Surgical Approaches and Oncological Outcomes in the Management of Duodenal Gastrointestinal Stromal Tumors (GIST)
Abstract
1. Introduction
2. Materials and Methods
2.1. Patient Selection and Data
2.2. Tumor Characteristics
2.3. Operative and Therapeutic Characteristics
2.4. Follow Up
2.5. Statistical Analysis
3. Results
3.1. Clinicopathological Data
3.2. Surgical Details and Postoperative Course
3.3. Comparison between Patients Treated by LR and PD
3.4. Imatinib Mesylate
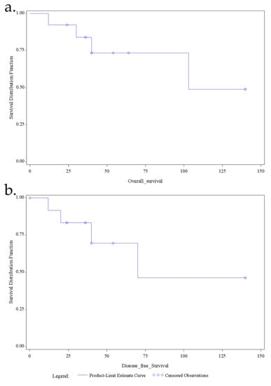
3.5. Follow-Up and Prognostic Analysis
4. Discussion
5. Conclusions
Author Contributions
Funding
Institutional Review Board Statement
Informed Consent Statement
Conflicts of Interest
References
- DeMatteo, R.P.; Lewis, J.J.; Leung, D.; Mudan, S.S.; Woodruff, J.M.; Brenna, M.F. Two hundred gastointestinal stromal tumors: Recurrence patterns and prognostic factors for survival. Ann. Surg. 2000, 231, 51–58. [Google Scholar] [CrossRef]
- Joensuu, H.; DeMatteo, R.P. The management of gastrointestinal stromal tumors: A model for targeted and multidisciplinary therapy of malignancy. Annu. Rev. Med. 2012, 63, 247–258. [Google Scholar] [CrossRef]
- Joensuu, H. Gastrointestinal stromal tumor (GIST). Ann. Oncol. 2006, 17, 280–286. [Google Scholar] [CrossRef]
- Miettinen, M.; Kopczynski, J.; Makhlouf, H.R.; Sarlomo-Rikala, M.; Gyorffy, H.; Burke, A.; Sobin, L.H.; Lasota, J. Gastrointestinal stromal tumors, intramural leiomyomas, and leiomyosarcomas in the duodenum: A clinicopathologic, immunohistochemical, and molecular genetic study of 167 cases. Am. J. Surg. Pathol. 2003, 27, 625–641. [Google Scholar] [CrossRef]
- Miettinen, M.; Lasota, J. Gastrointestinal stromal tumors: Review on morphology, molecular pathology, prognosis, and differential diagnosis. Arch. Pathol. Lab. Med. 2006, 130, 1466–1478. [Google Scholar] [CrossRef]
- Corless, C.L.; Fletcher, J.A.; Heinrich, M.C. Biology of gastrointestinal stromal tumors. J. Clin. Oncol. 2004, 22, 3813–3825. [Google Scholar] [CrossRef]
- Winfield, R.D.; Hochwald, S.N.; Vogel, S.B.; Hemming, A.W.; Liu, C.; Cance, W.G.; Grobmyer, S.R. Presentation and management of gastrointestinal stromal tumors of the duodenum. Am. Surg. 2006, 72, 719–723. [Google Scholar] [CrossRef]
- Fletcher, C.D.; Berman, J.J.; Corless, C.; Gorstein, F.; Lasota, J.; Longley, B.J.; Miettinen, M.; O’Leary, T.J.; Remotti, H.; Rubin, B.P.; et al. Diagnosis of gastrointestinal stromal tumors: A consensus approach. Hum. Pathol. 2002, 33, 459–465. [Google Scholar] [CrossRef]
- Miettinen, M.; Lasota, J. Gastrointestinal stromal tumors: Pathology and prognosis at different sites. Semin. Diagn. Pathol. 2006, 23, 70–83. [Google Scholar] [CrossRef]
- Liyanage, C.A.; Abeygunawardhana, S.; Kumarage, S.; Deen, K.I. Duodenum-preserving local excision of a gastrointestinal stromal tumor. Hepatobiliary Pancreat Dis. Int. 2008, 7, 214–216. [Google Scholar]
- Lanuke, K.; Bathe, O.F.; Mack, L.A. Local excision of duodenal gastrointestinal stromal tumor. J. Surg. Oncol. 2007, 95, 267–269. [Google Scholar] [CrossRef]
