Factors Associated with Acute Community-Acquired Pyelonephritis Caused by Extended-Spectrum β-Lactamase-Producing Escherichia coli
Abstract
1. Introduction
2. Materials and Methods
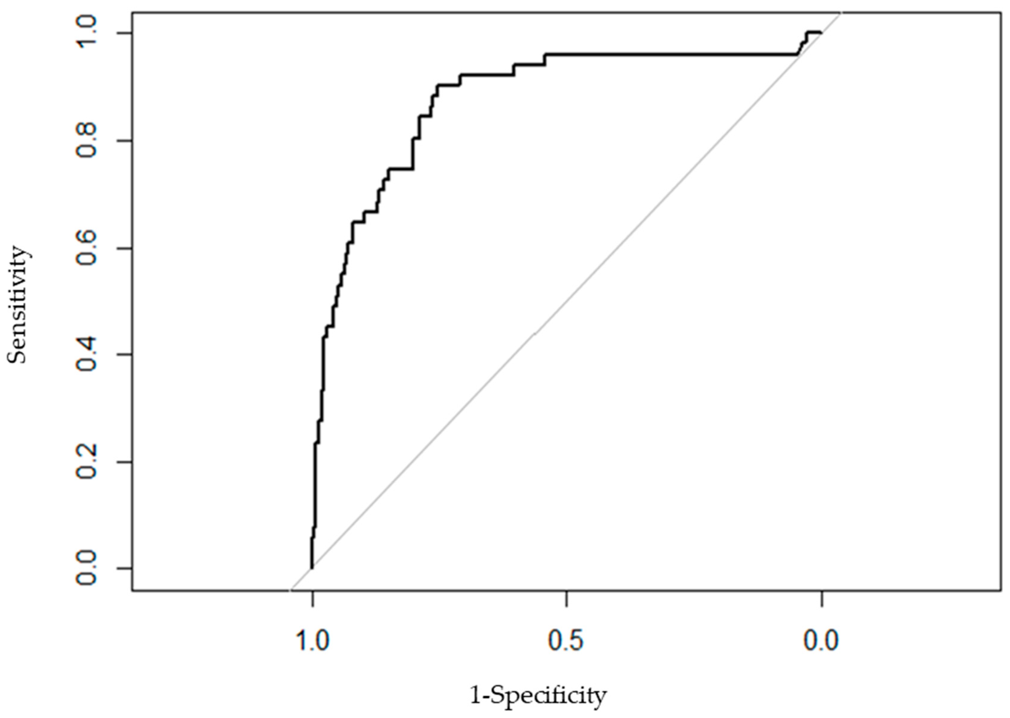
3. Results
4. Discussion
Author Contributions
Funding
Institutional Review Board Statement
Informed Consent Statement
Data Availability Statement
Conflicts of Interest
References
- Laupland, K.; Ross, T.; Pitout, J.; Church, D.; Gregson, D. Community-onset urinary tract infections: A population-based assessment. Infection 2007, 35, 150–153. [Google Scholar] [CrossRef] [PubMed]
- Czaja, C.A.; Scholes, D.; Hooton, T.M.; Stamm, W.E. Population-based epidemiologic analysis of acute pyelonephritis. Clin. Infect. Dis. 2007, 45, 273–280. [Google Scholar] [CrossRef] [PubMed]
- Lagu, T.; Rothberg, M.B.; Shieh, M.-S.; Pekow, P.S.; Steingrub, J.S.; Lindenauer, P.K. Hospitalizations, costs, and outcomes of severe sepsis in the United States 2003 to 2007. Crit. Care Med. 2012, 40, 754–761. [Google Scholar] [CrossRef] [PubMed]
- Bruyère, F.; Vidoni, M.; Péan, Y.; Ruimy, J.A.; Elfassi, R. Bacteriological analysis of more than 600 febrile urinary infections managed in a community health network. Prog. Urol. 2013, 23, 890–898. [Google Scholar] [CrossRef]
- Eurosurveillance Editorial Team. ECDC publishes 2014 surveillance data on antimicrobial resistance and antimicrobial consumption in Europe. Eurosurveillance 2015, 20, 30068. [Google Scholar]
- Scholes, D.; Hooton, T.M.; Roberts, P.L.; Gupta, K.; Stapleton, A.E.; Stamm, W.E. Risk factors associated with acute pyelonephritis in healthy women. Ann. Intern. Med. 2005, 142, 20–27. [Google Scholar] [CrossRef]
- Calbo, E.; Romaní, V.; Xercavins, M.; Gómez, L.; Vidal, C.G.; Quintana, S.; Vila, J.; Garau, J.J. Risk factors for community-onset urinary tract infections due to Escherichia coli harbouring extended-spectrum lactamases. J. Antimicrob. Chemother. 2006, 57, 780–783. [Google Scholar] [CrossRef] [PubMed]
- Azap, Ö.K.; Arslan, H.; Şerefhanoğlu, K.; Çolakoğlu, Ş.; Erdoğan, H.; Timurkaynak, F.; Senger, S.S. Risk factors for extended-spectrum beta-lactamase positivity in uropathogenic Escherichia coli isolated from community-acquired urinary tract infections. Clin. Microbiol. Infect. 2010, 16, 147–151. [Google Scholar] [CrossRef]
- Pigrau, C. Nocosomial urinary tract infections. Enferm. Infecc. Microbiol. Clin. 2013, 31, 614–624. [Google Scholar] [CrossRef]
