Diagnostic Value of Multiple Serum Biomarkers for Vancomycin-Induced Kidney Injury
Abstract
1. Introduction
2. Results
2.1. Subject Characteristics
2.2. Comparison of Serum Biomarker Concentrations
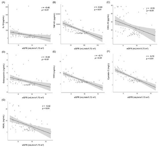
2.3. Correlation between the Serum Biomarker Concentration and eGFR
2.4. Logistic Regression Analysis
2.5. Diagnostic Performance of Serum Biomarkers for Detecting VIKI
3. Discussion
4. Materials and Methods
4.1. Study Subjects and Samples
4.2. Measurement of Serum Biomarker
4.3. Clinical Data Collection
4.4. Statistical Analysis
Supplementary Materials
Author Contributions
Funding
Institutional Review Board Statement
Informed Consent Statement
Conflicts of Interest
References
- Liu, C.; Bayer, A.; Cosgrove, S.E.; Daum, R.S.; Fridkin, S.K.; Gorwitz, R.J.; Kaplan, S.L.; Karchmer, A.W.; Levine, D.P.; Murray, B.E.; et al. Clinical practice guidelines by the infectious diseases society of america for the treatment of methicillin-resistant Staphylococcus aureus infections in adults and children. Clin. Infect. Dis. 2011, 52, 18–55. [Google Scholar] [CrossRef] [PubMed]
- Fridkin, S.K.; Edwards, J.R.; Pichette, S.C.; Pryor, E.R.; McGowan, J.E.; Tenover, F.C., Jr.; Culver, D.H.; Gaynes, R.P. Determinants of vancomycin use in adult intensive care units in 41 United States hospitals. Clin. Infect. Dis. 1999, 28, 1119–1125. [Google Scholar] [CrossRef] [PubMed][Green Version]
- Levine, D.P. Vancomycin: A History. Clin. Infect. Dis. 2006, 42, S5–S12. [Google Scholar] [CrossRef]
- Duffull, S.B.; Begg, E.J. Vancomycin toxicity. What is the evidence for dose dependency? Advers. Drug React. Toxicol. Rev. 1994, 13, 103–114. [Google Scholar]
- Zimmermann, A.E.; Katona, B.G.; Plaisance, K.I. Association of vancomycin serum concentrations with outcomes in patients with gram-positive bacteremia. Pharmacother. J. Hum. Pharmacol. Drug Ther. 1995, 15, 85–91. [Google Scholar]
- Elyasi, S.; Khalili, H.; Dashti-Khavidaki, S.; Mohammadpour, A. Vancomycin-induced nephrotoxicity: Mechanism, incidence, risk factors and special populations. A literature review. Eur. J. Clin. Pharmacol. 2012, 68, 1243–1255. [Google Scholar] [CrossRef] [PubMed]
- Rybak, M.J.; Le, J.; Lodise, T.P.; Levine, D.P.; Bradley, J.S.; Liu, C.; Mueller, B.A.; Pai, M.P.; Wong-Beringer, A.; Rotschafer, J.C.; et al. Therapeutic monitoring of vancomycin for serious methicillin-resistant Staphylococcus aureus infections: A revised consensus guideline and review by the American Society of Health-System Pharmacists, the Infectious Diseases Society of America, the Pediatric Infectious Diseases Society, and the Society of Infectious Diseases Pharmacists. Am. J. Health Syst. Pharm. 2020, 77, 835–864. [Google Scholar] [PubMed]
- Rybak, M.; Lomaestro, B.; Rotschafer, J.C.; Moellering, R.; Craig, W., Jr.; Billeter, M.; Dalovisio, J.R.; Levine, D.P. Therapeutic monitoring of vancomycin in adult patients: A consensus review of the American Society of Health-System Pharmacists, the Infectious Diseases Society of America, and the Society of Infectious Diseases Pharmacists. Am. J. Health Syst. Pharm. 2009, 66, 82–98. [Google Scholar] [CrossRef]
