Prognostic Analysis of Patients with Acute Myocardial Infarction Undergoing Implantation of Different Stents for the First Time
Abstract
:1. Introduction
2. Materials and Methods
2.1. Subjects
2.2. Study Endpoints and Definitions
2.3. Data Collection and Management
2.4. Statistical Analysis
3. Results
3.1. Distribution of Basic Data
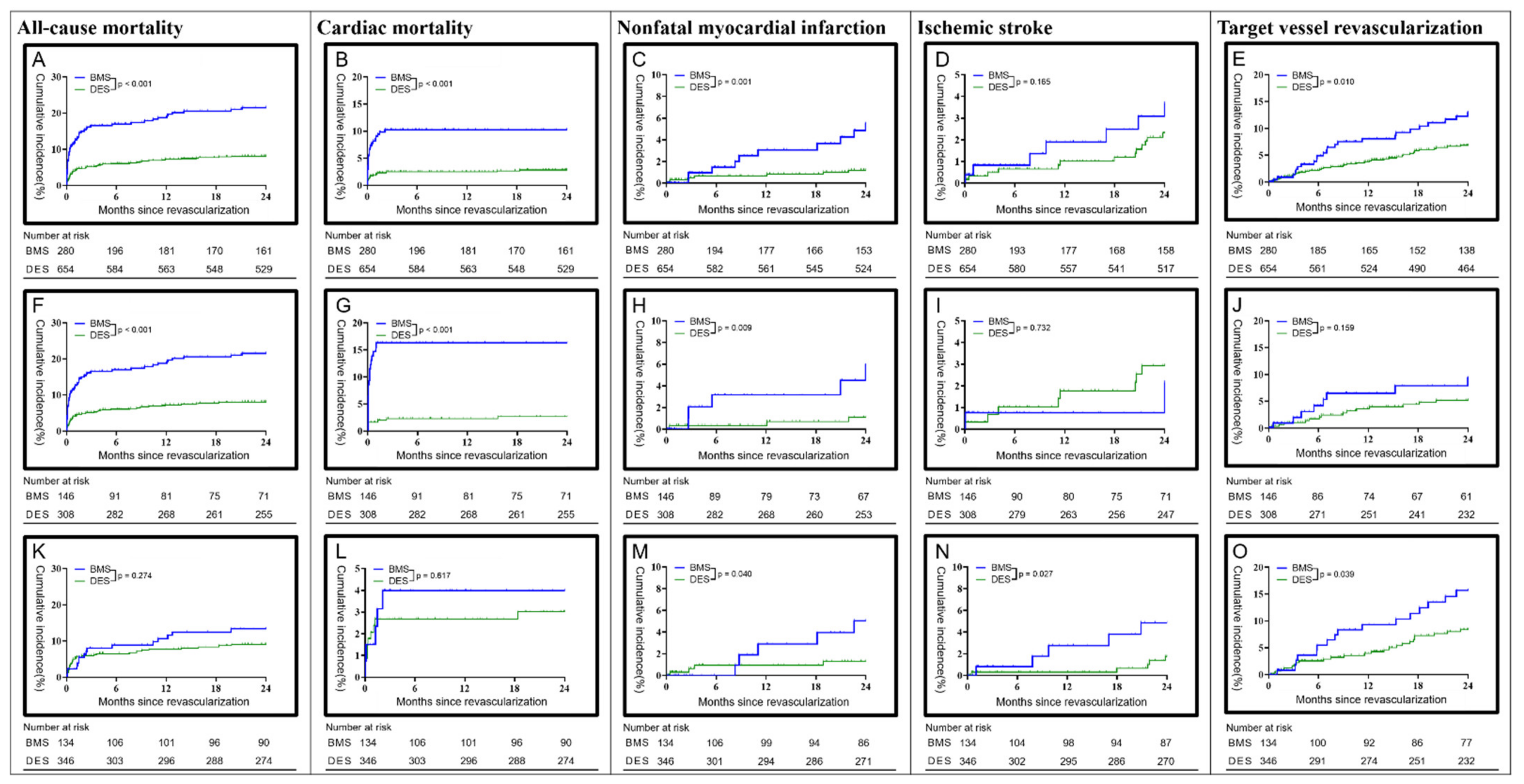
3.2. Analysis of Clinical Prognosis
3.3. Risk of a Major Cardiovascular Incident in Terms of Different Types of Coronary Artery Stents
4. Discussion
Limitations
5. Conclusions
Author Contributions
Funding
Institutional Review Board Statement
Informed Consent Statement
Conflicts of Interest
References
- Tsuchida, K.; Ikegami, R.; Sato, M.; Shobugawa, Y.; Okubo, T.; Yano, T.; Tanaka, K.; Kobayashi, T.; Hosaka, Y.; Ozaki, K.; et al. Primary percutaneous coronary intervention and bleeding risk in the era of drug-eluting stent: A long-term cohort study. Cardiovasc. Interv. Ther 2015, 30, 216–226. [Google Scholar] [CrossRef]
- Stettler, C.; Wandel, S.; Allemann, S.; Kastrati, A.; Morice, M.C.; Schömig, A.; Pfisterer, M.E.; Stone, G.W.; Leon, M.B.; de Lezo, J.S.; et al. Outcomes associated with drug-eluting and bare-metal stents: A collaborative network meta-analysis. Lancet 2007, 370, 937–948. [Google Scholar] [CrossRef]
- Mauri, L.; Silbaugh, T.S.; Garg, P.; Wolf, R.E.; Zelevinsky, K.; Lovett, A.; Varma, M.R.; Zhou, Z.; Normand, S.L. Drug-eluting or bare-metal stents for acute myocardial infarction. N. Engl. J. Med. 2008, 359, 1330–1342. [Google Scholar] [CrossRef] [Green Version]
- Chan, M.Y.; Sun, J.L.; Newby, L.K.; Shaw, L.K.; Lin, M.; Peterson, E.D.; Califf, R.M.; Kong, D.F.; Roe, M.T. Long-term mortality of patients undergoing cardiac catheterization for ST-elevation and non-ST-elevation myocardial infarction. Circulation 2009, 119, 3110–3117. [Google Scholar] [CrossRef] [PubMed]
- Abbott, J.D.; Ahmed, H.N.; Vlachos, H.A.; Selzer, F.; Williams, D.O. Comparison of outcome in patients with ST-elevation versus non-ST-elevation acute myocardial infarction treated with percutaneous coronary intervention (from the National Heart, Lung, and Blood Institute Dynamic Registry). Am. J. Cardiol. 2007, 100, 190–195. [Google Scholar] [CrossRef] [PubMed]
- Vora, A.N.; Wang, T.Y.; Hellkamp, A.S.; Thomas, L.; Henry, T.D.; Goyal, A.; Roe, M.T. Differences in Short- and Long-Term Outcomes Among Older Patients With ST-Elevation Versus Non-ST-Elevation Myocardial Infarction With Angiographically Proven Coronary Artery Disease. Circ. Cardiovasc. Qual. Outcomes 2016, 9, 513–522. [Google Scholar] [CrossRef] [PubMed] [Green Version]