- Mennigen, R.; Wolters, H.H.; Schulte, B.; Pelster, F.W. Segmental resection of the duodenum for gastrointestinal stromal tumor (GIST). World J. Surg. Oncol. 2008, 6, 105. [Google Scholar] [CrossRef]
- Takeda, A.; Watanabe, Y.; Uehara, T.; Maruyama, T.; Tanaka, H.; Matsuzaki, H.; Arima, H.; Natsune, T.; Kudo, H.; Sakama, A.; et al. Successful surgical resection of a huge gastrointestinal stromal tumor of the third portion of the duodenum. J. Gastroenterol. Hepatol. 2007, 22, 283–284. [Google Scholar] [CrossRef]
- Goh, B.K.; Chow, P.K.; Ong, H.S.; Wong, W.K. Gastrointestinal stromal tumor involving the second and third portion of the duodenum: Treatment by partial duodenectomy and Roux-en-Y duodenojejunostomy. J. Surg. Oncol. 2005, 91, 273–275. [Google Scholar] [CrossRef]
- Stratopoulos, C.; Soonawalla, Z.; Piris, J.; Friend, P.J. Hepatopancreatoduodenectomy for metastatic duodenal gastrointestinal stromal tumor. Hepatobiliary Pancreat. Dis. Int. 2006, 5, 147–150. [Google Scholar]
- Tien, Y.W.; Lee, C.Y.; Huang, C.C.; Hu, R.H.; Lee, P.H. Surgery for gastrointestinal stromal tumors of the duodenum. Ann. Surg. Oncol. 2010, 17, 109–114. [Google Scholar] [CrossRef]
- Chung, J.C.; Chu, C.W.; Cho, G.S.; Shin, E.J.; Lim, C.W.; Kim, H.C.; Song, O.P. Management and outcome of gastrointestinal stromal tumors of the duodenum. J. Gastrointest. Surg. 2010, 14, 880–883. [Google Scholar] [CrossRef]
- El-Gendi, A.; El-Gendi, S.; El-Gendi, M. Feasibility and oncological outcomes of limited duodenal resection in patients with primary nonmetastastic duodenal GIST. J. Gastrointest. Surg. 2012, 16, 2197–2202. [Google Scholar] [CrossRef]
- Kamath, A.S.; Garr, M.G.; Nagorney, D.M.; Que, F.G.; Farnelli, M.B.; Kendrick, M.L.; Lombardo, K.M.R.; Donohe, J.H. Gastrointestinal stromal tumor of the duodenum: Single institution experience. HPB 2012, 14, 772–776. [Google Scholar] [CrossRef][Green Version]
- Beham, A.; Schaefer, I.M.; Cameron, S.; von Hammerstein, K.; Füzesi, L.; Ramadori, G.; Ghadimi, M.B. Duodenal GIST: A single center experience. Int. J. Colorectal. Dis. 2013, 28, 581–590. [Google Scholar] [CrossRef]
- Bourgouin, S.; Hornez, E.; Guiramand, J.; Barbier, J.; Delpero, J.R.; Le Treut, Y.P.; Moutardier, V. Duodenal gastrointestinal stromal tumors (GISTs): Arguments for conservative surgery. J. Gastrointest. Surg. 2013, 17, 482–487. [Google Scholar] [CrossRef]
- Zhou, B.; Zhang, M.; Wu, J.; Yan, S.; Zhou, J.; Zheng, S. Pancreaticoduodenectomy versus local resection in the treatment of gastrointestinal stromal tumors of the duodenum. World J. Surg. Oncol. 2013, 11, 196. [Google Scholar] [CrossRef]
- Hoeppner, J.; Kulemann, B.; Marjanovic, G.; Bronsert, P.; Hopt, U.T. Limited resection for duodenal gastrointestinal stromal tumors: Surgical management and clinical outcome. World J. Gastrointest. Surg. 2013, 5, 16–21. [Google Scholar] [CrossRef]