- Zhou, H.; Hewitt, S.M.; Yuen, P.S.; Star, R.A. Acute Kidney Injury Biomarkers—Needs, Present Status, and Future Promise. Nephrol. Self Asses. Program 2006, 5, 63–71. [Google Scholar]
- Albert, C.; Haase, M.; Albert, A.; Zapf, A.; Braun-Dullaeus, R.C.; Haase-Fielitz, A. Biomarker-Guided Risk Assessment for Acute Kidney Injury: Time for Clinical Implementation? Ann. Lab. Med. 2021, 41, 1–15. [Google Scholar] [CrossRef]
- Moran, S.M.; Myers, B.D. Course of acute renal failure studied by a model of creatinine kinetics. Kidney Int. 1985, 27, 928–937. [Google Scholar] [CrossRef] [PubMed]
- Pais, G.M.; Liu, J.; Zepcan, S.; Avedissian, S.N.; Rhodes, N.J.; Downes, K.J.; Moorthy, G.S.; Scheetz, M.H. Vancomycin-Induced Kidney Injury: Animal Models of Toxicodynamics, Mechanisms of Injury, Human Translation, and Potential Strategies for Prevention. Pharmacotherapy 2020, 40, 438–454. [Google Scholar] [CrossRef] [PubMed]
- Pais, G.M.; Avedissian, S.N.; O’Donnell, J.N.; Rhodes, N.J.; Lodise, T.P.; Prozialeck, W.C.; Lamar, P.C.; Cluff, C.; Gulati, A.; Fitzgerald, J.C.; et al. Comparative Performance of Urinary Biomarkers for Vancomycin-Induced Kidney Injury According to Timeline of Injury. Antimicrob. Agents Chemother. 2019, 63, e00079-19. [Google Scholar] [CrossRef] [PubMed]
- O’Donnell, J.N.; Rhodes, N.J.; Lodise, T.P.; Prozialeck, W.C.; Miglis, C.M.; Joshi, M.D.; Venkatesan, N.; Pais, G.; Cluff, C.; Lamar, P.C.; et al. 24-h Pharmacokinetic Relationships for Vancomycin and Novel Urinary Biomarkers of Acute Kidney Injury. Antimicrob. Agents Chemother. 2017, 61, e00416-17. [Google Scholar] [CrossRef]
- Pang, H.-M.; Qin, X.-L.; Liu, T.-T.; Wei, W.-X.; Cheng, D.-H.; Lu, H.; Guo, Q.; Jing, L. Urinary kidney injury molecule-1 and neutrophil gelatinase-associated lipocalin as early biomarkers for predicting vancomycin-associated acute kidney injury: A prospective study. Eur. Rev. Med Pharmacol. Sci. 2017, 21, 4203–4213. [Google Scholar] [PubMed]
- Rhodes, N.J.; Prozialeck, W.C.; Lodise, T.P.; Venkatesan, N.; O’Donnell, J.N.; Pais, G.; Cluff, C.; Lamar, P.C.; Neely, M.N.; Gulati, A.; et al. Evaluation of Vancomycin Exposures Associated with Elevations in Novel Urinary Biomarkers of Acute Kidney Injury in Vancomycin-Treated Rats. Antimicrob. Agents Chemother. 2016, 60, 5742–5751. [Google Scholar] [CrossRef] [PubMed]
- Vanmassenhove, J.; Vanholder, R.; Nagler, E.; Van Biesen, W. Urinary and serum biomarkers for the diagnosis of acute kidney injury: An in-depth review of the literature. Nephrol. Dial. Transplant. 2013, 28, 254–273. [Google Scholar] [CrossRef] [PubMed]
- Schley, G.; Köberle, C.; Manuilova, E.; Rutz, S.; Forster, C.; Weyand, M.; Formentini, I.; Kientsch-Engel, R.; Eckardt, K.-U.; Willam, C. Comparison of Plasma and Urine Biomarker Performance in Acute Kidney Injury. PLoS ONE 2015, 10, e0145042. [Google Scholar] [CrossRef]