- Yan, A.T.; Tan, M.; Fitchett, D.; Chow, C.M.; Fowlis, R.A.; McAvinue, T.G.; Roe, M.T.; Peterson, E.D.; Tu, J.V.; Langer, A.; et al. One-year outcome of patients after acute coronary syndromes (from the Canadian Acute Coronary Syndromes Registry). Am. J. Cardiol. 2004, 94, 25–29. [Google Scholar] [CrossRef] [PubMed]
- Fanaroff, A.C.; Roe, M.T.; Clare, R.M.; Lokhnygina, Y.; Navar, A.M.; Giugliano, R.P.; Wiviott, S.D.; Tershakovec, A.M.; Braunwald, E.; Blazing, M.A. Competing Risks of Cardiovascular Versus Noncardiovascular Death During Long-Term Follow-Up After Acute Coronary Syndromes. J. Am. Heart Assoc. 2017, 6, e005840. [Google Scholar] [CrossRef]
- Quadros, A.S.; Cambruzzi, E.; Sebben, J.; David, R.B.; Abelin, A.; Welter, D.; Sarmento-Leite, R.; Mehta, R.H.; Gottschall, C.A.; Lopes, R.D. Red versus white thrombi in patients with ST-elevation myocardial infarction undergoing primary percutaneous coronary intervention: Clinical and angiographic outcomes. Am. Heart J. 2012, 164, 553–560. [Google Scholar] [CrossRef] [PubMed]
- Yang, Y.; Li, J.; Xu, W.; Dong, S.; Yu, H.; Song, H.; Chu, Y. Thrombus aspirated from patients with ST-elevation myocardial infarction: Clinical and angiographic outcomes. J. Int. Med. Res. 2016, 44, 1514–1523. [Google Scholar] [CrossRef] [PubMed]
- Silvain, J.; Collet, J.P.; Nagaswami, C.; Beygui, F.; Edmondson, K.E.; Bellemain-Appaix, A.; Cayla, G.; Pena, A.; Brugier, D.; Barthelemy, O.; et al. Composition of coronary thrombus in acute myocardial infarction. J. Am. Coll. Cardiol. 2011, 57, 1359–1367. [Google Scholar] [CrossRef] [PubMed] [Green Version]
- Uchida, Y.; Uchida, Y.; Sakurai, T.; Kanai, M.; Shirai, S.; Morita, T. Characterization of coronary fibrin thrombus in patients with acute coronary syndrome using dye-staining angioscopy. Arterioscler. Thromb. Vasc. Biol. 2011, 31, 1452–1460. [Google Scholar] [CrossRef] [PubMed] [Green Version]
- Mizuno, K.; Satomura, K.; Miyamoto, A.; Arakawa, K.; Shibuya, T.; Arai, T.; Kurita, A.; Nakamura, H.; Ambrose, J.A. Angioscopic evaluation of coronary-artery thrombi in acute coronary syndromes. N. Engl. J. Med. 1992, 326, 287–291. [Google Scholar] [CrossRef]
- Iijima, R.; Nagashima, Y.; Sato, K.; Tokue, M.; Araki, T.; Yamazaki, K.; Shiba, M.; Hara, H.; Sugi, K.; Nakamura, M. SYNTAX score predicts major bleeding following drug-eluting stent implantation in an all-comers population. Rev. Esp. Cardiol. 2015, 68, 54–62. [Google Scholar] [CrossRef] [PubMed]
