2.7 (1.3, 4.0) | 9.4 (6.9, 12.0) |
| History of Neuropathy | ||||
| No | 16.4 (13.3, 19.5) | 3.0 (1.5, 4.4) | 2.3 (1.0, 3.5) | 6.9 (5.2, 8.7) |
| Yes | 20.1 (16.9, 23.4) | 4.1 (2.5, 5.6) | 2.4 (1.3, 3.4) | 11.9 (9.0, 14.9) |
| History of diabetic kidney disease | ||||
| No | 17.3 (15.0, 19.7) | 3.3 (2.1, 4.5) | 2.3 (1.3, 3.3) | 8.2 (6.4, 10.1) |
| Yes | 21.4 (11.8, 30.9) | 3.7 (0, 10.0) | 2.8 (1.4, 4.3) | 12.1 (2.4, 21.8) |
| Any DR | STDR | DMO | Referable DR | |
|---|---|---|---|---|
| (% (95%CI)) | (% (95%CI)) | (% (95%CI)) | (% (95%CI)) | |
| Parental history of diabetes | ||||
| None | 16.4 (13.6, 19.2) | 3.1 (1.7, 4.4) | 2.3 (1.2, 3.4) | 8.1 (6.3, 10.0) |
| Either or both parents diabetic | 19.3 (16.8, 21.8) | 3.7 (2.1, 5.4) | 2.5 (1.1, 3.9) | 9.3 (7, 11.7) |
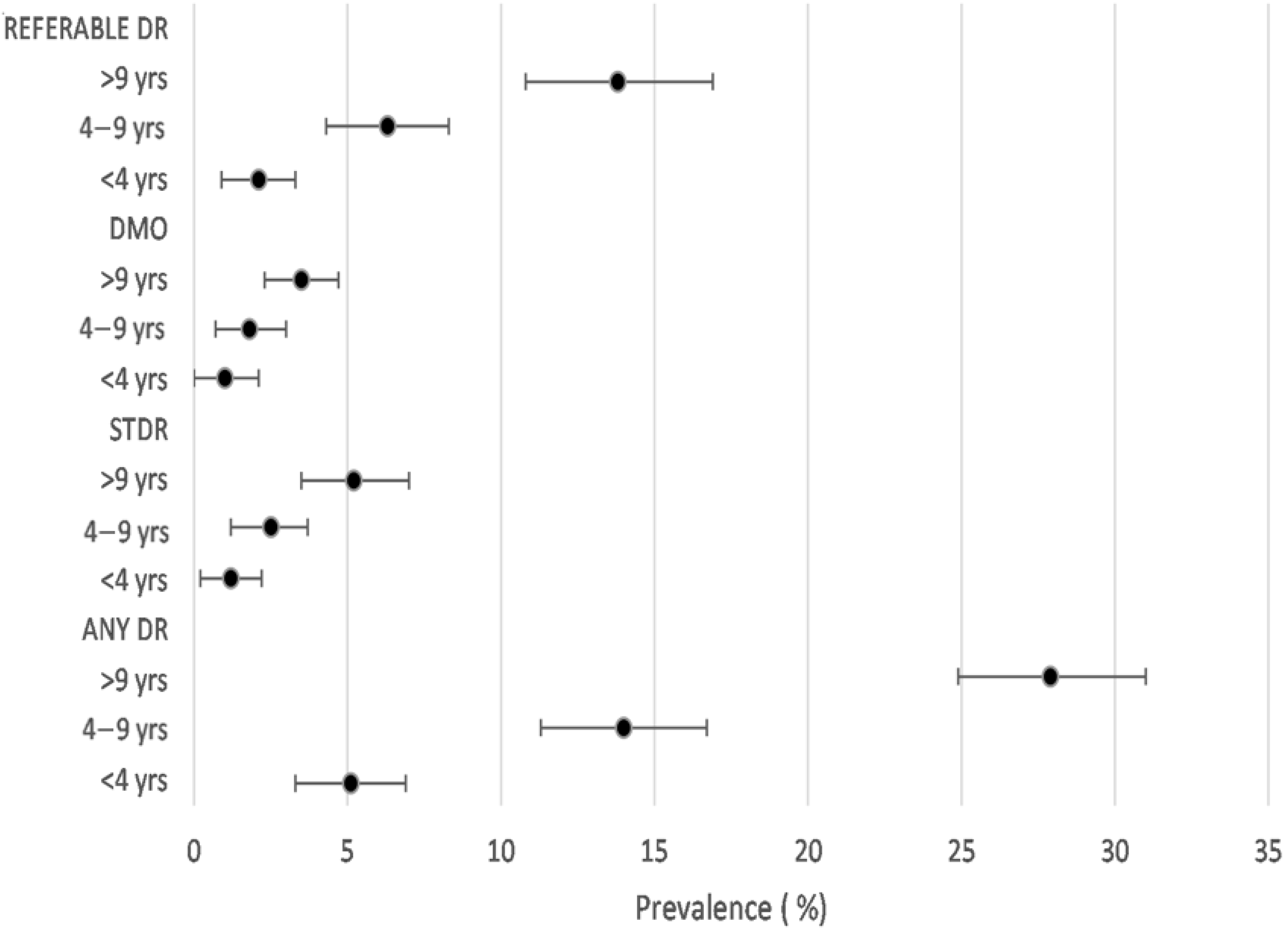
| Duration of diabetes | ||||
| <4 years | 5.1 (3.3, 6.9) | 1.2 (0.2, 2.2) | 1.0 (0.0, 2.1) | 2.1 (0.9, 3.3) |
| 4 to 9 years | 14 (11.3, 16.7) | 2.5 (1.2, 3.7) | 1.8 (0.7, 3) | 6.3 (4.3, 8.3) |
| >9 years | 27.9 (24.9, 31) | 5.2 (3.5, 7) | 3.5 (2.3, 4.7) | 13.8 (10.8, 16.9) |
| Insulin used in treatment | ||||
| No | 12.2 (10.4, 13.9) | 2.5 (1.3, 3.6) | 1.8 (0.7, 2.9) | 5.6 (4.2, 7.0) |
| Yes | 31.4 (27.3, 35.6) | 5.6 (3.6, 7.5) | 3.6 (2.2, 5.0) | 15.5 (11.4, 19.5) |
| Hyperglycaemia | ||||
| FPG < 7 mmol/L or RBG < 11.1 mmol/L | 13.6 (11.6, 15.7) | 2.5 (0.9, 4.2) | 1.9 (0.4, 3.4) | 6.5 (4.6, 8.3) |
| FPG ≥ 7 mmol/L or RBG ≥ 11.1 mmol/L | 20.1 (17.2, 22.9) | 4.0 (2.5, 5.4) | 2.8 (1.8, 3.9) | 10.1 (8.2, 12.1) |
| Self-reported previous diagnosis of DR | ||||
| No | 17.2 (14.9, 19.5) | 3.2 (2.0, 4.4) | 2.3 (1.3, 3.3) | 8.1 (6.3, 9.9) |
| Yes | 52.5 (40.8, 64.2) | 16.7 (5.8, 27.6) | 6.8 (1.6, 12.0) | 36.3 (23.9, 48.7) |
| Any DR (N = 2959) | STDR (N = 2959) | DMO (N = 2891) | Referable DR (N = 2959) | |
|---|---|---|---|---|
| OR (95%CI) | OR (95%CI) | OR (95%CI) | OR (95%CI) | |
| Age group (years) | ||||