- Crown, A.; Biehl, T.R.; Rocha, F.G. Local resection for duodenal gastrointestinal stromal tumors. Am. J. Surg. 2016, 211, 867–870. [Google Scholar] [CrossRef] [PubMed]
- Sugase, T.; Takahansi, T.; Nakajima, K.; Hirota, S.; Masuzawa, T.; Nishida, T.; Kimura, Y.; Miyazaki, Y.; Makino, T.; Kurokawa, Y.; et al. Clinicopathological characteristics, surgery and survival outcomes of patients with duodenal gastrointestinal stromal tumors. Digestion 2016, 94, 30–36. [Google Scholar] [CrossRef]
- Huang, Y.; Chen, G.; Lin, L.; Jin, X.; Kang, M.; Zhang, Y.; Shi, D.; Chen, K.; Guo, Q.; Chen, L.; et al. Resection of GIST in the duodenum and proximal jejunum: A retrospective analysis of outcomes. Eur. J. Surg. Oncol. 2019, 45, 1950–1956. [Google Scholar] [CrossRef]
- Colombo, C.; Ronellenfitsch, U.; Yuxin, Z.; Rutkowski, P.; Miceli, R.; Bylina, E.; Hohenberger, P.; Raut, C.P.; Gronchi, A. Clinical, pathological and surgical characteristics of duodenal gastrointestinal stromal tumor and their influence on survival: A multi-center study. Ann. Surg. Oncol. 2012, 19, 3361–3367. [Google Scholar] [CrossRef]
- Johnston, F.M.; Kneuertz, P.J.; Cameron, J.L.; Sanford, D.; Fisher, S.; Turley, R.; Groeschl, R.; Hyder, O.; Kooby, D.A.; Blazer, D.; et al. Presentation and management of gastrointestinal stromal tumors of the duodenum: A multi-institutional analysis. Ann. Surg. Oncol. 2012, 19, 3351–3360. [Google Scholar] [CrossRef]
- Duffaud, F.; Meeus, P.; Bachet, J.B.; Cassier, P.; Huynh, T.K.; Boucher, E.; Bouche, O.; Moutardier, V.; le Cense, A.; Landi, B.; et al. Conservative surgery vs. duodeneopancreatectomy in primary duodenal gastrointestinal stromal tumors (GIST): A retrospective review of 114 patients from the French sarcoma group (FSG). Eur. J. Surg. Oncol. 2014, 40, 1369–1375. [Google Scholar] [CrossRef]
- Shen, C.; Chen, H.; Yin, Y.; Chen, J.; Han, L.; Zhang, B.; Chen, Z.; Chen, J. Duodenal gastrointestinal stromal tumors: Clinicopathological characteristics, surgery, and long-term outcome. Surgery 2015, 15, 98. [Google Scholar] [CrossRef][Green Version]
- Lee, S.Y.; Goh, B.K.; Sadot, E.; Rajeev, R.; Balachandran, V.P.; Gönen, M.; Kingham, T.P.; Allen, P.J.; D’Angelica, M.I.; Jarnagin, W.R.; et al. Surgical strategy and outcomes in duodenal gastrointestinal stromal tumor. Ann. Surg. Oncol. 2017, 24, 202–210. [Google Scholar] [CrossRef]
- Lee, S.J.; Song, K.B.; Lee, Y.J.; Kim, S.C.; Hwang, D.W.; Lee, J.H.; Shin, S.H.; Kwon, J.W.; Hwang, S.H.; Ma, C.H.; et al. Clinicopathologic characteristics and optimal surgical treatment of duodenal gastrointestinal stromal tumor. J. Gastrointest. Surg. 2019, 23, 270–279. [Google Scholar] [CrossRef]
- Gu, L.; Khadaroo, P.A.; Chen, M.; Qian, H.; Zhu, H.; Li, X.; Pan, J.; Zhong, X.; Wang, X. Surgical management and outcomes of duodenal gastrointestinal stromal tumors. Acta Gastroenterol. Belg. 2019, 82, 11–18. [Google Scholar]
- Wei, Y.Z.; Cai, Z.B.; Zhu, C.L.; Zhou, Y.M.; Zhang, X.F. Impact of Surgical Modalities on Long-term Survival Outcomes of Patients with Duodenal Gastrointestinal Stromal Tumor. Ann. Surg. Oncol. 2021, 28, 4668–4674. [Google Scholar] [CrossRef]
