The Effect of Recombinant Human TSH on Sclerostin and Other Selected Bone Markers in Patients after Total Thyroidectomy for Differentiated Thyroid Cancer
Abstract
1. Introduction
2. Materials and Methods
Statistical Analysis
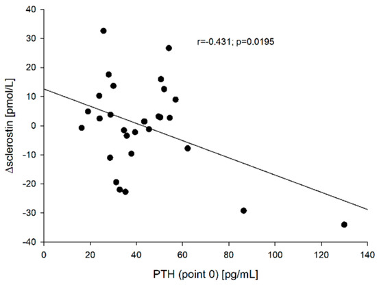
3. Results
4. Discussion
4.1. Effect of rhTSH on Sclerostin and Bone Turnover Markers
4.2. Relationships between PTH and TSH and Sclerostin
- PTH is one of the most important regulators of calcium-phosphate homeostasis, and considering bone as an effector of its action, it also has a huge impact on bone turnover. The increase in PTH can result from many factors, but the most important are vitamin D deficiency, renal failure, and age. Unfortunately, we did not find a correlation between PTH and 25(OH)D in our research (we assume that a relatively small number of respondents is important here), but the lack of a relationship does not mean that PTH does not reflect the adequacy of 25(OH)D concentration in individual subjects. We believe that the adequate level of vitamin D in the body is not only confirmed by the level of 25(OH)D [27], but also by other parameters of calcium and phosphate metabolism, including PTH. Nevertheless, the mean concentration of 25(OH)D observed in our cohort corresponds to a moderate vitamin D deficiency and may increase the baseline PTH concentration and, consequently, modulate the effect of rhTSH on bone.
- Healthy parathyroid glands that secrete PTH in response to fluctuating ionized calcium levels are the most important regulators of calcium-phosphate homeostasis. Therefore, their efficiency is a guarantee of maintaining a constant, correct calcium concentration. Unfortunately, surgical treatment of the thyroid gland, especially radical ones (e.g., total thyroidectomy for DTC), is a common cause of hypoparathyroidism, so in such patients, administration of rhTSH may cause hypocalcemia. It is to be recalled that in our study the inclusion criterion was normal parathyroid function. However, if hypocalcemia happens at all, it is usually asymptomatic. It results from our own observations with the administration of rhTSH in the follow-up of DTC patients, as well as from the lack of such descriptions in the literature. Nevertheless, the potential pathomechanism of such hypocalcemia should remain in the minds of doctors dealing with such treatment.
5. Conclusions
- rhTSH inhibits bone turnover, therefore TSH—in a manner independent of thyroid hormones—has a qualitative protective effect on bone metabolism.
- Baseline PTH affects the magnitude of the increase in TSH and the degree of decrease in sclerostin and β-CrossLaps, therefore factors that affect the baseline PTH (e.g., age, vitamin D deficiency, renal failure) may play a role in the effect of TSH on bone but may also regulate changes in the concentration of sclerostin and other bone markers and through such a mechanism it can regulate processes of bone formation and resorption.
- By the inhibition of bone metabolism, TSH can reduce calcium levels, which may be important when administering rhTSH to patients with postoperative hypoparathyroidism.