| <40 | Reference | Reference | Reference | Reference |
| 41–50 | 1.25 (0.72–2.16) | 1.11 (0.31–3.9) | 0.93 (0.29–2.97) | 0.91 (0.44–1.89) |
| 51–60 | 0.92 (0.49–1.74) | 0.87 (0.21–3.56) | 0.65 (0.15–2.79) | 0.72 (0.32–1.62) |
| 61–70 | 0.72 (0.39–1.34) | 0.57 (0.14–2.27) | 0.36 (0.10–1.23) | 0.57 (0.26–1.23) |
| >70 | 0.39 (0.17–0.84) | 0.91 (0.18–4.44) | 0.74 (0.13–4.26) | 0.36 (0.15–0.83) |
| Gender | ||||
| Female | Reference | Reference | Reference | Reference |
| Male | 1.13 (0.88–1.46) | 1.07 (0.53–2.18) | 1.07 (0.57–2.04) | 0.90 (0.66–1.27) |
| Education | ||||
| None | Reference | Reference | Reference | Reference |
| Primary | 1.24 (0.76–2.02) | 1.03 (0.37–2.84) | 0.71 (0.25–2) | 1.03 (0.62–1.70) |
| Secondary | 1.09 (0.65–1.84) | 0.82 (0.27–2.51) | 0.55 (0.16–1.85) | 0.84 (0.46–1.51) |
| Graduate or Higher | 1.10 (0.64–1.91) | 1.55 (0.39–6.07) | 0.75 (0.15–3.72) | 1.14 (0.55–2.34) |
| Income | ||||
| Below median | Reference | Reference | Reference | Reference |
| Above median | 0.81 (0.63–1.06) | 0.61 (0.37–0.98) | 0.68 (0.41–1.14) | 0.61 (0.46–0.82) |
| Occupation | ||||
| Not Working | Reference | Reference | Reference | Reference |
| Housewife | 0.95 (0.61–1.47) | 1.62 (0.52–4.98) | 2.65 (0.75–9.29) | 0.75 (0.45–1.24) |
| Retired | 1.24 (0.90–1.72) | 1.61 (0.58–4.44) | 3.51 (0.799–15.41) | 1.31 (0.80–2.13) |
| Unskilled Worker | 0.97 (0.66–1.41) | 1.47 (0.51–4.18) | 2.30 (0.63–8.46) | 0.76 (0.39–1.48) |
| Skilled Worker | 0.88 (0.53–1.46) | 0.99 (0.18–5.39) | 1.08 (0.12–9.16) | 0.73 (0.34–1.54) |
| Professional | 0.50 (0.18–1.44) | 0.51 (0.05–4.93) | 1 | 0.43 (0.08–2.24) |
| Self-Employed | 1.08 (0.71–1.62) | 0.55 (0.09–3.10) | 1.11 (0.14–8.99) | 0.84 (0.43–1.65) |
| Lifestyle | ||||
| Healthy Lifestyle Score | ||||
| Below median | Reference | Reference | Reference | Reference |
| Above median | 1.01 (0.76–1.34) | 0.77 (0.32–1.84) | 0.90 (0.29–2.79) | 0.92 (0.58–1.46) |
| BMI | ||||