- El-Haddad, H.M.; Kassem, M.I.; Shehata, G.A.; El-Sayes, I.A. Outcome after Surgical Treatment of Gastrointestinal Stromal Tumors in the Second Part of Duodenum: Is Localized Resection Appropriate? J. Investig. Surg. 2021, 2021, 1–7. [Google Scholar] [CrossRef]
- Bucher, P.; Egger, J.F.; Gervaz, P.; Ris, F.; Weintraub, D.; Villiger, P.; Buhler, L.H.; Morel, P. An audit of surgical management of gastrointestinal stromal tumours (GIST). Eur. J. Surg. Oncol. 2006, 32, 310–314. [Google Scholar] [CrossRef]
- Gervaz, P.; Huber, O.; Morel, P. Surgical management of gastrointestinal stromal tumours. Br. J. Surg. 2009, 96, 567–578. [Google Scholar] [CrossRef]
- Heinrich, M.C.; Rubin, B.P.; Longley, B.J.; Fletcher, J.A. Biology and genetic aspects of gastrointestinal stromal tumors: KIT activation and cytogenetic alterations. Hum. Pathol. 2002, 33, 484–495. [Google Scholar] [CrossRef]
- Fiore, M.; Palassini, E.; Fumagalli, E.; Pilotti, S.; Tamborini, E.; Stacchiotti, S.; Pennacchioli, E.; Casali, P.G.; Gronchi, A. Preoperative imatinib mesylate for unresectable or locally advanced primary gastrointestinal stromal tumors (GIST). Eur. J. Surg. Oncol. 2009, 35, 739–745. [Google Scholar] [CrossRef]
- Dematteo, R.P.; Ballman, K.V.; Antonescu, C.R.; Maki, R.G.; Pisters, P.W.; Demetri, G.D.; Blackstein, M.E.; Blanke, C.D.; von Mehren, M.; Brennan, M.F.; et al. American College of Surgeons Oncology Group (ACOSOG) Intergroup Adjuvant GIST Study Team. Adjuvant imatinib mesylate after resection of localised, primary gastrointestinal stromal tumour: A randomised, double-blind, placebo-controlled trial. Lancet 2009, 373, 1097–1104. [Google Scholar] [CrossRef]
- Joensuu, H.; Eriksson, M.; Sundby Hall, K.; Hartmann, J.T.; Pink, D.; Schütte, J.; Ramadori, G.; Hohenberger, P.; Duyster, J.; Al-Batran, S.E.; et al. One vs. three years of adjuvant imatinib for operable gastrointestinal stromal tumor: A randomized trial. JAMA 2012, 307, 1265–1272. [Google Scholar] [CrossRef]
- Cohen, M.H.; Cortazar, P.; Justice, R.; Pazdur, R. Approval summary: Imatinib mesylate in the adjuvant treatment of malignant gastrointestinal stromal tumor. Oncologist 2010, 15, 300–307. [Google Scholar] [CrossRef]
- Traverso, L.W.; Longmire, W.P., Jr. Preservation of the pylorus in pancreaticoduodenectomy. Surg. Gynecol. Obstet. 1978, 146, 959–962. [Google Scholar] [CrossRef]
- Hermanek, P.; Wittekind, C. The pathologist and the residual tumor (R) classification. Pathol. Res. Pract. 1994, 190, 115–123. [Google Scholar] [CrossRef]
- Dindo, D.; Demartines, N.; Clavien, P.A. Classification of Surgical Complications: A New Proposal with Evaluation in a Cohort of 6336 Patients and Results of a Survey. Ann. Surg. 2004, 240, 205–213. [Google Scholar] [CrossRef] [PubMed]
- Bassi, C.; Dervenis, C.; Butturini, G.; Fingerhut, A.; Yeo, C.; Izbicki, J.; Neoptolemos, J.; Sarr, M.; Traverso, W.; Büchler, M. International Study Group on Pancreatic Fistula Definition. Postoperative pancreatic fistula: An international study group (ISGPF) definition. Surgery 2005, 138, 8–13. [Google Scholar] [CrossRef]