- Sánchez-García, J.M.; Sorlózano-Puerto, A.; Navarro-Marí, J.M.; Fernández, J.G. Evolution of the antibiotic-resistance of microorganisms causing urinary tract infections: A 4-year epidemiological surveillance study in a hospital population. Rev. Clin. Esp. 2019, 219, 116–123. [Google Scholar] [CrossRef]
- Park, S.H.; Choi, S.-M.; Lee, D.-G.; Cho, S.-Y.; Lee, H.-J.; Choi, J.-K.; Choi, J.-H.; Yoo, J.-H. Impact of Extended-Spectrum β-Lactamase Production on Treatment Outcomes of Acute Pyelonephritis Caused by Escherichia coli in Patients without Health Care-Associated Risk Factors. Antimicrob. Agents Chemother. 2015, 59, 1962–1968. [Google Scholar] [CrossRef] [PubMed]
- Park, K.-H.; Oh, W.S.; Kim, E.S.; Park, S.W.; Hur, J.-A.; Kim, Y.K.; Moon, C.; Lee, J.H.; Lee, C.-S.; Kim, B.-N. Factors associated with ciprofloxacin- and cefotaxime-resistant Escherichia coli in women with acute pyelonephritis in the emergency department. Int. J. Infect. Dis. 2014, 23, 8–13. [Google Scholar] [CrossRef] [PubMed]
- Palou, J.; Pigrau, C.; Molina, I.; Ledesma, J.M.; Angulo, J. Etiology and sensitivity of uropathogens identified in uncomplicated lower urinary tract infections in women (ARESC study): Implications on empiric therapy. Med. Clin. 2011, 136, 1–7. [Google Scholar] [CrossRef] [PubMed]
- Jeon, J.H.; Kim, K.; Han, W.D.; Song, S.H.; Park, K.U.; Rhee, J.E.; Song, K.H.; Park, W.B.; Kim, E.S.; Park, S.W.; et al. Empirical use of ciprofloxacin for acute uncomplicated pyelonephritis caused by Escherichia coli in communities where the prevalence of fluoroquinolone resistance is high. Antimicrob. Agents Chemother. 2012, 56, 3043–3046. [Google Scholar] [CrossRef]
- Lee, S.; Song, D.Y.; Cho, S.H.; Kwon, K.T. Impact of extended-spectrum beta-lactamase on acute pyelonephritis treated with empirical ceftriaxone. Microb. Drug Resist. 2014, 20, 39–44. [Google Scholar] [CrossRef]
- Bouchillon, S.K.; Badal, R.E.; Hoban, D.J.; Hawser, S.P. Antimicrobial Susceptibility of Inpatient Urinary Tract Isolates of Gram-Negative Bacilli in the United States: Results from the Study for Monitoring Antimicrobial Resistance Trends (SMART) Program: 2009−2011. Clin. Ther. 2013, 35, 872–877. [Google Scholar] [CrossRef]
- Koningstein, M.; van der Bij, A.K.; de Kraker, M.E.A.; Monen, J.C.; Muilwijk, J.; de Greeff, S.C.; Geerlings, S.E.; van Hall, M.A.L.; on behalf of the ISIS-AR Study Group. Recommendations for the empirical treatment of complicated urinary tract infections using surveillance data on antimicrobial resistance in the Netherlands. PLoS ONE 2014, 9, e86634. [Google Scholar] [CrossRef]
- Allocati, N.; Masulli, M.; Alexeyev, M.F.; Di Ilio, C. Escherichia coli in Europe: An Overview. Int. J. Environ. Res. Public Health 2013, 10, 6235–6254. [Google Scholar] [CrossRef]