Author Contributions
Funding
Institutional Review Board Statement
Informed Consent Statement
Data Availability Statement
Acknowledgments
Conflicts of Interest
Abbreviations
| 131I | radioiodine; |
| 25(OH)D | 25-hydroxyvitamin D; |
| ATA | American Thyroid Association; |
| BALP | bone alkaline phosphatase; |
| BMD | bone mineral density; |
| BMI | body mass index; |
| Ca | calcium; |
| CrossLaps | C-telopeptides of type-1 collagen; |
| DTC | differentiated thyroid cancer; |
| GFR | glomerular filtration rate; |
| i.m. | intramuscular; |
| L-T4 | L-thyroxine; |
| OPG | osteoprotegerin; |
| P | phosphate; |
| PINP | N-terminal propeptide of type-1 procollagen; |
| PTH | parathormon; |
| RANK | receptor of nuclear factor-κB; |
| RANKL | receptor of nuclear factor-κB ligand; |
| rhTSH | recombinant human thyrotropin; |
| β-CrossLaps | crosslinked isomerized type I collagen fragments; |
| Tg | thyroglobulin; |
| TSH | thyrotropin; |
| TSH-Rs | TSH receptors; |
| U.CTx | C-terminal telopeptide of type I collagen in urine; |
| U.NTx | N-terminal telopeptide of type I collagen in urine |
References
- Abe, E.; Marians, R.C.; Yu, W.; Yu, W.; Wu, X.B.; Ando, T.; Li, Y.; Iqbal, J.; Eldeiry, L.; Rajendren, G.; et al. TSH is a negative regulator of skeletal remodeling. Cell 2003, 115, 151–162. [Google Scholar] [CrossRef]
- Inoue, M.; Tawata, M.; Yokomori, N.; Endo, T.; Onaya, T. Expression of thyrotropin receptor on clonal osteoblast-like rat osteosarcoma cells. Thyroid 1998, 8, 1059–1064. [Google Scholar] [CrossRef]
- Endo, T.; Kobayashi, T. Excess TSH causes abnormal skeletal development in young mice with hypothyroidism via suppressive effects on the growth plate. Am. J. Physiol. Endocrinol. Metab. 2013, 305, E660–E666. [Google Scholar] [CrossRef] [PubMed]
- Bassett, J.H.; Williams, G.R. Role of thyroid hormones in skeletal development and bone maintenance. Endocr. Rev. 2016, 37, 135–187. [Google Scholar] [CrossRef] [PubMed]
- Kim, S.-M.; Ryu, V.; Miyashita, S.; Korkmaz, F.; Lizneva, D.; Gera, S.; Latif, R.; Davies, T.F.; Iqbal, J.; Yuen, T.; et al. Thyrotropin, hyperthyroidism, and bone mass. J. Clin. Endocrinol. Metab. 2021. [Google Scholar] [CrossRef] [PubMed]
- Moester, M.J.; Papapoulos, S.E.; Löwik, C.W.; van Bezooijen, R.L. Sclerostin: Current knowledge and future perspectives. Calcif. Tissue Int. 2010, 87, 99–107. [Google Scholar] [CrossRef]
- Delgado-Cale, J.; Sato, A.Y.; Bellido, T. Role of mechanism of action of sclerostin in bone. Bone 2017, 96, 29–37. [Google Scholar] [CrossRef]
- Tanaka, S.; Matsumoto, T. Sclerostin: From bench to bedside. J. Bone Miner. Metab. 2021, 39, 332–340. [Google Scholar] [CrossRef]
- De Maré, A.; Maudsley, S.; Azmi, A.; Hendrickx, J.O.; Opdebeeck, B.; Neven, E.; D’Haese, P.C.; Verhulst, A. Sclerostin as regulatory molecule in vascular media calcification and the bone-vascular axis. Toxins 2019, 11, 428. [Google Scholar] [CrossRef]
