Perioperative Perfusion of Allografts with Anti-Human T-lymphocyte Globulin Does Not Improve Outcome Post Liver Transplantation—A Randomized Placebo-Controlled Trial
Abstract
1. Introduction
2. Materials and Methods
2.1. Trial Design
2.2. Eligibility
2.3. Endpoints
2.4. Real-Time RT–PCR
2.5. Statistics
2.6. Study Approval
3. Results
3.1. Patients
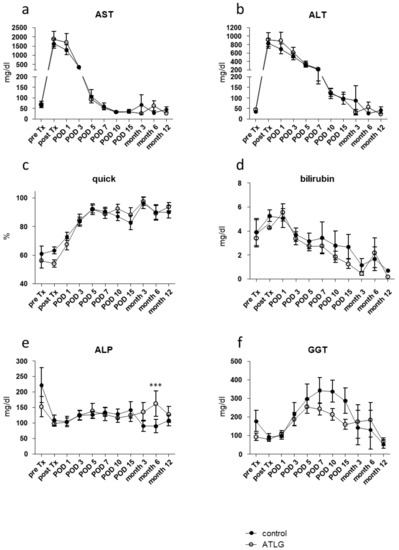
3.2. Liver Function after ATLG Perfusion
3.3. ATLG Perfusion of Livers Does Not Influence the Inflammation Profile on mRNA Levels
3.4. Patient Survival Rates Post-Transplantation
4. Discussion
5. Conclusions
Author Contributions
Funding
Institutional Review Board Statement
Informed Consent Statement
Data Availability Statement
Acknowledgments
Conflicts of Interest
References
- Jackson, K.R.; Motter, J.D.; Haugen, C.E.; Holscher, C.; Long, J.J.; Massie, A.B.; Philosophe, B.; Cameron, A.M.; Garonzik-Wang, J.; Segev, D.L. Temporal trends in utilization and outcomes of steatotic donor livers in the United States. Am. J. Transplant. 2020, 20, 855–863. [Google Scholar] [CrossRef]
- Domagala, P.; Takagi, K.; Ijzermans, J.N.; Polak, W.G. Grafts from selected deceased donors over 80years old can safely expand the number of liver transplants: A systematic review and meta-analysis. Transplant. Rev. 2019, 33, 209–218. [Google Scholar] [CrossRef] [PubMed]
- Linares, I.; Hamar, M.; Selzner, N.; Selzner, M. Steatosis in Liver Transplantation: Current Limitations and Future Strategies. Transplantation 2019, 103, 78–90. [Google Scholar] [CrossRef] [PubMed]
- Tedesco-Silva, H.J.; Mello Offerni, J.C.; Ayres Carneiro, V.; Ivani de Paula, M.; Neto, E.D.; Brambate Carvalhinho Lemos, F.; Requiao Moura, L.R.; Pacheco, E.S.F.A.; de Morais Cunha, M.F.; Francisco da Silva, E.; et al. Randomized Trial of Machine Perfusion Versus Cold Storage in Recipients of Deceased Donor Kidney Transplants With High Incidence of Delayed Graft Function. Transplant. Direct 2017, 3, e155. [Google Scholar] [CrossRef] [PubMed]
- Gallinat, A.; Amrillaeva, V.; Hoyer, D.P.; Kocabayoglu, P.; Benko, T.; Treckmann, J.W.; van Meel, M.; Samuel, U.; Minor, T.; Paul, A. Reconditioning by end-ischemic hypothermic in-house machine perfusion: A promising strategy to improve outcome in expanded criteria donors kidney transplantation. Clin. Transplant. 2017, 31. [Google Scholar] [CrossRef] [PubMed]
- Moers, C.; Smits, J.M.; Maathuis, M.H.; Treckmann, J.; van Gelder, F.; Napieralski, B.P.; van Kasterop-Kutz, M.; van der Heide, J.J.; Squifflet, J.P.; van Heurn, E.; et al. Machine perfusion or cold storage in deceased-donor kidney transplantation. N. Engl. J. Med. 2009, 360, 7–19. [Google Scholar] [CrossRef] [PubMed]
- Compagnon, P.; Levesque, E.; Hentati, H.; Disabato, M.; Calderaro, J.; Feray, C.; Corlu, A.; Cohen, J.L.; Ben Mosbah, I.; Azoulay, D. An Oxygenated and Transportable Machine Perfusion System Fully Rescues Liver Grafts Exposed to Lethal Ischemic Damage in a Pig Model of DCD Liver Transplantation. Transplantation 2017, 101, e205–e213. [Google Scholar] [CrossRef]