- Melekos, M.D.; Naber, K.G. Complicated urinary tract infections. Int. J. Antimicrob. Agents 2000, 15, 247–256. [Google Scholar] [CrossRef]
- Dellinger, R.P.; Levy, M.M.; Rhodes, A.; Annane, D.; Gerlach, H.; Opal, S.M.; Sevransky, J.E.; Sprung, C.L.; Douglas, I.S.; Jaeschke, R.; et al. Surviving Sepsis Campaign: International Guidelines for Management of Severe Sepsis and Septic Shock, 2012. Intensiv. Care Med. 2013, 39, 165–228. [Google Scholar] [CrossRef]
- Talan, D.A.; Takhar, S.S.; Krishnadasan, A.; Abrahamian, F.M.; Mower, W.R.; Moran, G.J.; EMERGEncy ID NET Study Group. Fluoroquinolone-Resistant and Extended-Spectrum β-Lactamase–Producing Escherichia coli Infections in Patients with Pyelonephritis, United States. Emerg. Infect. Dis. 2016, 22, 1594–1603. [Google Scholar] [CrossRef] [PubMed]
- Hyun, M.; Lee, J.Y.; ah Kim, H.; Ryu, S.Y. Comparison of Escherichia coli and Klebsiella pneumoniae Acute Pyelonephritis in Korean Patients. Infect. Chemother. 2019, 51, 130–141. [Google Scholar] [CrossRef]
- Kwon, K.T.; Kim, B.; Ryu, S.-Y.; Wie, S.-H.; Kim, J.; Jo, H.-U.; Park, S.Y.; Hong, K.-W.; Kim, H.I.; Kim, H.A.; et al. Changes in Clinical Characteristics of Community-Acquired Acute Pyelonephritis and Antimicrobial Resistance of Uropathogenic Escherichia coli in South Korea in the Past Decade. Antibiotics 2020, 9, 617. [Google Scholar] [CrossRef] [PubMed]
- Arana, D.M.; Rubio, M.; Alós, J.-I. Evolution of antibiotic multiresistance in Escherichia coli and Klebsiella pneumoniae isolates from urinary tract infections: A 12-year analysis (2003–2014). Enfermedades Infecciosas y Microbiología Clínica 2017, 35, 293–298. [Google Scholar] [CrossRef] [PubMed]
- Canton, R.; Novais, A.; Valverde, A.; Machado, E.; Peixe, L.; Baquero, F.; Coque, T.M. Prevalence and spread of ESBL-producing Enterobacteriaceae. Clin. Microbiol. Infect. 2008, 14 (Suppl. 1), 144–153. [Google Scholar] [CrossRef]
- Talan, D.; Takhar, S.; Krishnadasan, A.; Abrahamian, F.M.; Stamm, W.E.; Moran, G.J. Prevalence and Risk Factor Analysis of Trimethoprim-Sulfamethoxazole and Fluoroquinolone-Resistant Escherichia coli Infection among Emergency Department Patients with Pyelonephritis Antibiotic Resistance in Pyelonephritis. Clin. Infect. Dis. 2008, 47, 1155–1158. [Google Scholar] [CrossRef]
- Morosini, M.; del Campo, R. Infecciones del tracto urinario y resistencia antimicrobiana. Rev. Clín. Esp. 2019, 219, 149–150. [Google Scholar] [CrossRef] [PubMed]