- Roforth, M.M.; Fujita, K.; McGregor, U.I.; Kirmani, S.; McCready, L.K.; Peterson, J.M.; Drake, M.T.; Monroe, D.G.; Khosla, S. Effects of age on bone mRNA levels of sclerostin and other genes relevant to bone metabolism in humans. Bone 2014, 59, 1–6. [Google Scholar] [CrossRef]
- Robling, A.G.; Niziolek, P.J.; Baldridge, L.A.; Condon, K.W.; Allen, M.R.; Alam, I.; Mantila, S.M.; Gluhak-Heinrich, J.; Bellido, T.M.; Harris, S.E.; et al. Mechanical stimulation of bone in vivo reduces osteocyte expression of Sost/sclerostin. J. Biol. Chem. 2008, 283, 5866–5875. [Google Scholar] [CrossRef] [PubMed]
- Skowrońska-Jóźwiak, E.; Krawczyk-Rusiecka, K.; Lewandowski, K.C.; Adamczewski, Z.; Lewiński, A. Successful treatment of thyrotoxicosis is accompanied by a decrease in serum sclerostin levels. Thyroid Res. 2012, 5, 14. [Google Scholar] [CrossRef][Green Version]
- Bellido, T.; Ali, A.A.; Gubrij, I.; Plotkin, L.I.; Fu, Q.; O’Brien, C.A.; Manolagas, S.C.; Jilka, R.L. Chronic elevation of parathyroid hormone in mice reduces expression of sclerostin by osteocytes: A novel mechanism for hormonal control of osteoblastogenesis. Endocrinology 2005, 146, 4577–4583. [Google Scholar] [CrossRef] [PubMed]
- Becker, C.B. Sclerostin inhibition for osteoporosis—A new approach. N. Engl. J. Med. 2014, 370, 476–477. [Google Scholar] [CrossRef]
- Cosman, F.; Crittenden, D.B.; Adachi, J.D.; Binkley, N.; Czerwinski, E.; Ferrari, S.; Hofbauer, L.C.; Lau, E.; Lewiecki, E.M.; Miyauchi, A.; et al. Romosozumab treatment in post- menopausal women with osteoporosis. N. Engl. J. Med. 2016, 375, 1532–1543. [Google Scholar] [CrossRef]
- Williams, G.R.; Bassett, J.H.D. Thyroid diseases and bone health. J. Endocrinol. Invest. 2018, 41, 99–109. [Google Scholar] [CrossRef]
- Haugen, B.R.; Alexander, E.K.; Bible, K.C.; Doherty, G.M.; Mandel, S.J.; Nikiforov, Y.E.; Pacini, F.; Randolph, G.W.; Sawka, A.M.; Schlumberger, M.; et al. 2015 American Thyroid Association management guidelines for adult patients with thyroid nodules and differentiated thyroid cancer: The American Thyroid Association guidelines task force on thyroid nodules and differentiated thyroid cancer. Thyroid 2016, 26, 1–133. [Google Scholar] [CrossRef]
- Levey, A.S.; Coresh, J.; Greene, T.; Marsh, J.; Stevens, L.A.; Kusek, J.W.; Van Lente, F.; Chronic Kidney Disease Epidemiology Collaboration. Using standardized serum creatinine values in the modification of diet in renal disease study equation for estimating glomerular filtration rate. Ann. Intern. Med. 2006, 145, 247–254. [Google Scholar] [CrossRef] [PubMed]
- Martini, G.; Gennari, L.; De Paola, V.; Pilli, T.; Salvadori, S.; Merlotti, D.; Valleggi, F.; Campagna, S.; Franci, B.; Avanzati, A.; et al. The effects of recombinant TSH on bone turnover markers and serum osteoprotegerin and RANKL levels. Thyroid 2008, 18, 455–460. [Google Scholar] [CrossRef] [PubMed]
- Karga, H.; Papaioannou, G.; Polymeris, A.; Papamichael, K.; Karpouza, A.; Samouilidou, E.; Papaioannou, P. The effects of recombinant human TSH on bone turnover in patients after thyroidectomy. J. Bone Miner. Metab. 2010, 28, 35–41. [Google Scholar] [CrossRef]