- Mahmoud, A.N.; Shah, N.H.; Elgendy, I.Y.; Agarwal, N.; Elgendy, A.Y.; Mentias, A.; Barakat, A.F.; Mahtta, D.; David Anderson, R.; Bavry, A.A. Safety and efficacy of second-generation drug-eluting stents compared with bare-metal stents: An updated meta-analysis and regression of 9 randomized clinical trials. Clin. Cardiol. 2018, 41, 151–158. [Google Scholar] [CrossRef] [Green Version]
- Yin, D.; Li, J.; Yang, Y.J.; Wang, Y.; Zhao, Y.Y.; You, S.J.; Qiao, S.B.; Xu, B.; Dou, K.F. Nine-year clinical outcomes of drug-eluting stents vs. bare metal stents for large coronary vessel lesions. J. Geriatr. Cardiol. 2017, 14, 35–41. [Google Scholar] [PubMed]
- Gao, L.; Hu, X.; Liu, Y.Q.; Xue, Q.; Wang, Y. Comparison of coronary DES and BMS in octogenarians: A systematic review and meta-analysis. J. Geriatr. Cardiol. 2013, 10, 336–343. [Google Scholar] [PubMed]
- Piscione, F.; Piccolo, R.; Cassese, S.; Galasso, G.; Chiariello, M. Clinical impact of sirolimus-eluting stent in ST-segment elevation myocardial infarction: A meta-analysis of randomized clinical trials. Catheter Cardiovasc. Interv. 2009, 74, 323–332. [Google Scholar] [CrossRef] [PubMed]
- Kastrati, A.; Dibra, A.; Spaulding, C.; Laarman, G.J.; Menichelli, M.; Valgimigli, M.; Di Lorenzo, E.; Kaiser, C.; Tierala, I.; Mehilli, J.; et al. Meta-analysis of randomized trials on drug-eluting stents vs. bare-metal stents in patients with acute myocardial infarction. Eur. Heart J. 2007, 28, 2706–2713. [Google Scholar] [CrossRef] [PubMed]
- Sabate, M.; Cequier, A.; Iniguez, A.; Serra, A.; Hernandez-Antolin, R.; Mainar, V.; Valgimigli, M.; Tespili, M.; den Heijer, P.; Bethencourt, A.; et al. Everolimus-eluting stent versus bare-metal stent in ST-segment elevation myocardial infarction (EXAMINATION): 1 year results of a randomised controlled trial. Lancet 2012, 380, 1482–1490. [Google Scholar] [CrossRef]
- Li, Y.H.; Lee, C.H.; Huang, W.C.; Wang, Y.C.; Su, C.H.; Sung, P.H.; Chien, S.C.; Hwang, J.J. 2020 Focused Update of the 2012 Guidelines of the Taiwan Society of Cardiology for the Management of ST-Segment Elevation Myocardial Infarction. Acta Cardiol. Sin. 2020, 36, 285–307. [Google Scholar]
- Li, Y.H.; Wang, Y.C.; Wang, Y.C.; Liu, J.C.; Lee, C.H.; Chen, C.C.; Hsieh, I.C.; Kuo, F.Y.; Huang, W.C.; Sung, S.H.; et al. 2018 Guidelines of the Taiwan Society of Cardiology, Taiwan Society of Emergency Medicine and Taiwan Society of Cardiovascular Interventions for the management of non ST-segment elevation acute coronary syndrome. J. Formos. Med. Assoc. 2018, 117, 766–790. [Google Scholar] [CrossRef] [PubMed]
