Abstract
Background: Hemostatic abnormalities have been described in COVID-19, and pulmonary microthrombosis was consistently found at autopsy with concomitant severe lung damage. Methods: This is a retrospective observational cross-sectional study including consecutive patients with COVID-19 pneumonia who underwent unenhanced chest CT upon admittance at the emergency room (ER) in one large academic hospital. QCT was used for the calculation of compromised lung volume (%CL). Clinical data were retrieved from patients’ files. Laboratory data were obtained upon presentation at the ER. Aim: The aim of this study was to evaluate the correlation between hemostatic abnormalities and lung involvement in patients affected by COVID-19 pneumonia as described using computer-aided quantitative evaluation of chest CT (quantitative CT (QCT)). Results: A total of 510 consecutive patients (68% males), aged 67 years in median, diagnosed with COVID-19 pneumonia, who underwent unenhanced CT scan upon admission to the ER, were included. In all, 115 patients had %CL > 23%; compared to those with %CL < 23%, they showed higher levels of D-dimer, fibrinogen, and CRP, greater platelet count, and longer PT ratio. Via multivariate regression analysis, BMI ≥ 30 kg/m2, D-dimer levels > 500 ng/mL, CRP > 5.0 ng/mL and PT ratio > 1.2 were found to be independent predictors of a %CL > 23% (adjusted odds ratios (95% confidence intervals): 2.1 (1.1–4.0), 3.1 (1.6–5.8), 2.4 (1.3–4.5), and 3.4 (1.4–8.5), respectively). Conclusions: Hemostatic abnormalities in patients affected by COVID-19 correlate with the severity of lung injury as measured by %CL. Our results underline the pathogenetic role of hemostasis in COVID-19 pneumonia beyond the presence of clinically evident thromboembolic complications.
1. Introduction
Coronavirus disease 2019 (COVID-19) is a novel, potentially fatal respiratory infection caused by coronavirus SARS-CoV-2, which was first identified in December 2019 in Wuhan, Hubei, China [1], and has since spread globally. Europe and the United States of America have been the epicenters of COVID-19, with a total of 36,607,500 and 50,612,223 confirmed cases and a total of 830,948 and 1,196,316 deaths reported as of 25 February 2021, respectively [2].
As the pandemic progressed, the scientific community accelerated the study of predictors of an unfavorable course, as measured by hospitalization time, need for invasive ventilation, and the risk of death [3]. An interesting area of knowledge pertains to the association between hemostatic abnormalities and thrombotic events complicating COVID-19 pneumonia [4,5]. D-dimer levels were found to be increased in the vast majority of patients with COVID-19 and represent the main predictor of coagulation-associated complications, as well as death [6,7]. Together with C-reactive protein, platelet count and erythrocyte sedimentation rate have been reported as the main predictors for thrombotic events during hospitalization [8]. Indeed, contrast-enhanced CT angiography has unveiled a high prevalence of acute pulmonary embolism (PE) in severe cases [9,10]. Moreover, the use of computer-aided quantitative analysis (quantitative computed tomography (QCT)), measuring the volume of well-aerated and compromised lungs, has also been proven to be a potential predictor of prognosis [11].
In the present analysis, we used QCT to evaluate the severity of compromised lung volume (%CL) in a large cohort of patients admitted to an academic hospital and investigated the potential association between %CL and hemostatic abnormalities occurring during COVID-19 infection.
2. Materials and Methods
2.1. Subjects
Eligible patients were consecutive patients admitted to the emergency room (ER) of a large academic hospital in Milan with COVID-19 pneumonia and who underwent unenhanced chest CT between February and April 2020. Unenhanced chest CT was performed upon ER admittance in all patients in concomitance with real-time polymerase chain reaction (RT-PCR) for SARS-CoV-2.
2.2. Study Design
This study was a retrospective, observational, cross-sectional study conducted in accordance with the amended Declaration of Helsinki. The Institutional Review Board of IRCCS Humanitas Research Hospital approved the protocol, and written informed consent was obtained from all patients before every CT exam.