- Stevens, L.A.; Schmid, C.H.; Greene, T.; Li, L.; Beck, G.J.; Joffe, M.M.; Froissart, M.; Kusek, J.W.; Zhang, Y.; Coresh, J.; et al. Factors other than glomerular filtration rate affect serum cystatin C levels. Kidney Int. 2009, 75, 652–660. [Google Scholar] [CrossRef] [PubMed]
- Jacobsson, B.; Lignelid, H.; Bergerheim, U. Transthyretin and cystatin C are catabolized in proximal tubular epithelial cells and the proteins are not useful as markers for renal cell carcinomas. Histopathology 1995, 26, 559–564. [Google Scholar] [CrossRef] [PubMed]
- Tenstad, O.; Roald, A.B.; Grubb, A.; Aukland, K. Renal handling of radiolabelled human cystatin C in the rat. Scand. J. Clin. Lab. Investig. 1996, 56, 409–414. [Google Scholar] [CrossRef] [PubMed]
- Barreto, E.F.; Rule, A.D.; Murad, M.H.; Kashani, K.B.; Lieske, J.C.; Erwin, P.J.; Steckelberg, J.M.; Gajic, O.; Reid, J.M.; Kane-Gill, S.L. Prediction of the Renal Elimination of Drugs With Cystatin C vs Creatinine: A Systematic Review. Mayo Clin. Proc. 2019, 94, 500–514. [Google Scholar] [CrossRef] [PubMed]
- Chung, J.-Y.; Jin, S.-J.; Yoon, J.-H.; Song, Y.-G. Serum Cystatin C Is a Major Predictor of Vancomycin Clearance in a Population Pharmacokinetic Analysis of Patients with Normal Serum Creatinine Concentrations. J. Korean Med. Sci. 2013, 28, 48–54. [Google Scholar] [CrossRef]
- Jing, L.; Liu, T.; Guo, Q.; Chen, M.; Lu, J.; Lv, C. Development and comparison of population pharmacokinetic models of vancomycin in neurosurgical patients based on two different renal function markers. J. Clin. Pharm. Ther. 2019, 45, 88–96. [Google Scholar] [CrossRef] [PubMed]
- Lu, J.-J.; Chen, M.; Lv, C.-L.; Zhang, R.; Lu, H.; Cheng, D.-H.; Tang, S.-Y.; Liu, T.-T. A Population Pharmacokinetics Model for Vancomycin Dosage Optimization Based on Serum Cystatin C. Eur. J. Drug Metab. Pharmacokinet. 2020, 45, 535–546. [Google Scholar] [CrossRef]
- Okamoto, G.; Sakamoto, T.; Kimura, M.; Ukishima, Y.; Sonoda, A.; Mori, N.; Kato, Y.; Maeda, T.; Kagawa, Y. Serum cystatin C as a better marker of vancomycin clearance than serum creatinine in elderly patients. Clin. Biochem. 2007, 40, 485–490. [Google Scholar] [CrossRef] [PubMed]
- Tanaka, A.; Suemaru, K.; Otsuka, T.; Ido, K.; Nishimiya, T.; Sakai, I.; Hasegawa, H.; Inoue, T.; Murase, M.; Yasukawa, M.; et al. Estimation of the Initial Dose Setting of Vancomycin Therapy With Use of Cystatin C as a New Marker of Renal Function. Ther. Drug Monit. 2007, 29, 261–264. [Google Scholar] [CrossRef] [PubMed]
- Yu, G.; Li, G.F. Is Cystatin C Good Enough as a Biomarker for Vancomycin Dosing: A Pharmacokinetic Perspective. Eur. J. Drug Metab. Pharm. 2020, 45, 151–156. [Google Scholar] [CrossRef]
- Zhang, R.; Chen, M.; Liu, T.-T.; Lu, J.-J.; Lv, C.-L. Comparison of the Predictive Performance Between Cystatin C and Serum Creatinine by Vancomycin via a Population Pharmacokinetic Models: A Prospective Study in a Chinese Population. Eur. J. Drug Metab. Pharmacokinet. 2019, 45, 135–149. [Google Scholar] [CrossRef]