- Sabaté, M.; Brugaletta, S.; Cequier, A.; Iñiguez, A.; Serra, A.; Jiménez-Quevedo, P.; Mainar, V.; Campo, G.; Tespili, M.; den Heijer, P.; et al. Clinical outcomes in patients with ST-segment elevation myocardial infarction treated with everolimus-eluting stents versus bare-metal stents (EXAMINATION): 5-year results of a randomised trial. Lancet 2016, 387, 357–366. [Google Scholar] [CrossRef] [Green Version]
- Räber, L.; Kelbaek, H.; Ostojic, M.; Baumbach, A.; Heg, D.; Tuller, D.; von Birgelen, C.; Roffi, M.; Moschovitis, A.; Khattab, A.A.; et al. Effect of biolimus-eluting stents with biodegradable polymer vs bare-metal stents on cardiovascular events among patients with acute myocardial infarction: The COMFORTABLE AMI randomized trial. JAMA 2012, 308, 777–787. [Google Scholar] [CrossRef] [Green Version]
- Wijnbergen, I.; Helmes, H.; Tijssen, J.; Brueren, G.; Peels, K.; van Dantzig, J.M.; Van’t Veer, M.; Koolen, J.J.; Pijls, N.H.; Michels, R. Comparison of drug-eluting and bare-metal stents for primary percutaneous coronary intervention with or without abciximab in ST-segment elevation myocardial infarction: DEBATER: The Eindhoven reperfusion study. JACC Cardiovasc. Interv. 2012, 5, 313–322. [Google Scholar] [CrossRef] [PubMed] [Green Version]
- Montalescot, G.; Sechtem, U.; Achenbach, S.; Andreotti, F.; Arden, C.; Budaj, A.; Bugiardini, R.; Crea, F.; Cuisset, T.; Di Mario, C.; et al. 2013 ESC guidelines on the management of stable coronary artery disease: The Task Force on the management of stable coronary artery disease of the European Society of Cardiology. Eur. Heart J. 2013, 34, 2949–3003. [Google Scholar] [PubMed]
- Ibanez, B.; James, S.; Agewall, S.; Antunes, M.J.; Bucciarelli-Ducci, C.; Bueno, H.; Caforio, A.L.P.; Crea, F.; Goudevenos, J.A.; Halvorsen, S.; et al. 2017 ESC Guidelines for the management of acute myocardial infarction in patients presenting with ST-segment elevation: The Task Force for the management of acute myocardial infarction in patients presenting with ST-segment elevation of the European Society of Cardiology (ESC). Eur. Heart J. 2018, 39, 119–177. [Google Scholar] [PubMed] [Green Version]