- Iakovou, I.; Chrisoulidou, A.; Balaris, V.; Balaris, C.; Doumas, A.; Karatzas, N. Acute effects of recombinant human TSH on bone markers in differentiated thyroid cancer. Hell. J. Nucl. Med. 2010, 13, 208–212. [Google Scholar] [PubMed]
- Mazziotti, G.; Sorvillo, F.; Piscopom, M.; Cioffi, M.; Pilla, P.; Biondi, B.; Iorio, S.; Giustina, A.; Amato, G.; Carella, C. Recombinant human TSH modulates in vivo C-telopeptides of type-1 collagen and bone alkaline phosphatase, but not osteoprotegerin production in postmenopausal women monitored for differentiated thyroid carcinoma. J. Bone Miner. Res. 2005, 20, 480–486. [Google Scholar] [CrossRef] [PubMed]
- Eastell, R.; Szulc, P. Use of bone turnover markers in postmenopausal osteoporosis. Lancet Diabet. Endocrinol. 2017, 5, 908–923. [Google Scholar] [CrossRef]
- Lorentzon, M.; Branco, J.; Brandi, M.L.; Bruyère, O.; Chapurlat, R.; Cooper, C.; Cortet, B.; Diez-Perez, A.; Ferrari, S.; Gasparik, A.; et al. Algorithm for the use of biochemical markers of bone turnover in the diagnosis, assessment and follow-up of treatment for osteoporosis. Adv. Ther. 2019, 36, 2811–2824. [Google Scholar] [CrossRef]
- Eastell, R.; Rosen, C.J.; Black, D.M.; Cheung, A.M.; Murad, M.H.; Shoback, D. Pharmacological management of osteoporosis in postmenopausal women: An endocrine society clinical practice guideline. J. Clin. Endocrinol. Metab. 2019, 104, 1595–1622. [Google Scholar] [CrossRef] [PubMed]
- Ma, R.; Morshed, S.; Latif, R.; Zaidi, M.; Davies, T.F. The influence of thyroid-stimulating hormone and thyroid-stimulating hormone receptor antibodies on osteoclastogenesis. Thyroid 2011, 21, 897–906. [Google Scholar] [CrossRef]
- Pludowski, P.; Holick, M.F.; Grant, W.B.; Konstantynowicz, J.; Mascarenhas, M.R.; Haq, A.; Povoroznyuk, V.; Balatska, N.; Barbosa, A.P.; Karonova, T.; et al. Vitamin D supplementation guidelines. J. Steroid Biochem. Mol. Biol. 2018, 175, 125–135. [Google Scholar] [CrossRef]
- Keller, H.; Kneissel, M. SOST is a target gene for PTH in bone. Bone 2005, 37, 148–158. [Google Scholar] [CrossRef]
- Saracyn, M.; Lubas, A.; Bober, B.; Kowalski, Ł.; Kapusta, W.; Niemczyk, S.; Wartofsky, L.; Kamiński, G. Recombinant human thyrotropin worsens renal cortical perfusion and renal function in patients after total thyroidectomy due to differentiated thyroid cancer. Thyroid 2020, 30, 653–660. [Google Scholar] [CrossRef]








| n | Mean ± SD (Min–Max) | ||
|---|---|---|---|
| Group | 29 | ||
| Female/Male | 26/3 | ||
| Age [years] | 52.4 ± 13.9 (30–86) | ||
| BMI [kg/m2] | 28.0 ± 6.8 (19.3–52.2) | ||
| TNM staging system | |||
| T | pT1 (pT1a/pT1b/pT1m) | 23 (17/2/4) | |
| pT2 | 4 | ||
| pT3 | 1 | ||
| pT4 | 1 | ||
| N | N0/N1 | 27/2 | |
| M | M0 | 29 | |
| L-T4 treatment | |||
| Substitutive | 18 | ||
| Incomplete TSH suppression (TSH: 0.1–0.4 mIU/L) | 11 | ||
| Tg [ng/mL] | |||
| <0.1 (below detection limit) Detectable | 17 | ||
| 12 | 0.68 ± 0.62 (0.13–2.0) | ||
| Reference Range * | Mean ± SD | ||
|---|---|---|---|