- Teaford, H.R.; Stevens, R.W.; Rule, A.D.; Mara, K.C.; Kashani, K.B.; Lieske, J.C.; O’Horo, J.; Barreto, E.F. Prediction of Vancomycin Levels Using Cystatin C in Overweight and Obese Patients: A Retrospective Cohort Study of Hospitalized Patients. Antimicrob. Agents Chemother. 2020, 65, e01487-20. [Google Scholar] [CrossRef]
- Griffin, B.; Faubel, S.; Edelstein, C.L. Biomarkers of Drug-Induced Kidney Toxicity. Ther. Drug Monit. 2019, 41, 213–226. [Google Scholar] [CrossRef]
- Dieterle, F.; Sistare, F.D.; Goodsaid, F.; Papaluca, M.; Ozer, J.S.; Webb, C.P.; Baer, W.; Senagore, A.J.; Schipper, M.J.; Vonderscher, J.; et al. Renal biomarker qualification submission: A dialog between the FDA-EMEA and Predictive Safety Testing Consortium. Nat. Biotechnol. 2010, 28, 455–462. [Google Scholar] [CrossRef]
- Parikh, C.; Mishra, J.; Thiessen-Philbrook, H.; Dursun, B.; Ma, Q.; Kelly, C.; Dent, C.; Devarajan, P.; Edelstein, C. Urinary IL-18 is an early predictive biomarker of acute kidney injury after cardiac surgery. Kidney Int. 2006, 70, 199–203. [Google Scholar] [CrossRef] [PubMed]
- A Rodvold, K. 60 Plus Years Later and We Are Still Trying to Learn How to Dose Vancomycin. Clin. Infect. Dis. 2020, 70, 1546–1549. [Google Scholar] [CrossRef] [PubMed]
- Öktem, F.; Arslan, M.K.; Ozguner, F.; Candir, Ö.; Yilmaz, H.R.; Ciris, M.; Uz, E. In vivo evidences suggesting the role of oxidative stress in pathogenesis of vancomycin-induced nephrotoxicity: Protection by erdosteine. Toxicol. 2005, 215, 227–233. [Google Scholar] [CrossRef] [PubMed]
- Nishino, Y.; Takemura, S.; Minamiyama, Y.; Hirohashi, K.; Ogino, T.; Inoue, M.; Okada, S.; Kinoshita, H. Targeting superoxide dismutase to renal proximal tubule cells attenuates vancomycin-induced nephrotoxicity in rats. Free. Radic. Res. 2003, 37, 373–379. [Google Scholar] [CrossRef]
- Gao, J.; Wu, L.; Wang, S.; Chen, X. Role of Chemokine (C-X-C Motif) Ligand 10 (CXCL10) in Renal Diseases. Mediat. Inflamm. 2020, 2020, 6194864. [Google Scholar] [CrossRef] [PubMed]
- Kaleta, B. The role of osteopontin in kidney diseases. Inflamm. Res. 2018, 68, 93–102. [Google Scholar] [CrossRef] [PubMed]
- Abbasi, F.; Moosaie, F.; Khaloo, P.; Firouzabadi, F.D.; Abhari, S.M.F.; Atainia, B.; Ardeshir, M.; Nakhjavani, M.; Esteghamati, A. Neutrophil Gelatinase-Associated Lipocalin and Retinol-Binding Protein-4 as Biomarkers for Diabetic Kidney Disease. Kidney Blood Press. Res. 2020, 45, 222–232. [Google Scholar] [CrossRef]
- Kullar, R.; Davis, S.L.; Taylor, T.N.; Kaye, K.S.; Rybak, M.J. Effects of Targeting Higher Vancomycin Trough Levels on Clinical Outcomes and Costs in a Matched Patient Cohort. Pharmacother. J. Hum. Pharmacol. Drug Ther. 2012, 32, 195–201. [Google Scholar] [CrossRef]
- Jeffres, M.N.; Isakow, W.; Doherty, J.A.; Micek, S.T.; Kollef, M.H. A retrospective analysis of possible renal toxicity associated with vancomycin in patients with health care-associated methicillin-resistant Staphylococcus aureus pneumonia. Clin. Ther. 2007, 29, 1107–1115. [Google Scholar] [CrossRef]