Medical records of patients diagnosed with COVID-19 by means of real-time reverse transcription–polymerase chain reaction (RT-PCR) were reviewed. Inclusion criteria for this study were (a) unenhanced chest CT performed upon admission to the ER and (b) COVID-19 pneumonia. Demographic and clinical data were collected for all patients, including laboratory parameters. Cardiovascular disease (CVD) was defined as known coronary artery disease, previous stroke/TIA and peripheral artery disease, and/or carotid artery stenosis. Chronic kidney disease (CKD) was defined as a value of filtration rate < 60 mL/min calculated using CKD-EPI. PE was searched by CT pulmonary angiography in subjects with an unexplained clinical worsening of respiratory function or a rapid increase in D-dimer levels (D-Dimer HS, Instrumental Laboratory Company, Bedford, MA, USA). The International Society on Thrombosis and Haemostasis (ISTH) score for overt disseminated intravascular coagulation (DIC) was calculated [12], and DIC was considered present with a score ≥5. Deaths were also reported.
2.3. Quantitative CT Analysis
All CT scans were performed on a 64-row scanner (Ingenuity, Philips, Amsterdam, The Netherlands) dedicated to COVID-19 and isolated from the rest of the radiology department, using standard parameters for chest imaging (100–140 kV, mAs according to size, slice thickness = 2 mm). DICOM images were exported to 3D-Slicer (www.slicer.org; last accessed 26 May 2021), which is open-source software for image segmentation and quantification. The software performed a first-pass, semi-automated segmentation of the lung parenchyma; missing lung volumes were manually outlined using tools such as spherical brushes and three-dimensional erasers. A complete segmentation included both lungs with interstitial structures, segmentary vessels, and bronchi; the main pulmonary arteries and bronchi, all mediastinal structures, pleural effusions, and lung masses were excluded. Contrast-enhanced scans, although available in some cases, were not used for segmentation purposes as the presence of a contrast medium would have altered the density of the lung parenchyma.
The whole lung parenchyma was divided into different volume subunits, according to Hounsfield Units (HU) intervals validated in previous research [13], and categorized into non-aerated (%NNL, 100, −100 HU), poorly aerated (%PAL, −500, −100 HU), normally aerated (%NAL, −900, −501 HU), and hyper-inflated (%HIL, −1000, −900 HU). The sum of %NAL and %HIL defined the normal lung volume, while the sum of %PAL and %NNL defined the compromised lung volume (%CL, −500, 100 HU) that represents the main outcome of this study.
2.4. Outcome
The primary objective of this study was to evaluate the correlation between hemostatic abnormalities and lung damage in patients affected by COVID-19 pneumonia as described using computer-aided quantitative evaluation of chest CT (quantitative CT (QCT)).
2.5. Statistical Analysis
Continuous variables, expressed as median values and interquartile ranges (IQR), were compared using the Mann–Whitney U-test. Categorical variables, expressed as frequencies and percentage values, were compared via the chi-squared test. Correlation coefficients were calculated using Spearman’s rho tests. %CL > 23% has been considered the primary outcome because it has been previously related to the worse respiratory outcome [14]. A BMI ≥ 30 kg/m2, a D-dimer value > 500 ng/mL, fibrinogen levels > 550 mg/dL, PT ratio > 1.20, PLTs count > 200 × 103/mmc, and CRP values > 5 mg/dL were considered putative risk factors for having a %CL > 23%. Cut-off values for BMI were chosen to identify obese patients; those for D-dimer and CRP were based on published literature [15,16], those of fibrinogen and PLT count were based on the median values observed in the study population, and those for PT were based on the normal laboratory range for this test. Odds ratios (OR) with 95% confidence intervals (95%CI) were calculated for all the aforementioned variables via univariate logistic regression analysis (crude OR); all variables with significant 95%CI were then included in the multivariate model to adjust for confounders and identify independent predictors of having a %CL > 23% (adjusted OR, aOR). No missing data imputation was used, and multivariate analysis was performed including only subjects with complete data. All reported p values are two-sided, and values <0.05 were considered significant. All analyses were performed using IBM SPSS Statistics software (version 26.0, IBM Corp., Armonk, New York, NY, USA).