- Amsterdam, E.A.; Wenger, N.K.; Brindis, R.G.; Casey, D.E.; Ganiats, T.G.; Holmes, D.R.; Jaffe, A.S.; Jneid, H.; Kelly, R.F.; Kontos, M.C.; et al. 2014 AHA/ACC guideline for the management of patients with non-ST-elevation acute coronary syndromes: Executive summary: A report of the American College of Cardiology/American Heart Association Task Force on Practice Guidelines. Circulation 2014, 130, 2354–2394. [Google Scholar] [CrossRef] [PubMed]
- Hahn, J.Y.; Song, Y.B.; Oh, J.H.; Chun, W.J.; Park, Y.H.; Jang, W.J.; Im, E.S.; Jeong, J.O.; Cho, B.R.; Oh, S.K.; et al. Effect of P2Y12 Inhibitor Monotherapy vs Dual Antiplatelet Therapy on Cardiovascular Events in Patients Undergoing Percutaneous Coronary Intervention: The SMART-CHOICE Randomized Clinical Trial. JAMA 2019, 321, 2428–2437. [Google Scholar] [CrossRef] [PubMed] [Green Version]
- Grines, C.L.; Marshall, J.J. Short DAPT after DES: P2Y12 monotherapy is in, aspirin is out! Eur. Heart J. 2019, 40, 2605–2606. [Google Scholar] [CrossRef] [PubMed]
- Mehran, R.; Baber, U.; Sharma, S.K.; Cohen, D.J.; Angiolillo, D.J.; Briguori, C.; Cha, J.Y.; Collier, T.; Dangas, G.; Dudek, D.; et al. Ticagrelor with or without Aspirin in High-Risk Patients after PCI. N. Engl. J. Med. 2019, 381, 2032–2042. [Google Scholar] [CrossRef] [PubMed]
- Watanabe, H.; Domei, T.; Morimoto, T.; Natsuaki, M.; Shiomi, H.; Toyota, T.; Ohya, M.; Suwa, S.; Takagi, K.; Nanasato, M.; et al. Effect of 1-Month Dual Antiplatelet Therapy Followed by Clopidogrel vs 12-Month Dual Antiplatelet Therapy on Cardiovascular and Bleeding Events in Patients Receiving PCI: The STOPDAPT-2 Randomized Clinical Trial. JAMA 2019, 321, 2414–2427. [Google Scholar] [CrossRef] [PubMed] [Green Version]


| Bare-Metal Stent (n = 280) | Drug-Eluting Stent (n = 654) | p-Value | |
|---|---|---|---|
| Age, mean ± SD (years) | 65.48 ± 15.07 | 62.83 ± 13.55 | 0.008 |
| Male, n (%) | 212 (75.7%) | 532 (81.3%) | 0.050 |
| Obesity #, n (%) | 78 (28.7%) | 203 (31.4%) | 0.418 |
| Smoking, n (%) | 141 (50.4%) | 272 (41.6%) | 0.013 |
| History of chronic disease, n (%) | |||
| Hypertension | 163 (58.2%) | 388 (59.3%) | 0.751 |
| Diabetes | 83 (29.6%) | 207 (31.7%) | 0.543 |
| Hyperlipidemia | 70 (25.0%) | 172 (26.3%) | 0.678 |
| Ischemic stroke/TIA | 39 (13.9%) | 46 (7.0%) | 0.001 |
| Heart failure | 22 (7.9%) | 32 (4.9%) | 0.075 |
| End-stage renal disease | 16 (5.7%) | 43 (6.6%) | 0.620 |
| Peripheral artery obstructive disease | 6 (2.1%) | 6 (0.9%) | 0.200 |
| Laboratory data, n (%) | |||
| Hemoglobin, mean ± SD (g/dL) | 13.03 ± 2.87 | 13.92 ± 2.46 | <0.001 |
| GFR < 60 mL/min/1.73 m2 | 107 (38.2%) | 210 (32.2%) | 0.074 |