| before (0) | after rhTSH (5 Days) | ||
| TSH [mIU/L] | 0.4–4.2 | 0.52 ± 1.31 | 28.62 ± 16.41 |
| FT4 [ng/mL] | 0.83–1.7 | 1.99 ± 0.95 | 2.08 ± 0.86 |
| FT3 [pg/mL] | 2.6–4.4 | 3.14 ± 0.63 | 3.14 ± 0.72 |
| Ca [mmol/L] | 2.1–2.55 | 2.28 ± 0.18 | 2.24 ± 0.12 |
| P [mmol/L] | 0.81–1.45 | 1.33 ± 0.4 | 1.37 ± 0.49 |
| Creatinine [mg/dL] | 0.52–1.04 | 0.75 ± 0.18 | N/D |
| GFR [mL/min/1.73 m2] | 88.65 ± 18.29 | N/D | |
| PTH [pg/mL] | 15–65 | 43.12 ± 22.42 | 41.83 ± 28.02 |
| 25(OH)D [ng/mL] | <20—deficiency 20–29 suboptimal 30–50 optimal 50–100 more than optimal >100—toxic | 17.83 ± 7.77 | N/D |
| Osteocalcin [ng/mL] | Women before menopause: 11–43 Women after menopause: 15–46 Men (18–30 y): 24–70 (30–50 y): 14–42 (>50 y): 14–46 | 24.88 ± 10.84 | 26.32 ± 11.68 |
| β-CrossLaps [ng/mL] | Women before menopause: <573 Women after menopause <1008 Men (30–50 y): <584 (50–70 y) <704 (>70 y) <854 | 0.45 ± 0.28 | 0.48 ± 0.29 |
| Sclerostin [pmol/L] | N/D | 32.83 ± 20.12 | 32.72 ± 16.12 |
| 24-h urinary Ca [mmol] | 2.5–7.5 | 3.49 ± 2.45 | 3.58 ± 2.35 |
| 24-h urinary P [mmol] | 12.9–42 | 22.84 ± 9.87 | 21.99 ± 6.30 |
Publisher’s Note: MDPI stays neutral with regard to jurisdictional claims in published maps and institutional affiliations. |
© 2021 by the authors. Licensee MDPI, Basel, Switzerland. This article is an open access article distributed under the terms and conditions of the Creative Commons Attribution (CC BY) license (https://creativecommons.org/licenses/by/4.0/).
Share and Cite
Zygmunt, A.; Krawczyk-Rusiecka, K.; Skowrońska-Jóźwiak, E.; Wojciechowska-Durczyńska, K.; Głowacka, E.; Adamczewski, Z.; Lewiński, A. The Effect of Recombinant Human TSH on Sclerostin and Other Selected Bone Markers in Patients after Total Thyroidectomy for Differentiated Thyroid Cancer. J. Clin. Med. 2021, 10, 4905. https://doi.org/10.3390/jcm10214905
Zygmunt A, Krawczyk-Rusiecka K, Skowrońska-Jóźwiak E, Wojciechowska-Durczyńska K, Głowacka E, Adamczewski Z, Lewiński A. The Effect of Recombinant Human TSH on Sclerostin and Other Selected Bone Markers in Patients after Total Thyroidectomy for Differentiated Thyroid Cancer. Journal of Clinical Medicine. 2021; 10(21):4905. https://doi.org/10.3390/jcm10214905
Chicago/Turabian StyleZygmunt, Arkadiusz, Kinga Krawczyk-Rusiecka, Elżbieta Skowrońska-Jóźwiak, Katarzyna Wojciechowska-Durczyńska, Ewa Głowacka, Zbigniew Adamczewski, and Andrzej Lewiński. 2021. "The Effect of Recombinant Human TSH on Sclerostin and Other Selected Bone Markers in Patients after Total Thyroidectomy for Differentiated Thyroid Cancer" Journal of Clinical Medicine 10, no. 21: 4905. https://doi.org/10.3390/jcm10214905
APA StyleZygmunt, A., Krawczyk-Rusiecka, K., Skowrońska-Jóźwiak, E., Wojciechowska-Durczyńska, K., Głowacka, E., Adamczewski, Z., & Lewiński, A. (2021). The Effect of Recombinant Human TSH on Sclerostin and Other Selected Bone Markers in Patients after Total Thyroidectomy for Differentiated Thyroid Cancer. Journal of Clinical Medicine, 10(21), 4905. https://doi.org/10.3390/jcm10214905