3. Results
In this study, we included 510 consecutive patients (347 males, 68%) aged in median 67 years (interquartile range (IQR), 56–77), who were diagnosed with COVID-19 pneumonia and underwent unenhanced CT scan upon admission to the ER. The main characteristics of these subjects are summarized in Table 1.
Table 1.
Main characteristics of the 510 consecutive patients admitted to the emergency room with COVID-19 pneumonia included in the study.
In all, 384 patients (75%; median age: 62 years, IQR: 53–71) successfully recovered and were discharged from hospital. A total of 126 (25%; median age 77 years, IQR: 72–84), died during hospitalization.
Laboratory and clinical parameters upon admission (median, IQR) in survivors and non-survivors are shown in Table 2. Deceased patients had higher D-dimer and CRP levels, prolonged PT ratio, higher WBC count, and greater %CL compared to survivors (Table 2).
Table 2.
Clinical and laboratory features of 510 consecutive patients with COVID-19 pneumonia included in the study and compared according to survival outcome.
During the hospital stay, 402 (79%) patients required oxygenation support, this being via a nasal cannula in 143 (36%), facial mask in 31 (8%), Venturi mask in 84 (21%), helmet CPAP in 66 (16%), and intubation in 78 (19%). Overall, 86 patients (17%) required ICU hospitalization, PE was found in 11 patients (2.2%), and DIC occurred in 7 patients (1.4%).
3.1. Quantitative CT Analysis
All CT scans were of satisfactory quality for analysis. Case examples of QCT with %CL < or >23% and different texture between %PAL and %NNL are illustrated in Figure 1. Median %CL was 16% in the deceased group (IQR, 10–32%) and 11% in the recovered group (IQR, 6–19%). The difference proved statistically significant (p < 0.001; Table 2).

Figure 1.
Unenhanced CT scan and QCT analysis in four patients with COVID-19 pneumonia. (A,B) show one QCT with %CL < 23% and one with %CL > 23%. (C,D) highlight the texture differences between the “poorly aerated” volume (%PAL, −500, −100 HU) and “non-aerated” volume (%NNL, 100, -100 HU). (A) refers to a 71-year-old man, oxygenated through nasal cannulae. Upon admission, laboratory tests were as follows: D-dimer 199 ng/mL, fibrinogen 416 mg/dL, PT ratio 1.03, CRP 1.0 mg/dL. %CL was 10%. Non-contrast axial chest CT showed ground-glass opacities, predominantly in the middle lobe; quantitative analysis highlights poorly aerated lung volumes in yellow (8% PAL) and normally aerated lung volumes in blue. (B) refers to a 64-year-old man who required mechanical ventilation and intubation. Upon admission, laboratory tests were as follows: D-dimer 1161 ng/mL, fibrinogen 1021 mg/dL, PT ratio 1.18, CRP 45.3 mg/dL. %CL was 55%. Non-contrast axial chest CT showed diffuse bilateral ground-glass opacities and posterior lung consolidation; quantitative analysis highlights non-aerated lung volumes in red (19% NNL), poorly aerated lung volumes in yellow (36% PAL), and normally aerated lung volumes in blue. (C) refers to a 65-year-old woman who required mechanical ventilation and intubation. Upon admission, laboratory tests were as follows: PT ratio 1.34, CRP 31.9 mg/dL. %CL was 66%. Non-contrast axial chest CT showed extensive posterior consolidation of the right lower lung lobe and patchy dense consolidation in the subpleural space of both left lower and upper lung lobes; quantitative analysis highlights poorly aerated lung volumes in yellow (23% PAL) and non-aerated lung volumes in red (43% NNL). (D) refers to a 66-year-old man who required mechanical ventilation and intubation. Upon admission, laboratory tests were as follows: D-dimer 1335 ng/mL, fibrinogen 832 mg/dL, PT ratio 1.20, CRP 33.8 mg/dL. %CL was 62%. Non-contrast axial chest CT showed extensive ground-glass consolidation with “crazy paving” pattern typical of COVID-19; quantitative analysis highlights normally aerated lung volumes in blue, non-aerated lung volumes in red (12% NNL), and poorly aerated lung volumes in yellow (50% PAL).