- Baggs, J.; Fridkin, S.K.; Pollack, L.A.; Srinivasan, A.; Jernigan, J.A. Estimating National Trends in Inpatient Antibiotic Use Among US Hospitals From 2006 to 2012. JAMA Intern. Med. 2016, 176, 1639–1648. [Google Scholar] [CrossRef] [PubMed]
- Park, H.-D.; Seo, J.-Y.; Lee, S.-Y. The relationship between serum neutrophil gelatinase-associated lipocalin and renal function in patients with vancomycin treatment. Ann. Clin. Lab. Sci. 2012, 42, 7–13. [Google Scholar]
- Faria, J.; Ahmed, S.; Gerritsen, K.G.F.; Mihaila, S.M.; Masereeuw, R. Kidney-based in vitro models for drug-induced toxicity testing. Arch. Toxicol. 2019, 93, 3397–3418. [Google Scholar] [CrossRef]
- Madsen, J.; Nielsen, O.; Tornøe, I.; Thim, L.; Holmskov, U. Tissue Localization of Human Trefoil Factors 1, 2, and 3. J. Histochem. Cytochem. 2007, 55, 505–513. [Google Scholar] [CrossRef]
- Vestergaard, E.M.; Poulsen, S.S.; Grønbaek, H.; Larsen, R.; Nielsen, A.M.; Ejskjaer, K.; Clausen, J.T.; Thim, L.; Nexø, E. Development and evaluation of an ELISA for human trefoil factor 3. Clin. Chem. 2002, 48, 1689–1695. [Google Scholar] [CrossRef] [PubMed]
- Žurek, J.; Kyr, M.; Vavrina, M.; Fedora, M. Trefoil factor 3 as a marker of intestinal cell damage during sepsis. Open Med. 2015, 10, 261–266. [Google Scholar] [CrossRef] [PubMed]
- Chinery, R.; Poulsom, R.; Elia, G.; Hanby, A.M.; Wright, N.A. Expression and purification of a trefoil peptide motif in a beta-galactosidase fusion protein and its use to search for trefoil-binding sites. JBIC J. Biol. Inorg. Chem. 1993, 212, 557–563. [Google Scholar] [CrossRef] [PubMed]
- Tanaka, K.; Sugiyama, H.; Yamanari, T.; Mise, K.; Morinaga, H.; Kitagawa, M.; Onishi, A.; Ogawa-Akiyama, A.; Tanabe, K.; Eguchi, J.; et al. Renal expression of trefoil factor 3 mRNA in association with tubulointerstitial fibrosis in IgA nephropathy. Nephrology 2018, 23, 855–862. [Google Scholar] [CrossRef] [PubMed]
- Rinnert, M.; Hinz, M.; Buhtz, P.; Reiher, F.; Lessel, W.; Hoffmann, W. Synthesis and localization of trefoil factor family (TFF) peptides in the human urinary tract and TFF2 excretion into the urine. Cell Tissue Res. 2010, 339, 639–647. [Google Scholar] [CrossRef] [PubMed]
- Astor, B.C.; Köttgen, A.; Hwang, S.-J.; Bhavsar, N.; Fox, C.S.; Coresh, J. Trefoil Factor 3 Predicts Incident Chronic Kidney Disease: A Case-Control Study Nested within the Atherosclerosis Risk in Communities (ARIC) Study. Am. J. Nephrol. 2011, 34, 291–297. [Google Scholar] [CrossRef] [PubMed]
- Lebherz-Eichinger, D.; Tudor, B.; Ankersmit, H.J.; Reiter, T.; Haas, M.; Roth-Walter, F.; Krenn, C.G.; Roth, G.A. Trefoil Factor 1 Excretion Is Increased in Early Stages of Chronic Kidney Disease. PLoS ONE 2015, 10, e0138312. [Google Scholar] [CrossRef] [PubMed]
- Du, T.-Y.; Luo, H.-M.; Qin, H.-C.; Wang, F.; Wang, Q.; Xiang, Y.; Zhang, Y. Circulating Serum Trefoil Factor 3 (TFF3) Is Dramatically Increased in Chronic Kidney Disease. PLoS ONE 2013, 8, e80271. [Google Scholar] [CrossRef] [PubMed]