- Gupta, K.; Hooton, T.M.; Naber, K.G.; Wullt, B.; Colgan, R.; Miller, L.G.; Moran, G.J.; Nicolle, L.E.; Raz, R.; Schaeffer, A.J.; et al. International clinical practice guidelines for the treatment of acute uncomplicated cystitis and pyelonephritis in women: A 2010 update by the Infectious Diseases. Society of America and the European Society for Microbiology and Infectious Diseases. Clin. Infect. Dis. 2011, 52, e103–e120. [Google Scholar] [CrossRef]
- Buonaiuto, V.A.; Marquez, I.; De Toro, I.; Joya, C.; Ruiz-Mesa, J.D.; Seara, R.; Plata, A.; Sobrino, B.; Palop, B.; Colmenero, J.D. Clinical and epidemiological features and prognosis of complicated pyelonephritis: A prospective observational single hospital-based study. BMC Infect. Dis. 2014, 14, 1–8. [Google Scholar] [CrossRef]
- Lefort, A.; Panhard, X.; Clermont, O.; Woerther, P.-L.; Branger, C.; Mentré, F.; Fantin, B.; Wolff, M.; Denamur, E. Host Factors and Portal of Entry Outweigh Bacterial Determinants to Predict the Severity of Escherichia coli Bacteremia. J. Clin. Microbiol. 2010, 49, 777–783. [Google Scholar] [CrossRef]
- Johnson, S.W.; Anderson, D.; May, D.B.; Drew, R.H. Utility of a clinical risk factor scoring model in predicting infection with extended-spectrum β-lactamase-producing enterobacteriaceae on hospital admission. Infect. Control Hosp. Epidemiol. 2013, 34, 385–392. [Google Scholar] [CrossRef] [PubMed]
- Søraas, A.; Sundsfjord, A.; Sandven, I.; Brunborg, C.; Jenum, P.A. Risk Factors for community-acquired urinary tract infections caused by esbl-producing enterobacteriaceae—A case–control study in a low prevalence country. PLoS ONE 2013, 8, e69581. [Google Scholar] [CrossRef] [PubMed]


| Variable | n | % |
|---|---|---|
| Year of admission | ||
| 2012 | 41 | (11.2%) |
| 2013 | 62 | (16.9%) |
| 2014 | 60 | (16.3%) |
| 2015 | 62 | (16.9%) |
| 2016 | 61 | (16.6%) |
| 2017 | 60 | (16.3%) |
| 2018 * | 21 | (5.7%) |
| Age | ||
| <55 years | 206 | (56.1%) |
| 55–74 years | 93 | (25.3%) |
| ≤75 years | 68 | (18.5%) |
| Sex | ||
| female | 293 | (79.8%) |
| male | 74 | (20.2%) |
| Type of admission | ||
| First admission | 359 | (97.8%) |
| Readmission | 8 | (2.2%) |
| Smoker (yes) | 151 | (41.1%) |
| Alcohol (yes) | 40 | (10.9%) |
| General surgery (yes) | 237 | (64.6%) |
| CCI (age-adjusted) | ||
| 0 | 176 | (48.0%) |
| 1–2 (mild) | 123 | (33.5%) |
| ≤3 (severe) | 68 | (18.5%) |
| Hypertension (yes) | 131 | (35.8%) |
| Diabetes mellitus (yes) | 62 | (16.9%) |
| Dependent ** (yes) | 25 | (6.8%) |
| Solid tumour (yes) | 19 | (5.2%) |
| Cardiovascular disease (yes) | 53 | (14.4%) |
| Chronic kidney disease (yes) | 20 | (5.4%) |
| Urinary incontinence (yes) | 19 | (5.2%) |