A total of 115 had %CL > 23%. Compared to those with %CL< 23%, they showed higher levels of D-dimer, fibrinogen, and CRP, greater platelet count, and longer PT ratio (Table 3). A greater proportion of these patients had BMI ≥ 30 kg/m2 (35% vs 22%, p = 0.007). No significant difference was found with respect to sex, age, or comorbidities (Table 3). The need for any type of oxygenation support and the proportion of mechanical ventilation, as well as mortality, were greater in this group of patients (p < 0.001 for both outcomes; Table 3).
Table 3.
Clinical and laboratory features of 115 patients with COVID-19 pneumonia and >23% of compromised lung as measured by QTC and comparison with 395 patients with COVID-19 pneumonia and <23% of compromised lung at QTC.
Among those 11 patients subsequently diagnosed with PE, only 6 (54%) displayed %CL > 23%.
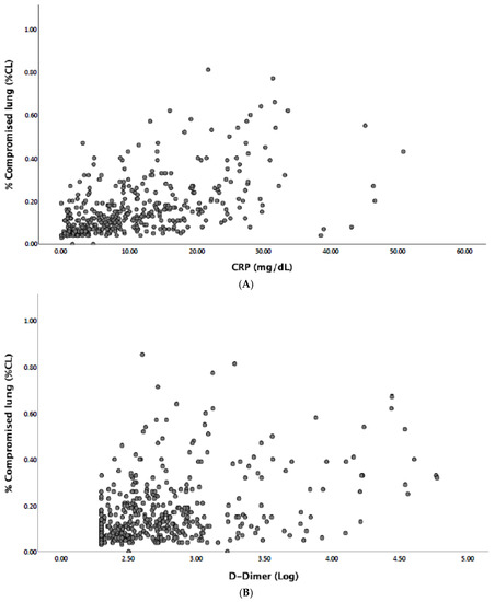
A significant correlation was found between %CL and CRP (r2 = 0.58, p < 0.001), D-dimer (r2 = 0.36, p < 0.001), fibrinogen (r2 = 0.33, p < 0.001), WBC count (r2 = 0.31, p < 0.001), PT ratio (r2 = 0.28, p < 0.001), platelet count (r2 = 0.22, p < 0.001), and age (r2 = 0.12, p = 0.005). Figure 2 shows a scatter plot of RCP (A) and D-dimer (B) values in correlation with %CL value distribution in the study population.
Figure 2.
Scatter plot of the distribution of CRP ((A); r2 = 0.58, p < 0.001) and log D-dimer ((B); r2 = 0.36, p < 0.001) levels according to %CL values in the study population.
3.2. Hemostatic Abnormalities and Compromised Lung
The results of univariate and multivariate logistic regression analysis of potential determinants of %CL are shown in Table 4. Multivariate analysis was run in 287 patients with complete clinical and laboratory data. After adjustment, BMI ≥ 30 kg/m2, D-dimer levels > 500 ng/mL, CRP > 5.0 ng/mL, and PT ratio > 1.2 were found to be independent predictors of a %CL > 23%.
Table 4.
Univariate and multivariate logistic regression analysis of potential predictors of %CL > 23% in 287 patients with complete clinical and laboratory data included in the study.
4. Discussion
In this study, we found that elevated D-dimer levels and prolonged PT values upon admission in patients affected by COVID-19 pneumonia were independent predictors of the extent of lung impairment as measured by means of QCT.
Chest CT is the standard imaging technique to identify COVID-19 pneumonia, but it is limited to visual findings; by contrast, QCT analysis adds knowledge on functional lung impairment, which is strictly related to the management and prognosis of these patients. In fact, in a series of 222 patients, compromised lung volume proved to be the most accurate predictor of the need for respiratory support, with a value >23% meaning being at high risk for intubation [14]. Similarly, in our series, patients with a %CL > 23% displayed a greater need for mechanical ventilation as well as increased mortality.