| Impaired fasting glucose a | 239 (92.3%) | 572 (91.2%) | 0.610 |
| Abnormal total cholesterol b | 141 (55.1%) | 422 (67.0%) | 0.001 |
| Abnormal HDL cholesterol c | 102 (57.0%) | 302 (58.0%) | 0.818 |
| LDL cholesterol, mean ± SD (mg/dL) | 102.52 ± 36.70 | 109.42 ± 36.33 | 0.014 |
| Abnormal triglycerides d | 33 (12.7%) | 106 (16.6%) | 0.146 |
| LVEF < 40%, n (%) | 45 (17.6%) | 73 (11.7%) | 0.021 |
| Multiple sites of vascular lesion, n (%) | 228 (81.4%) | 501 (76.6%) | 0.103 |
| Type of MI, n (%) | 0.157 | ||
| STEMI | 146 (52.1%) | 308 (47.1%) | |
| NSTEMI | 134 (47.9%) | 346 (52.9%) | |
| Infarct-related artery, n (%) | |||
| Left main artery | 9 (3.2%) | 52 (8.0%) | 0.007 |
| Left anterior descending | 252 (90.0%) | 590 (90.2%) | 0.920 |
| Ramus intermedius | 9 (3.2%) | 34 (5.2%) | 0.185 |
| Left circumflex artery | 177 (63.2%) | 421 (64.4%) | 0.735 |
| Right coronary artery | 212 (75.7%) | 482 (73.7%) | 0.519 |
| Extent of CAD, n (%) | 0.081 | ||
| 1-vessel | 52 (18.6%) | 153 (23.4%) | |
| 2-vessel | 100 (35.7%) | 190 (29.1%) | |
| 3-vessel | 128 (45.7%) | 311 (47.6%) | |
| Stent | |||
| Number, mean ± SD | 1.73 ± 0.91 | 1.78 ± 1.01 | 0.407 |
| Diameter, mean ± SD | 3.05 ± 0.54 | 2.92 ± 0.43 | 0.002 |
| Length, mean ± SD | 24.20 ± 6.45 | 28.78 ± 9.66 | <0.001 |
| Discharge medication n (%) | |||
| Anticoagulant | 236 (84.3%) | 629 (96.2%) | <0.001 |
| β-blocker | 195 (69.6%) | 533 (81.5%) | <0.001 |
| Calcium channel blocker | 37 (13.2%) | 111 (17.0%) | 0.150 |
| ACEI/ARB e | 148 (52.9%) | 412 (63.0%) | 0.004 |
| Statin | 186 (66.4%) | 551 (84.3%) | <0.001 |
| Antiarrhythmic agents | 21 (7.5%) | 58 (8.9%) | 0.491 |
| Cumulative Events (%) | Crude-HR (95% CI) | p-Value | Adj-HR (95% CI) # | p-Value | ||
|---|---|---|---|---|---|---|
| Drug-Eluting Stent | Bare-Metal Stent | |||||
| All patients with MI | ||||||
| All causes of death | 52 (8.0) | 60 (21.4) | 0.32 (0.22–0.47) | <0.001 | 0.46 (0.24–0.85) | 0.013 |
| Cardiogenic death | 18 (2.8) | 32 (11.4) | 0.22 (0.12–0.39) | <0.001 | 0.46 (0.19–1.15) | 0.096 |
| Non-fatal MI | 7 (1.1) | 10 (3.6) | 0.23 (0.09–0.60) | 0.003 | 0.10 (0.02–0.56) | 0.009 |
| Ischemic stroke | 13 (2.0) | 8 (2.9) | 0.54 (0.22–1.31) | 0.172 | 0.63 (0.19–2.17) | 0.467 |
| Target vessel revascularization | 38 (5.8) | 24 (8.6) | 0.52 (0.31–0.86) | 0.011 | 0.51 (0.23–1.10) | 0.086 |
| STEMI | ||||||
| All causes of death | 21 (6.8) | 44 (30.1) | 0.18 (0.11–0.30) | <0.001 | 0.41 (0.18–0.93) | 0.032 |