- Eisenhauer, E.A.; Therasse, P.; Bogaerts, J.; Schwartz, L.H.; Sargent, D.; Ford, R.; Dancey, J.; Arbuck, S.; Gwyther, S.; Mooney, M.; et al. New response evaluation criteria in solid tumours: Revised RECIST guideline (version 1.1). Eur. J. Cancer 2009, 45, 228–247. [Google Scholar] [CrossRef]
- Kaplan, E.L.; Meier, P. Nonparametric estimation from incomplete observations. J. Am. Stat. Assoc. 1958, 53, 457–481. [Google Scholar] [CrossRef]
- Mantel, N. Evaluation of survival data and two new rank order statistics arising in its consideration. Cancer Chemother. Rep. 1966, 50, 163–170. [Google Scholar]
- Cox, D.R. Regression Models and Life-Tables. J. R. Stat. Soc. Ser. B 1972, 34, 187–220. [Google Scholar] [CrossRef]
- Hong, X.; Choi, H.; Loyer, E.M.; Benjamin, R.S.; Trent, J.C.; Charnsangavej, C. Gastrointestinal stromal tumor: Role of CT in diagnosis and in response evaluation and surveillance after treatment with imatinib. Radiographics 2006, 26, 481–495. [Google Scholar] [CrossRef]
- Connolly, E.M.; Gaffney, E.; Reynolds, J.V. Gastrointestinal stromal tumours. Br. J. Surg. 2003, 90, 1178–1186. [Google Scholar] [CrossRef]
- Vassos, N.; Agaimy, A.; Hohenberger, W.; Croner, R.S. Extraabdominal lymph node metastasis in gastrointestinal stromal tumors (GIST). J. Gastrointest. Surg. 2011, 15, 1232–1236. [Google Scholar] [CrossRef] [PubMed]
- Koh, Y.X.; Chok, A.Y.; Zheng, H.L.; Tan, C.S.; Chow, P.K.; Wong, W.K.; Goh, B. A systematic review and meta-analysis comparing laparoscopic versus open gastric resections for gastrointestinal stromal tumors of the stomach. Ann. Surg. Oncol. 2013, 20, 3549–3560. [Google Scholar] [CrossRef]
- Filippou, D.K.; Pashalidis, N.; Skandalakis, P.; Rizos, S. Malignant gastrointestinal stromal tumor of the ampulla of Vater presenting with obstructive jaundice. J. Postgrad. Med. 2006, 52, 204–206. [Google Scholar]
- Popivanov, G.; Tabakov, M.; Mantese, G.; Cirocchi, R.; Piccinini, I.; D’Andrea, V.; Covarelli, P.; Boselli, C.; Barberini, F.; Tabola, R.; et al. Surgical treatment of gastrointestinal stromal tumors of the duodenum: A literature review. Transl. Gastroenterol. Hepatol. 2018, 3, 71. [Google Scholar] [CrossRef]
- Zhou, Y.; Wang, X.; Si, X.; Wang, S.; Cai, Z. Surgery for duodenal gastrointestinal stromal tumor: A systematic review and meta-analysis of pancreticoduodenectomy versus local resection. Asian J. Surg. 2020, 43, 1–8. [Google Scholar] [CrossRef]
- Goh, B.K.; Chow, P.K.; Chok, A.Y.; Chan, W.H.; Chung, Y.F.; Ong, H.S.; Wong, W.K. Impact of the introduction of laparoscopic wedge resection as a surgical option for suspected small/medium-sized gastrointestinal stromal tumors of the stomach on perioperative and oncologic outcomes. World J. Surg. 2010, 34, 1847–1852. [Google Scholar] [CrossRef]