The usefulness of quantifying the volume of the compromised lung from a simple unenhanced chest CT performed upon admission resides in the fact that this method can identify minimal changes in voxel units that may not be visible to the unaided eye. Many studies have reported its use in research on interstitial lung diseases, pulmonary sarcoidosis, and pulmonary vascular diseases [17,18,19].
The association between alterations of hemostasis and infections is well known [20]. Elevated levels of D-dimer and fibrin degradation products (FDP) characterize the initial coagulopathy of COVID-19 pneumonia and have been associated with disease severity and survival [15,21,22,23,24]. Several studies have been conducted to demonstrate a relation between coagulation parameter derangement and patient outcome, both in terms of ICU admission and mortality. Indeed, among 183 COVID-19-affected Chinese patients, non-survivors revealed significantly higher D-dimer and FDP levels, prolonged prothrombin time, and activated partial thromboplastin time at admission compared to survivors [25]. More recently, in 67 non-Chinese COVID-19 patients, it was first shown that clotting alterations, with a trend toward a hypercoagulable state due to increased values of D-dimer and fibrinogen, were present at the early stage of the disease and are more likely associated with a more severe form of COVID-19, characterized by severe acute respiratory syndrome (SARS) [26].
In our study, which includes more than 500 consecutive patients evaluated upon admission to the ER, we confirm that non-survivors had elevated D-dimer levels and prolonged PT ratio, with CRP also being significantly higher in this group of patients. All these three laboratory markers were found to be independently associated with functional lung impairment, highlighting that coagulation alterations seen in COVID-19 are strictly related to the inflammatory response triggered by acute viral infection and that a concerted action of coagulation and inflammation might be related to the observed lung injury. Indeed, in a Chinese study including 147 patients, coagulation abnormalities were prominent in ICU patients, and prolonged PT, elevated FDP, and D-dimer were linearly correlated to increased levels of IL2R, IL6, IL8, and TNF-α [22].
The hypothesis that a continuous crosstalk between hemostasis and inflammation influences the severity of lung impairment in COVID-19 patients is suggested by the fact that pneumocytes and endothelial cells are primary targets of SARS-CoV2 infection [27] and that alveolar damage and microvascular thrombosis are the main postmortem histopathologic findings [28]. QCT analysis might reflect the extent of lung injury related to those physiopathological mechanisms beyond the presence of thromboembolic complications. In fact, in our cohort, PE was found in a minority, and %CL >23% was found in only half of them.
Some authors recently hypothesized that pulmonary “thrombosis” rather than “embolism” may be involved in COVID-19 pneumonia [29]; this is also suggested by preliminary data from retrospective reports on the use of dual-energy computed tomography (DECT) [30,31]. In these studies, DECT imaging also demonstrated pulmonary ischemic areas in the absence of PE, which could be the consequence of the microvascular lesions caused by COVID-19 [30,31]. Standardized QCT as presented in our study may have a similar value to that of DECT, showing patterns of lung function impairment related to the same microvascular lesions without the need for intravenous contrast injection, and going beyond the limitations of a subjective radiological interpretation.
Our study has certain limitations: It is a retrospective study; imaging for PE was not performed in all patients but only in those with clinical suspicion, leading to a possible underestimation of this feature in our patient population; and there is no histological evidence of a greater extent/proportion of microvascular lung thrombosis in patients with greater %CL.
In conclusion, hemostatic abnormalities in patients affected with COVID-19 correlate with the severity of lung injury as measured by compromised lung volume, a parameter derived by computer-aided quantitative analysis of non-contrast chest CT that represents a measure of pulmonary dysfunction as well as a risk factor for a more severe respiratory outcome and in-hospital mortality. Our results underline the pathogenetic role of hemostasis in COVID-19 pneumonia beyond the presence of clinically evident thromboembolic complications.
Author Contributions
E.L. designed the study and had full access to all data in the study and takes responsibility for the integrity of the data and the accuracy of the statistical analysis. G.M. and C.L. (Costanza Lisi) contributed to quantitative analysis and manuscript drafting. P.F. contributed to data collection. L.B. contributed to data interpretation, study design, and supervision. P.D.M. and S.B. contributed to data interpretation and revised the manuscript. C.L. (Corrado Lodigiani) and M.E.M. contributed substantially to study design, data collection, data analysis, and manuscript preparation and revision. All authors have read and agreed to the published version of the manuscript.