- Nadkarni, G.N.; Rao, V.; Ismail-Beigi, F.; Fonseca, V.A.; Shah, S.V.; Simonson, M.S.; Cantley, L.; Devarajan, P.; Parikh, C.; Coca, S.G. Association of Urinary Biomarkers of Inflammation, Injury, and Fibrosis with Renal Function Decline: The ACCORD Trial. Clin. J. Am. Soc. Nephrol. 2016, 11, 1343–1352. [Google Scholar] [CrossRef] [PubMed]
- George, B.; Wen, X.; Mercke, N.; Gomez, M.; O’Bryant, C.; Bowles, D.W.; Hu, Y.; Hogan, S.L.; Joy, M.S.; Aleksunes, L.M. Profiling of Kidney Injury Biomarkers in Patients Receiving Cisplatin: Time-dependent Changes in the Absence of Clinical Nephrotoxicity. Clin. Pharmacol. Ther. 2016, 101, 510–518. [Google Scholar] [CrossRef]
- Yu, Y.; Jin, H.; Holder, D.; Ozer, J.S.; Villarreal, S.; Shughrue, P.; Shi, S.; Figueroa, D.J.; Clouse, H.; Su, M.; et al. Urinary biomarkers trefoil factor 3 and albumin enable early detection of kidney tubular injury. Nat. Biotechnol. 2010, 28, 470–477. [Google Scholar] [CrossRef]
- Dharnidharka, V.R.; Kwon, C.; Stevens, G. Serum cystatin C is superior to serum creatinine as a marker of kidney function: A meta-analysis. Am. J. Kidney Dis. 2002, 40, 221–226. [Google Scholar] [CrossRef] [PubMed]
- Filler, G.; Bökenkamp, A.; Hofmann, W.; Le Bricon, T.; Martínez-Brú, C.; Grubb, A. Cystatin C as a marker of GFR—history, indications, and future research. Clin. Biochem. 2005, 38, 1–8. [Google Scholar] [CrossRef]
- Cabal-Hierro, L.; Lazo, P.S. Signal transduction by tumor necrosis factor receptors. Cell Signal 2012, 24, 1297–1305. [Google Scholar] [CrossRef]
- Al-Lamki, R.S.; Wang, J.; Vandenabeele, P.; Bradley, J.; Thiru, S.; Luo, D.; Min, W.; Pober, J.S. TNFR1- and TNFR2-mediated signaling pathways in human kidney are cell type-specific and differentially contribute to renal injury. FASEB J. 2005, 19, 1637–1645. [Google Scholar] [CrossRef] [PubMed]
- Murakoshi, M.; Gohda, T.; Suzuki, Y. Circulating Tumor Necrosis Factor Receptors: A Potential Biomarker for the Progression of Diabetic Kidney Disease. Int. J. Mol. Sci. 2020, 21, 1957. [Google Scholar] [CrossRef] [PubMed]
- Pavkov, M.E.; Nelson, R.G.; Knowler, W.C.; Cheng, Y.; Krolewski, A.S.; Niewczas, M.A. Elevation of circulating TNF receptors 1 and 2 increases the risk of end-stage renal disease in American Indians with type 2 diabetes. Kidney Int. 2015, 87, 812–819. [Google Scholar] [CrossRef] [PubMed]
- Valgimigli, M.; Ceconi, C.; Malagutti, P.; Merli, E.; Soukhomovskaia, O.; Francolini, G.; Giordano, C.; Adriana, O.; Giovanni, P.; Gianfranco, P.; et al. Tumor necrosis factor-alpha receptor 1 is a major predictor of mortality and new-onset heart failure in patients with acute myocardial infarction: The Cytokine-Activation and Long-Term Prognosis in Myocardial Infarction (C-ALPHA) study. Circulation 2005, 111, 863–870. [Google Scholar] [CrossRef] [PubMed]
- Icer, M.A.; Gezmen-Karadag, M. The multiple functions and mechanisms of osteopontin. Clin. Biochem. 2018, 59, 17–24. [Google Scholar] [CrossRef]