- Kato, M.; Nakajima, K.; Nishida, T.; Yamasaki, M.; Nishida, T.; Tsutsui, S.; Ogiyama, H.; Yamamoto, S.; Yamada, T.; Mori, M.; et al. Local resection by combined laparoendoscopic surgery for duodenal gastrointestinal stromal tumor. Diagn. Ther. Endosc. 2011, 2011, 200645609. [Google Scholar] [CrossRef]
- Chok, A.Z.; Koh, Z.X.; Ow, M.Y.L.; Allen, J.C., Jr.; Goh, B.K.P. A systematic review and meta-analysis comparing pancreaticoduodenectomy versus limited resection for duodenal gastrointestinal stromal tumors. Ann. Surg. Oncol. 2014, 21, 3429–3438. [Google Scholar] [CrossRef]
- Gold, J.S.; Tang, L.H.; Gönen, M.; Coit, D.G.; Brennan, M.F.; Allen, P.J. Utility of a prognostic nomogram designed for gastric cancer in predicting outcome of patients with R0 resected duodenal adenocarcinoma. Ann. Surg. Oncol. 2007, 14, 3159–3167. [Google Scholar] [CrossRef] [PubMed]
- Rutkowski, P.; Gronchi, A.; Hohenberger, P.; Bonvalot, S.; Schoffski, P.; Bauer, S.; Fumagalli, E.; Nyckowski, P.; Nguyen, B.P.; Kerst, J.M.; et al. Neoadjuvant Imatinib in Locally Advanced Gastrointestinal Stromal Tumors (GIST): The EORTC STBSG Experience. Ann. Surg. Oncol. 2013, 20, 2937–2943. [Google Scholar] [CrossRef] [PubMed]
- Hohenberger, P.; Langer, C.; Wendtner, C.M.; Hohenberger, W.; Pustowka, A.; Wardelmann, E.; Andre, E.; Licht, T. Neoadjuvant treatment of locally advanced GIST: Results of APOLLON, a prospective, open label phase II study in KIT- or PDGFRA-positive tumors. J. Clin. Oncol. 2012, 30, 10031. [Google Scholar] [CrossRef]
- Wang, D.; Zhang, Q.; Blanke, C.D.; Demetri, G.D.; Heinrich, M.C.; Watson, J.C.; Hoffman, J.P.; Okuno, S.; Kane, J.M.; von Mehren, M.; et al. Phase II trial of neoadjuvant/adjuvant imatinib mesylate for advanced primary and metastatic/recurrent operable gastrointestinal stromal tumors: Long-term follow-up results of Radiation Therapy Oncology Group. Ann. Surg. Oncol. 2012, 19, 1074–1080. [Google Scholar] [CrossRef] [PubMed]
- Vassos, N.; Jakob, J.; Kaehler, G.; Reichardt, P.; Marx, A.; Dimitrakopoulou-Strauss, A.; Rathmann, N.; Wardelmann, E.; Hohenberger, P. Preservation of organ function in locally advanced non-metastatic gastrointestinal stromal tumors (GIST) of the stomach by neoadjuvant imatinib therapy. Cancers 2021, 13, 586. [Google Scholar] [CrossRef] [PubMed]
- Sciot, R.; Debiec-Rychter, M.; Daugaard, S.; Fisher, C.; Collin, F.; van Glabbeke, M.; Verweij, J.; Blay, J.Y.; Hogendoorn, P.C.; EORTC Soft Tissue and Bone Sarcoma Group; et al. Distribution and prognostic value of histopathologic data and immunohistochemical markers in gastrointestinal stromal tumours (GISTs): An analysis of the EORTC phase III trial of treatment of metastatic GISTs with imatinib mesylate. Eur. J. Cancer 2008, 44, 1855–1860. [Google Scholar] [CrossRef]



| Characteristics | Total (n = 13) | LR Group (n = 8) | PD Group (n = 5) | ||
|---|---|---|---|---|---|
| Demographics | |||||
| Sex | |||||
| Male | 7 (54%) | 4 (50%) | 3 (60%) | ||
| Female | 6 (46%) | 4 (50%) | 2 (40%) | ||
| Median age (range) | 64 (42–77) | 61.25 (42–77) | 68.4 (59–74) | ||
| Symptoms | |||||