| Use of antibiotics in last 3 months (yes) | 44 | (12.0%) |
| Recurrent urinary tract infections (yes) | 78 | (21.3%) |
| Department | n | (%) |
|---|---|---|
| Short stay unit | 230 | (62.7) |
| Urology | 36 | (9.8) |
| Internal medicine | 25 | (6.8) |
| Emergency department | 16 | (4.4) |
| Other | 14 | (3.8) |
| Scheme | Non-ESBL E. coli | ESBL E. coli | p Value | ||
|---|---|---|---|---|---|
| n | % | n | % | ||
| Women aged <55 years | 163 | 91.6% | 15 | 8.4% | <0.001 |
| Women aged 55–74 years | 56 | 88.9% | 7 | 11.1% | |
| Women aged ≥75 years | 38 | 73.1% | 14 | 26.9% | |
| Men aged <55 years | 25 | 89.3% | 3 | 10.7% | 0.186 |
| Men aged 55–74 years | 21 | 70.0% | 9 | 30.0% | |
| Men aged ≥75 years | 13 | 81.2% | 3 | 18.8% | |
| Coefficient | OR | 95% CI | p Value | |
|---|---|---|---|---|
| Intercept | −3.7101 | |||
| Age | −0.0049 | 0.995 | (0.974–1.017) | 0.649 |
| Sex (man) | 0.8309 | 2.296 | (1.043–5.055) | 0.039 |
| Smoker (yes) | 1.5781 | 4.846 | (2.376–9.882) | <0.001 |
| Hypertension (yes) | 1.2066 | 3.342 | (1.423–7.852) | 0.006 |
| Urinary incontinence (yes) | 0.8290 | 2.291 | (0.689–7.618) | 0.176 |
| Recurrent UTIs (yes) | 1.5417 | 4.673 | (2.271–9.614) | <0.001 |
| Cutoff | Sensitivity (95% CI) | Specificity (95% CI) | Youden Index | Accuracy |
|---|---|---|---|---|
| 0.05 | 94.10 (87.6–100.6) | 34.90 (29.6–40.2) | 0.290 | 43.20 |
| 0.10 | 70.60 (58.1–83.1) | 72.40 (67.5–77.3) | 0.430 | 72.10 |
| 0.15 | 68.60 (55.9–81.3) | 78.70 (74.2–83.2) | 0.473 | 77.30 |
| 0.20 | 62.70 (49.4–76.0) | 82.90 (78.7–87.1) | 0.456 | 80.10 |
| 0.25 | 52.90 (39.2–66.6) | 91.10 (88.0–94.2) | 0.440 | 85.80 |
| 0.30 | 51.00 (37.3–64.7) | 92.70 (89.8–95.6) | 0.437 | 86.90 |
| 0.35 | 47.10 (33.4–60.8) | 94.30 (91.7–96.9) | 0.414 | 87.70 |
| 0.40 | 35.30 (22.2–48.4) | 96.80 (94.9–98.7) | 0.321 | 88.30 |
| 0.45 | 33.30 (20.4–46.2) | 97.50 (95.8–99.2) | 0.308 | 88.50 |
| 0.50 | 33.30 (20.4–46.2) | 98.40 (97.0–99.8) | 0.317 | 89.30 |
| 0.55 | 27.50 (15.2–39.8) | 98.40 (97.0–99.8) | 0.259 | 88.50 |
| 0.60 | 15.70 (5.7–25.7) | 99.00 (97.9–100.1) | 0.147 | 87.40 |
| 0.65 | 13.70 (4.3–23.1) | 99.00 (97.9–100.1) | 0.127 | 87.20 |
| 0.70 | 13.70 (4.3–23.1) | 99.00 (97.9–100.1) | 0.127 | 87.20 |
| Cutoff | PPV (95% CI) | NPV (95% CI) | LR+ (95% CI) | LR− (95% CI) |
|---|---|---|---|---|
| 0.05 | 19.00 (14.2–23.8) | 97.30(94.3–100.3) | 1.45 (1.3–1.6) | 0.17 (0.1–0.5) |
| 0.10 | 29.30 (21.3–37.3) | 93.80 (90.8–96.8) | 2.56 (2.1–3.1) | 0.41 (0.3–0.6) |
| 0.15 | 34.30 (25.1–43.5) | 93.90 (91.0–96.8) | 3.22 (2.6–4.0) | 0.40 (0.3–0.6) |