- Viloria, K.; Hill, N.J. Embracing the complexity of matricellular proteins: The functional and clinical significance of splice variation. Biomol. Concepts 2016, 7, 117–132. [Google Scholar] [CrossRef]
- Lee, H.-S.; Kim, S.-M.; Jang, J.-H.; Park, H.-D.; Lee, S.-Y. Serum 5-Hydroxyindoleacetic Acid and Ratio of 5-Hydroxyindoleacetic Acid to Serotonin as Metabolomics Indicators for Acute Oxidative Stress and Inflammation in Vancomycin-Associated Acute Kidney Injury. Antioxidants 2021, 10, 895. [Google Scholar] [CrossRef]
- Teo, B.W.; Zhang, L.; Guh, J.-Y.; Tang, S.C.W.; Jha, V.; Kang, D.-H.; Tanchanco, R.; Hooi, L.S.; Praditpornsilpa, K.; Kong, X.; et al. Glomerular Filtration Rates in Asians. Adv. Chronic Kidney Dis. 2018, 25, 41–48. [Google Scholar] [CrossRef] [PubMed]
- Hinkle, D.E.; Wiersma, W.; Jurs, S.G. Applied Statistics for the Behavioral Sciences, 5th ed.; Houghton Mifflin: Boston, MA, USA, 2003. [Google Scholar]
- David, W.; Hosmer, S.L. Applied Logistic Regression, 2nd ed.; John Wiley & Sons Inc.: New York, NY, USA, 2000. [Google Scholar]




| VIKI (n = 28) | Non-VIKI (n = 21) | HC (n = 23) | p Value | |
|---|---|---|---|---|
| Age, years | 64 (53–69) | 61 (56–67) | 61 (55–66) | 0.777 |
| Male, n (%) | 18 (64) | 12 (57) | 13 (57) | 0.819 |
| BMI 1, kg/m2 | 21.8 ± 3.2 | 23.0 ± 3.5 | 24.6 ± 2.7 | 0.011 |
| Overweight (BMI > 25 kg/m2), n (%) | 7 (25) | 6 (29) | 10 (43) | 0.390 |
| Serum Creatinine, mg/dL | 1.60 (1.30–2.09) | 0.62 (0.49–0.71) | 0.85 (0.77–0.96) | <0.001 |
| eGFR, mL/min/1.73 m2 | 42 (31–52) | 107 (88–121) | 85 (78–93) | <0.001 |
| CRP 2, mg/dL | 5.78 (2.25–10.08) | 6.31 (2.80–9.56) | 0.04 (0.03–0.09) | <0.001 |
| Vancomycin trough concentration 1, μg/mL | 27.3 ± 5.3 | 14.3 ± 2.8 | <0.001 | |
| Duration of vancomycin therapy, days | 6 (3–9) | 6 (4–11) | 0.570 | |
| Concomitant nephrotoxic agent use, n (%) | 17 (61) | 11 (52) | 0.560 | |
| Site of infection, n (%) | 0.419 | |||
| Respiratory | 9 (32%) | 7 (33%) | ||
| Blood stream | 8 (29%) | 2 (10%) | ||
| Central nervous system | 3 (11%) | 4 (19%) | ||
| Others | 8 (29%) | 8 (38%) |
| (A) | ||||||||
| VIKI (n = 20) | Control | VIKI vs. Control | VIKI vs. Non-VIKI vs. HC | Post Hoc Comparison | ||||
| Non-VIKI (n = 15) | HC (n = 20) | VIKI vs. HC | VIKI vs. Non-VIKI | Non-VIKI vs. HC | ||||
| IL-18 (pg/mL) | 849 (468–1352) | 455 (347–766) | 229 (190–303) | <0.001 | <0.001 | <0.001 | 0.021 | <0.001 |
| TNF-R1 (pg/mL) | 6797 (4085–11,770) | 3735 (2411–4920) | 1017 (918–1120) | <0.001 | <0.001 | <0.001 | 0.001 | <0.001 |
| CXCL10 (pg/mL) | 563.3 (189.0–1161.3) | 199.8 (139.6–305.7) | 77.9 (61.7–89.3) | <0.001 | <0.001 | <0.001 | 0.031 | <0.001 |
| Osteopontin (ng/mL) | 193.1 (103.2–334.0) | 73.8 (42.5–109.7) | 17.8 (16.1–28.1) | <0.001 | <0.001 | <0.001 | <0.001 | <0.001 |
| TFF3 (ng/mL) | 8.5 (4.8–14.9) | 2.9 (1.7–4.7) | 1.9 (1.6–2.2) | <0.001 | <0.001 | <0.001 | <0.001 | 0.023 |
| Clusterin (μg/mL) | 0.20 (0.15–0.24) | 0.19 (0.15–0.22) | 0.23 (0.20–0.24) | 0.489 | 0.073 | |||
| Cystatin C (mg/L) | 2.7 (2.2–3.2) | 1.2 (1.0–1.6) | 1.2 (1.1–1.3) | <0.001 | <0.001 | <0.001 | <0.001 | 0.994 |