Funding
This research received no external funding.
Institutional Review Board Statement
The study was conducted according to the guidelines of the Declaration of Helsinki and approved by the Institutional Review Board of IRCCS Humanitas Research Hospital (date of approval: 08 April 2020).
Informed Consent Statement
Informed consent was obtained from all subjects.
Data Availability Statement
The data presented in this study are available on request from the corresponding author. The data are not publicly available due to privacy.
Conflicts of Interest
None of the authors have any competing conflicts of interest or anything to disclose in relation to the submitted work.
References
- Guan, W.J.; Ni, Z.Y.; Hu, Y.; Liang, W.H.; Ou, C.Q.; He, J.X.; Liu, L.; Shan, H.; Lei, C.L.; Hui, D.S.C.; et al. Clinical Characteristics of Coronavirus Disease 2019 in China. N. Engl. J. Med. 2020, 382, 1708–1720. [Google Scholar] [CrossRef]
- European Centre for Disease Prevention and Control. Available online: https://www.ecdc.europa.eu/en/geographical-distribution-2019-ncov-cases (accessed on 27 February 2021).
- Ferrante, G.; Fazzari, F.; Cozzi, O.; Maurina, M.; Bragato, R.; D’Orazio, F.; Torrisi, C.; Lanza, E.; Indolfi, E.; Donghi, V.; et al. Risk factors for myocardial injury and death in patients with COVID-19: Insights from a cohort study with chest computed tomography. Cardiovasc. Res. 2020, 116, 2239–2246. [Google Scholar] [CrossRef]
- Bikdeli, B.; Madhavan, M.V.; Jimenez, D.; Chuich, T.; Dreyfus, I.; Driggin, E.; Der Nigoghossian, C.; Ageno, W.; Madjid, M.; Guo, Y.; et al. COVID-19 and Thrombotic or Thromboembolic Disease: Implications for Prevention, Antithrombotic Therapy, and Follow-Up: JACC State-of-the-Art Review. J. Am. Coll. Cardiol. 2020, 75, 2950–2973. [Google Scholar] [CrossRef] [PubMed]
- Lodigiani, C.; Iapichino, G.; Carenzo, L.; Cecconi, M.; Ferrazzi, P.; Sebastian, T.; Kucher, N.; Studt, J.-D.; Sacco, C.; Bertuzzi, A.; et al. Venous and arterial thromboembolic complications in COVID-19 patients admitted to an academic hospital in Milan, Italy. Thromb. Res. 2020, 191, 9–14. [Google Scholar] [CrossRef] [PubMed]
- Zhou, F.; Yu, T.; Du, R.; Fan, G.; Liu, Y.; Liu, Z.; Xiang, J.; Wang, Y.; Song, B.; Gu, X.; et al. Clinical course and risk factors for mortality of adult inpatients with COVID-19 in Wuhan, China: A retrospective cohort study. Lancet 2020, 395, 1054–1062. [Google Scholar] [CrossRef]
- Huang, C.; Wang, Y.; Li, X.; Ren, L.; Zhao, J.; Hu, Y.; Zhang, L.; Fan, G.; Xu, J.; Gu, X.; et al. Clinical features of patients infected with 2019 novel coronavirus in Wuhan, China. Lancet 2020, 395, 497–506. [Google Scholar] [CrossRef]
- Al-Samkari, H.; Karp Leaf, R.S.; Dzik, W.H.; Calson, J.C.T.; Fogerty, A.E.; Waheed, A.; Goodarzi, K.; Bendapudi, P.K.; Bornikova, L.; Gupta, S.; et al. COVID-19 and coagulation: Bleeding and thrombotic manifestations of SARS-CoV-2 infection. Blood 2020, 136, 489–500. [Google Scholar] [CrossRef]