| Cardiogenic death | 8 (2.6) | 27 (18.5) | 0.12 (0.06–0.27) | <0.001 | 0.01 (0.00–3.92) | 0.137 |
| Non-fatal MI | 3 (1.0) | 5 (3.4) | 0.18 (0.04–0.77) | 0.021 | 0.22 (0.02–2.13) | 0.191 |
| Ischemic stroke | 8 (2.6) | 2 (1.4) | 1.31 (0.28–6.20) | 0.733 | 1.62 (0.15–17.64) | 0.693 |
| Target vessel revascularization | 14 (4.5) | 8 (5.5) | 0.54 (0.23–1.29) | 0.166 | 0.94 (0.23–3.83) | 0.931 |
| NSTEMI | ||||||
| All causes of death | 31 (9.0) | 16 (11.9) | 0.72 (0.39–1.31) | 0.276 | 1.01 (0.39–2.63) | 0.982 |
| Cardiogenic death | 10 (2.9) | 5 (3.7) | 0.76 (0.26–2.23) | 0.618 | 256 (21.37–3072) | <0.001 |
| Non-fatal MI | 4 (1.2) | 5 (3.7) | 0.28 (0.07–1.03) | 0.055 | 0.00 (0.00–6260) | 0.735 |
| Ischemic stroke | 5 (1.4) | 6 (4.5) | 0.29 (0.09–0.94) | 0.039 | 0.16 (0.01–1.89) | 0.147 |
| Target vessel revascularization | 24 (6.9) | 16 (11.9) | 0.52 (0.28–0.98) | 0.042 | 0.36 (0.13–0.94) | 0.037 |
Publisher’s Note: MDPI stays neutral with regard to jurisdictional claims in published maps and institutional affiliations. |
© 2021 by the authors. Licensee MDPI, Basel, Switzerland. This article is an open access article distributed under the terms and conditions of the Creative Commons Attribution (CC BY) license (https://creativecommons.org/licenses/by/4.0/).
Share and Cite
Cheng, C.-C.; Yu, F.-H.; Ko, P.-S.; Lin, H.-T.; Lin, W.-S.; Cheng, S.-M.; Su, S.-L. Prognostic Analysis of Patients with Acute Myocardial Infarction Undergoing Implantation of Different Stents for the First Time. J. Clin. Med. 2021, 10, 5093. https://doi.org/10.3390/jcm10215093
Cheng C-C, Yu F-H, Ko P-S, Lin H-T, Lin W-S, Cheng S-M, Su S-L. Prognostic Analysis of Patients with Acute Myocardial Infarction Undergoing Implantation of Different Stents for the First Time. Journal of Clinical Medicine. 2021; 10(21):5093. https://doi.org/10.3390/jcm10215093
Chicago/Turabian StyleCheng, Cheng-Chung, Fang-Han Yu, Pi-Shao Ko, Hsiao-Ting Lin, Wei-Shiang Lin, Shu-Meng Cheng, and Sui-Lung Su. 2021. "Prognostic Analysis of Patients with Acute Myocardial Infarction Undergoing Implantation of Different Stents for the First Time" Journal of Clinical Medicine 10, no. 21: 5093. https://doi.org/10.3390/jcm10215093
APA StyleCheng, C.-C., Yu, F.-H., Ko, P.-S., Lin, H.-T., Lin, W.-S., Cheng, S.-M., & Su, S.-L. (2021). Prognostic Analysis of Patients with Acute Myocardial Infarction Undergoing Implantation of Different Stents for the First Time. Journal of Clinical Medicine, 10(21), 5093. https://doi.org/10.3390/jcm10215093