| 0.20 | 37.20 (27.0–47.4) | 93.20 (90.3–96.1) | 3.67 (2.8–4.7) | 0.45 (0.3–0.6) |
| 0.25 | 49.10 (35.9–62.3) | 92.30 (89.3–95.3) | 5.94 (4.1–8.5) | 0.52 (0.4–0.7) |
| 0.30 | 53.10 (39.1–67.1) | 92.10 (89.1–95.1) | 6.99 (4.7–10.4) | 0.53 (0.4–0.7) |
| 0.35 | 57.10 (42.1–72.1) | 91.70 (88.7–94.7) | 8.26 (5.2–13.0) | 0.56 (0.4–0.7) |
| 0.40 | 64.30 (46.6–82.0) | 90.20 (87.0–93.4) | 11.03 (6.0–20.4) | 0.67 (0.5–0.8) |
| 0.45 | 68.00 (49.7–86.3) | 90.00 (86.8–93.2) | 13.32 (6.7–26.6) | 0.68 (0.6–0.8) |
| 0.50 | 77.30 (59.8–94.8) | 90.10 (86.9–93.3) | 20.81 (8.7–49.9) | 0.68 (0.6–0.8) |
| 0.55 | 73.70 (53.9–93.5) | 89.30 (86.0–92.6) | 17.19 (7.2–41.2) | 0.74 (0.6–0.9) |
| 0.60 | 72.70 (46.4–99.0) | 87.90 (84.5–91.3) | 15.70 (5.1–48.6) | 0.85 (0.8–1.0) |
| 0.65 | 70.00 (41.6–98.4) | 87.60 (84.2–91.0) | 13.70 (4.4–42.4) | 0.87 (0.8–1.0) |
| 0.70 | 70.00 (41.6–98.4) | 87.60 (84.2–91.0) | 13.70 (4.4–42.4) | 0.87 (0.8–1.0) |
Publisher’s Note: MDPI stays neutral with regard to jurisdictional claims in published maps and institutional affiliations. |
© 2021 by the authors. Licensee MDPI, Basel, Switzerland. This article is an open access article distributed under the terms and conditions of the Creative Commons Attribution (CC BY) license (https://creativecommons.org/licenses/by/4.0/).
Share and Cite
Romero Nieto, M.; Maestre Verdú, S.; Gil, V.; Pérez Barba, C.; Quesada Rico, J.A.; Pascual Pérez, R. Factors Associated with Acute Community-Acquired Pyelonephritis Caused by Extended-Spectrum β-Lactamase-Producing Escherichia coli. J. Clin. Med. 2021, 10, 5192. https://doi.org/10.3390/jcm10215192
Romero Nieto M, Maestre Verdú S, Gil V, Pérez Barba C, Quesada Rico JA, Pascual Pérez R. Factors Associated with Acute Community-Acquired Pyelonephritis Caused by Extended-Spectrum β-Lactamase-Producing Escherichia coli. Journal of Clinical Medicine. 2021; 10(21):5192. https://doi.org/10.3390/jcm10215192
Chicago/Turabian StyleRomero Nieto, Mónica, Sara Maestre Verdú, Vicente Gil, Carlos Pérez Barba, Jose Antonio Quesada Rico, and Reyes Pascual Pérez. 2021. "Factors Associated with Acute Community-Acquired Pyelonephritis Caused by Extended-Spectrum β-Lactamase-Producing Escherichia coli" Journal of Clinical Medicine 10, no. 21: 5192. https://doi.org/10.3390/jcm10215192
APA StyleRomero Nieto, M., Maestre Verdú, S., Gil, V., Pérez Barba, C., Quesada Rico, J. A., & Pascual Pérez, R. (2021). Factors Associated with Acute Community-Acquired Pyelonephritis Caused by Extended-Spectrum β-Lactamase-Producing Escherichia coli. Journal of Clinical Medicine, 10(21), 5192. https://doi.org/10.3390/jcm10215192