| RBP4 (μg/mL) | 30.4 (23.4–41.4) | 19.5 (13.2–36.2) | 62.3 (51.5–82.7) | 0.057 | <0.001 | <0.001 | 0.089 | <0.001 |
| NGAL (ng/mL) | 130.4 (101.1–155.1) | 70.5 (49.0–116.8) | 55.4 (37.0–60.3) | <0.001 | <0.001 | <0.001 | 0.006 | 0.105 |
| (B) | ||||||||
| VIKI (n = 28) | Control | VIKI vs. Control | VIKI vs. Non-VIKI vs. HC | Post Hoc Comparison | ||||
| Non-VIKI (n = 21) | HC (n = 23) | VIKI vs. HC | VIKI vs. Non-VIKI | Non-VIKI vs. HC | ||||
| IL-18 (pg/mL) | 461 (363–798) | 266 (161–442) | 122 (95–164) | <0.001 | <0.001 | <0.001 | 0.017 | <0.001 |
| TNF-R1 (pg/mL) | 7915 (4655–12,871) | 2845 (1820–4444) | 1149 (975–1336) | <0.001 | <0.001 | <0.001 | 0.002 | 0.005 |
| CXCL10 (pg/mL) | 509.2 (184.2–748.8) | 221.2 (135.4–317.5) | 96.0 (66.4–125.4) | <0.001 | <0.001 | <0.001 | 0.034 | <0.001 |
| Osteopontin (ng/mL) | 9.5 (5.3–14.6) | 3.5 (2.3–7.2) | 1.0 (0.8–1.2) | <0.001 | <0.001 | <0.001 | <0.001 | <0.001 |
| TFF3 (ng/mL) | 27.5 (16.8–39.0) | 8.4 (6.07–12.4) | 6.5 (5.7–8.9) | <0.001 | <0.001 | <0.001 | <0.001 | 0.394 |
| Cystatin C (mg/L) | 2.3 (1.6–2.8) | 0.8 (0.7–1.0) | 0.7 (0.6–0.9) | <0.001 | <0.001 | <0.001 | <0.001 | 0.071 |
| NGAL (ng/mL) | 157.5 (97.3–362.1) | 96.9 (53.3–141.7) | 38.8 (28.1–48.9) | <0.001 | <0.001 | <0.001 | 0.011 | <0.001 |
| Independent Variables | Odds Ratio [95% Confidence Interval] | p Value |
|---|---|---|
| IL-18 | 1.001 (0.999–1.002) | 0.285 |
| TNF-R1 | 1.001 (1.000–1.001) | 0.002 |
| CXCL10 | 1.003 (1.000–1.006) | 0.024 |
| OPN | 1.000 (1.000–1.000) | 0.024 |
| TFF3 | 1.000 (1.000–1.001) | 0.002 |
| Cystatin C | 1.003 (1.001–1.005) | <0.001 |
| RBP4 | 1.000 (1.000–1.000) | 0.724 |
| NGAL | 1.007 (1.001–1.013) | 0.026 |
Publisher’s Note: MDPI stays neutral with regard to jurisdictional claims in published maps and institutional affiliations. |
© 2021 by the authors. Licensee MDPI, Basel, Switzerland. This article is an open access article distributed under the terms and conditions of the Creative Commons Attribution (CC BY) license (https://creativecommons.org/licenses/by/4.0/).
Share and Cite
Kim, S.-M.; Lee, H.-S.; Kim, M.-J.; Park, H.-D.; Lee, S.-Y. Diagnostic Value of Multiple Serum Biomarkers for Vancomycin-Induced Kidney Injury. J. Clin. Med. 2021, 10, 5005. https://doi.org/10.3390/jcm10215005
Kim S-M, Lee H-S, Kim M-J, Park H-D, Lee S-Y. Diagnostic Value of Multiple Serum Biomarkers for Vancomycin-Induced Kidney Injury. Journal of Clinical Medicine. 2021; 10(21):5005. https://doi.org/10.3390/jcm10215005
Chicago/Turabian StyleKim, Sang-Mi, Hyun-Seung Lee, Min-Ji Kim, Hyung-Doo Park, and Soo-Youn Lee. 2021. "Diagnostic Value of Multiple Serum Biomarkers for Vancomycin-Induced Kidney Injury" Journal of Clinical Medicine 10, no. 21: 5005. https://doi.org/10.3390/jcm10215005
APA StyleKim, S.-M., Lee, H.-S., Kim, M.-J., Park, H.-D., & Lee, S.-Y. (2021). Diagnostic Value of Multiple Serum Biomarkers for Vancomycin-Induced Kidney Injury. Journal of Clinical Medicine, 10(21), 5005. https://doi.org/10.3390/jcm10215005