| Normal | Reference | Reference | Reference | Reference |
| Overweight | 0.82 (0.60–1.13) | 1.04 (0.73–1.49) | 1.26 (0.82–1.94) | 0.70 (0.55–0.88) |
| Obese | 0.51 (0.38–0.69) | 0.86 (0.46–1.63) | 1.18 (0.62–2.27) | 0.47 (0.33–0.67) |
| Waist circumference | ||||
| Normal | Reference | Reference | Reference | Reference |
| Above WHO cut-off | 0.78 (0.62–1) | 0.70 (0.39–1.24) | 0.70 (0.35–1.39) | 0.83 (0.60–1.15) |
| Comorbidities | ||||
| Neuropathy | ||||
| No | Reference | Reference | Reference | Reference |
| Yes | 0.96 (0.69–1.32) | 1.19 (0.67–2.12) | 0.84 (0.44–1.61) | 1.41 (1.07–1.85) |
| Chronic Kidney Disease | ||||
| No | Reference | Reference | Reference | Reference |
| Yes | 0.92 (0.54–1.60) | 0.53 (0.05–5.17) | 0.87 (0.09–7.90) | 0.75 (0.28–2.03) |
| Systolic Blood Pressure | ||||
| ≤129 mmHg | Reference | Reference | Reference | Reference |
| 130–139 mmHg | 1.24 (0.97–1.59) | 1.42 (0.71–2.81) | 1.28 (0.58–3.13) | 1.21 (0.86–1.71) |
| ≥140 mmHg | 1.37 (1.04–1.80) | 1.68 (0.87–3.24) | 1.50 (0.67–3.38) | 1.43 (1.07–1.91) |
| Diabetes factors | ||||
| Positive family history | ||||
| No | Reference | Reference | Reference | Reference |
| Yes | 1.17 (0.91–1.52) | 1.27 (0.83–1.95) | 1.02 (0.59–1.75) | 1.25 (1.01–1.55) |
| Diabetes duration | ||||
| Less than 4 years | Reference | Reference | Reference | Reference |
| 4 to 9 years | 2.24 (1.52–3.29) | 1.74 (0.86–3.53) | 1.87 (0.94–3.73) | 2.02 (1.09–3.74) |
| More than 9 years | 4.44 (2.64–7.47) | 2.58 (1.44–4.63) | 2.22 (1.11–4.44) | 3.93 (2.04–7.54) |
| Treatment including insulin | ||||
| No | Reference | Reference | Reference | Reference |
| Yes | 2.54 (1.83–3.52) | 2.09 (1.12–3.92) | 1.68 (0.64–4.40) | 2.71 (1.89–3.87) |
| Hyperglycaemia | ||||
| FPG <7 mmol/L) or RBG < 11.1 mmol/L) | Reference | Reference | Reference | Reference |
| FPG ≥ 7 mmol/L) or RBG ≥ 11.1 mmol/L) | 1.38 (1.11–1.72) | 1.07 (0.50–2.28) | 1.10 (0.47–2.55) | 1.26 (0.93–1.69) |