- Léonard-Lorant, I.; Delabranche, X.; Séverac, F.; Helms, J.; Pauzet, C.; Collange, O.; Schneider, F.; Labani, A.; Bilbault, P.; Molière, S.; et al. Acute Pulmonary Embolism in Patients with COVID-19 at CT Angiography and Relationship to d-Dimer Levels. Radiology 2020, 296, E189–E191. [Google Scholar] [CrossRef]
- Grillet, F.; Behr, J.; Calame, P.; Aubry, S.; Delabrousse, E. Acute Pulmonary Embolism Associated with COVID-19 Pneumonia Detected with Pulmonary CT Angiography. Radiology 2020, 296, E186–E188. [Google Scholar] [CrossRef]
- Colombi, D.; Bodini, F.C.; Petrini, M.; Maffi, G.; Morelli, N.; Milanese, G.; Silva, M.; Sverzellati, N.; Michieletti, E. Well-aerated Lung on Admitting Chest CT to Predict Adverse Outcome in COVID-19 Pneumonia. Radiology 2020, 296, E86–E96. [Google Scholar] [CrossRef]
- Taylor, F.B., Jr.; Toh, C.H.; Hoots, W.K.; Wada, H.; Levi, M. Towards definition, clinical and laboratory criteria, and a scoring system for disseminated intravascular coagulation. Thromb. Haemost. 2001, 86, 1327–1330. [Google Scholar] [CrossRef]
- Cressoni, M.; Gallazzi, E.; Chiurazzi, C.; Marino, A.; Brioni, M.; Menga, F.; Cigada, I.; Amini, M.; Lemos, A.; Lazzerini, M.; et al. Limits of normality of quantitative thoracic CT analysis. Crit. Care 2013, 17, R93. [Google Scholar] [CrossRef]
- Lanza, E.; Muglia, R.; Bolengo, I.; Santonocito, O.G.; Lisi, C.; Angelotti, G.; Morandini, P.; Savevski, V.; Politi, L.S.; Balzarini, L. Quantitative chest CT analysis in COVID-19 to predict the need for oxygenation support and intubation. Eur. Radiol. 2020, 30, 6770–6778. [Google Scholar] [CrossRef]
- Yu, H.-H.; Qin, C.; Chen, M.; Wang, W.; Tian, D.-S. D-dimer level is associated with the severity of COVID-19. Thromb. Res. 2020, 195, 219–225. [Google Scholar] [CrossRef]
- Cecconi, M.; Piovani, D.; Brunetta, E.; Aghemo, A.; Greco, M.; Ciccarelli, M.; Angelini, C.; Voza, A.; Omodei, P.; Vespa, E.; et al. Early Predictors of Clinical Deterioration in a Cohort of 239 Patients Hospitalized for Covid-19 Infection in Lombardy, Italy. J. Clin. Med. 2020, 9, 1548. [Google Scholar] [CrossRef]
- Nakagawa, H.; Ogawa, E.; Fukunaga, K.; Kinose, D.; Yamaguchi, M.; Nagao, T.; Tanaka-Mizuno, S.; Nakano, Y. Quantitative CT analysis of honeycombing area predicts mortality in idiopathic pulmonary fibrosis with definite usual interstitial pneumonia pattern: A retrospective cohort study. PLoS ONE 2019, 14, e0214278. [Google Scholar]
- Lee, C.U.; Chong, S.; Choi, H.W.; Choi, J.C. Quantitative image analysis using chest computed tomography in the evaluation of lymph node involvement in pulmonary sarcoidosis and tuberculosis. PLoS ONE 2018, 13, e0207959. [Google Scholar] [CrossRef] [PubMed]
- Zhai, Z.; Staring, M.; Girón, I.H.; Veldkamp, W.J.H.; Kroft, L.J.; Ninaber, M.K.; Stoel, B.C. Automatic quantitative analysis of pulmonary vascular morphology in CT images. Med. Phys. 2019, 46, 3985–3997. [Google Scholar] [CrossRef]
- Stief, T.W.; Ijagha, O.; Weiste, B.; Herzum, I.; Renz, H.; Max, M. Analysis of hemostasis alterations in sepsis. Blood Coagul. Fibrinolysis 2007, 18, 179–186. [Google Scholar] [CrossRef]
- Connors, J.M.; Levy, J.H. COVID-19 and its implications for thrombosis and anticoagulation. Blood 2020, 135, 2033–2040. [Google Scholar] [CrossRef] [PubMed]