| Abdominal pain | 7 | 4 | 3 | ||
| GI bleeding | 2 | 2 | 0 | ||
| Both | 2 | 1 | 1 | ||
| Anemia | 1 | 0 | 1 | ||
| Asymptomatic (discovered incidentally) | 1 | 1 | 0 | ||
| Tumor factors | |||||
| Tumor site | |||||
| D2 | 5 (38.5%) | 1 | 4 | ||
| D3 | 5 (38.5%) | 4 | 1 | ||
| D4 | 3 (23%) | 3 | 0 | ||
| Median tumor size (cm) | 5.2 (1.5–13.3) | 4.7 (1.5–13.3) | 6.1 (1.8–7) | ||
| Tumor size at diagnosis (cm) | |||||
| <5 cm | 4 (30%) | 3 (37.5%) | 1 (20%) | ||
| >5 cm | 9 (70%) | 5 (62.5%) | 4 (80%) | ||
| Median mitotic index | 15 (0–150) | 7.5 (0–50) | 34 (1–150) | ||
| Mitotic index | |||||
| <5/50 HPFs | 10 | 7 | 3 | ||
| >5/50 HPFs | 3 | 1 | 2 | ||
| Risk NIH classification | |||||
| Very low | 3 | 2 | 1 | ||
| Low | 3 | 0 | 3 | ||
| Intermediate | 3 | 1 | 2 | ||
| High | 4 | 2 | 2 | ||
| Risk Miettinen classification | |||||
| No | 3 | 2 | 1 | ||
| Very low | 0 | 0 | 0 | ||
| Low | 3 | 3 | 0 | ||
| Intermediate | 0 | 0 | 0 | ||
| High | 7 | 3 | 4 | ||
| Surgical data | |||||
| R-Status | |||||
| R0 | 12 | 8 | 4 | ||
| R1 | 1 | 0 | 1 | ||
| Tumor rupture | |||||
| No | 13 | 8 | 5 | ||
| Yes | 0 | 0 | 0 | ||
| Operative time | 195 (80–465) | 140 (80–245) | 330 (210–465) | ||
| Outcomes | |||||
| Length of hospitalization | 8 (5–11) | 16 (10–24) | |||
| Morbidity | |||||
| No | 12 | 8 | 4 | ||
| Yes | 2 | 0 | 2 | ||
| Major complications | 1 | 0 | 1 | ||
| Disease progression | 4 | 2 | 2 | ||
| Neoadj TKI | |||||
| Yes | 5 | 3 | 2 | ||
| No | 8 | 5 | 3 | ||
| Adj TKI | |||||
| Yes | 5 | 3 | 2 | ||
| No | 8 | 5 | 3 | ||
Publisher’s Note: MDPI stays neutral with regard to jurisdictional claims in published maps and institutional affiliations. |
© 2021 by the authors. Licensee MDPI, Basel, Switzerland. This article is an open access article distributed under the terms and conditions of the Creative Commons Attribution (CC BY) license (https://creativecommons.org/licenses/by/4.0/).
Share and Cite
Vassos, N.; Perrakis, A.; Hohenberger, W.; Croner, R.S. Surgical Approaches and Oncological Outcomes in the Management of Duodenal Gastrointestinal Stromal Tumors (GIST). J. Clin. Med. 2021, 10, 4459. https://doi.org/10.3390/jcm10194459
Vassos N, Perrakis A, Hohenberger W, Croner RS. Surgical Approaches and Oncological Outcomes in the Management of Duodenal Gastrointestinal Stromal Tumors (GIST). Journal of Clinical Medicine. 2021; 10(19):4459. https://doi.org/10.3390/jcm10194459
Chicago/Turabian StyleVassos, Nikolaos, Aristotelis Perrakis, Werner Hohenberger, and Roland S. Croner. 2021. "Surgical Approaches and Oncological Outcomes in the Management of Duodenal Gastrointestinal Stromal Tumors (GIST)" Journal of Clinical Medicine 10, no. 19: 4459. https://doi.org/10.3390/jcm10194459
APA StyleVassos, N., Perrakis, A., Hohenberger, W., & Croner, R. S. (2021). Surgical Approaches and Oncological Outcomes in the Management of Duodenal Gastrointestinal Stromal Tumors (GIST). Journal of Clinical Medicine, 10(19), 4459. https://doi.org/10.3390/jcm10194459