Publisher’s Note: MDPI stays neutral with regard to jurisdictional claims in published maps and institutional affiliations. |
© 2021 by the authors. Licensee MDPI, Basel, Switzerland. This article is an open access article distributed under the terms and conditions of the Creative Commons Attribution (CC BY) license (https://creativecommons.org/licenses/by/4.0/).
Share and Cite
Sivaprasad, S.; Sahasranamam, V.I.; George, S.; Sadanandan, R.; Gopal, B.; Premnazir, L.; Conroy, D.; Srinath, J.; Ramakrishnan, R.; Vijayanand, S.M.; et al. Burden of Diabetic Retinopathy amongst People with Diabetes Attending Primary Care in Kerala: Nayanamritham Project. J. Clin. Med. 2021, 10, 5903. https://doi.org/10.3390/jcm10245903
Sivaprasad S, Sahasranamam VI, George S, Sadanandan R, Gopal B, Premnazir L, Conroy D, Srinath J, Ramakrishnan R, Vijayanand SM, et al. Burden of Diabetic Retinopathy amongst People with Diabetes Attending Primary Care in Kerala: Nayanamritham Project. Journal of Clinical Medicine. 2021; 10(24):5903. https://doi.org/10.3390/jcm10245903
Chicago/Turabian StyleSivaprasad, Sobha, Vasudeva Iyer Sahasranamam, Simon George, Rajeev Sadanandan, Bipin Gopal, Lakshmi Premnazir, Dolores Conroy, Jyotsna Srinath, Radha Ramakrishnan, Sundaramuthil Murukaiah Vijayanand, and et al. 2021. "Burden of Diabetic Retinopathy amongst People with Diabetes Attending Primary Care in Kerala: Nayanamritham Project" Journal of Clinical Medicine 10, no. 24: 5903. https://doi.org/10.3390/jcm10245903
APA StyleSivaprasad, S., Sahasranamam, V. I., George, S., Sadanandan, R., Gopal, B., Premnazir, L., Conroy, D., Srinath, J., Ramakrishnan, R., Vijayanand, S. M., Wittenberg, R., & Netuveli, G., on behalf of the Nayanamritham Project Collaborators. (2021). Burden of Diabetic Retinopathy amongst People with Diabetes Attending Primary Care in Kerala: Nayanamritham Project. Journal of Clinical Medicine, 10(24), 5903. https://doi.org/10.3390/jcm10245903