- Liu, Y.; Gao, W.; Guo, W.; Guo, Y.; Shi, M.; Dong, G.; Ge, Q.; Zhu, J.; Lu, J. Prominent coagulation disorder is closely related to inflammatory response and could be as a prognostic indicator for ICU patients with COVID-19. J. Thromb. Thrombolysis 2020, 50, 825–832. [Google Scholar] [CrossRef]
- Ranucci, M.; Ballotta, A.; Di Dedda, U.; Bayshnikova, E.; Poli, M.D.; Resta, M.; Falco, M.; Albano, G.; Menicanti, L. The procoagulant pattern of patients with COVID-19 acute respiratory distress syndrome. J. Thromb. Haemost. 2020, 18, 1747–1751. [Google Scholar] [CrossRef] [PubMed]
- Shah, S.; Shah, K.; Patel, S.B.; Patel, F.S.; Osman, M.; Velagapudi, P.; Turagam, M.K.; Lakkireddy, D.; Garg, J. Elevated D-Dimer Levels are Associated with Increased Risk of Mortality in COVID-19: A Systematic Review and Meta-Analysis. Cardiol. Rev. 2020, 28, 295–302. [Google Scholar] [CrossRef] [PubMed]
- Tang, N.; Li, D.; Wang, X.; Sun, Z. Abnormal coagulation parameters are associated with poor prognosis in patients with novel coronavirus pneumonia. J. Thromb. Haemost. 2020, 18, 844–847. [Google Scholar] [CrossRef]
- Di Micco, P.; Russo, V.; Carannante, N.; Imparato, M.; Rodolfi, S.; Cardillo, G.; Lodigiani, C. Clotting Factors in COVID-19: Epidemiological Association and Prognostic Values in Different Clinical Presentations in an Italian Cohort. J. Clin. Med. 2020, 9, 1371. [Google Scholar] [CrossRef]
- Levi, M.; Thachil, J.; Iba, T.; Levy, J.H. Coagulation abnormalities and thrombosis in patients with COVID-19. Lancet Haematol. 2020, 7, e438–e440. [Google Scholar] [CrossRef]
- Wichmann, D.; Sperhake, J.P.; Lütgehetmann, M.; Steurer, S.; Edler, C.; Heinemann, A.; Mushumba, F.H.H.; Kniep, I.; Schröder, A.N.; Burdelski, C.; et al. Autopsy Findings and Venous Thromboembolism in Patients With COVID-19: A Prospective Cohort Study. Ann. Intern. Med. 2020, 173, 268–277. [Google Scholar] [CrossRef]
- Thachil, J.; Srivastava, A. SARS-2 Coronavirus–Associated Hemostatic Lung Abnormality in COVID-19: Is It Pulmonary Thrombosis or Pulmonary Embolism? Semin. Thromb. Hemost. 2020, 46, 777–780. [Google Scholar] [CrossRef] [PubMed]
- Grillet, F.; Busse-Coté, A.; Calame, P.; Behr, J.; Delabrousse, E.; Aubry, S. COVID-19 pneumonia: Microvascular disease revealed on pulmonary dual-energy computed tomography angiography. Quant. Imaging Med. Surg. 2020, 10, 1852–1862. [Google Scholar] [CrossRef]
- Si-Mohamed, S.; Chebib, N.; Sigovan, M.; Zumbihl, L.; Turquier, S.; Boccalini, S.; Boussel, L.; Mornex, J.-F.; Cottin, V.; Douek, P. In vivo demonstration of pulmonary microvascular involvement in COVID-19 using dual-energy computed tomography. Eur. Respir. J. 2020, 56, 2002608. [Google Scholar] [CrossRef]
Publisher’s Note: MDPI stays neutral with regard to jurisdictional claims in published maps and institutional affiliations. |
© 2021 by the authors. Licensee MDPI, Basel, Switzerland. This article is an open access article distributed under the terms and conditions of the Creative Commons Attribution (CC BY) license (https://creativecommons.org/licenses/by/4.0/).