- Nasralla, D.; Coussios, C.C.; Mergental, H.; Akhtar, M.Z.; Butler, A.J.; Ceresa, C.D.L.; Chiocchia, V.; Dutton, S.J.; Garcia-Valdecasas, J.C.; Heaton, N.; et al. A randomized trial of normothermic preservation in liver transplantation. Nature 2018, 557, 50–56. [Google Scholar] [CrossRef]
- Dutkowski, P.; Schlegel, A.; de Oliveira, M.; Mullhaupt, B.; Neff, F.; Clavien, P.A. HOPE for human liver grafts obtained from donors after cardiac death. J. Hepatol. 2014, 60, 765–772. [Google Scholar] [CrossRef] [PubMed]
- Dutkowski, P.; Guarrera, J.V.; de Jonge, J.; Martins, P.N.; Porte, R.J.; Clavien, P.A. Evolving Trends in Machine Perfusion for Liver Transplantation. Gastroenterology 2019, 156, 1542–1547. [Google Scholar] [CrossRef]
- Czigany, Z.; Lurje, I.; Tolba, R.H.; Neumann, U.P.; Tacke, F.; Lurje, G. Machine perfusion for liver transplantation in the era of marginal organs-New kids on the block. Liver Int. 2019, 39, 228–249. [Google Scholar] [CrossRef]
- Zhai, Y.; Petrowsky, H.; Hong, J.C.; Busuttil, R.W.; Kupiec-Weglinski, J.W. Ischaemia-reperfusion injury in liver transplantation--from bench to bedside. Nat. Rev. Gastroenterol. Hepatol. 2013, 10, 79–89. [Google Scholar] [CrossRef] [PubMed]
- Bonventre, J.V.; Yang, L. Cellular pathophysiology of ischemic acute kidney injury. J. Clin. Investig. 2011, 121, 4210–4221. [Google Scholar] [CrossRef] [PubMed]
- Linfert, D.; Chowdhry, T.; Rabb, H. Lymphocytes and ischemia-reperfusion injury. Transplant. Rev. 2009, 23, 1–10. [Google Scholar] [CrossRef]
- Rao, J.; Lu, L.; Zhai, Y. T cells in organ ischemia reperfusion injury. Curr Opin Organ. Transplant. 2014, 19, 115–120. [Google Scholar] [CrossRef] [PubMed]
- Gregorini, M.; Corradetti, V.; Pattonieri, E.F.; Rocca, C.; Milanesi, S.; Peloso, A.; Canevari, S.; De Cecco, L.; Dugo, M.; Avanzini, M.A.; et al. Perfusion of isolated rat kidney with Mesenchymal Stromal Cells/Extracellular Vesicles prevents ischaemic injury. J. Cell Mol. Med. 2017, 21, 3381–3393. [Google Scholar] [CrossRef]
- Kan, C.; Liu, A.; Fang, H.; Dirsch, O.; Dahmen, U.; Boettcher, M. Induction of autophagy reduces ischemia/reperfusion injury in steatotic rat livers. J. Surg Res. 2017, 216, 207–218. [Google Scholar] [CrossRef]
- Manne, N.; Arvapalli, R.; Graffeo, V.A.; Bandarupalli, V.V.K.; Shokuhfar, T.; Patel, S.; Rice, K.M.; Ginjupalli, G.K.; Blough, E.R. Prophylactic Treatment with Cerium Oxide Nanoparticles Attenuate Hepatic Ischemia Reperfusion Injury in Sprague Dawley Rats. Cell. Physiol. Biochem. 2017, 42, 1837–1846. [Google Scholar] [CrossRef] [PubMed]
- Fernandez-Moure, J.S. Lost in Translation: The Gap in Scientific Advancements and Clinical Application. Front. Bioeng Biotechnol 2016, 4, 43. [Google Scholar] [CrossRef]
- Aiello, S.; Cassis, P.; Mister, M.; Solini, S.; Rocchetta, F.; Abbate, M.; Gagliardini, E.; Benigni, A.; Remuzzi, G.; Noris, M. Rabbit anti-rat thymocyte immunoglobulin preserves renal function during ischemia/reperfusion injury in rat kidney transplantation. Transpl. Int. 2011, 24, 829–838. [Google Scholar] [CrossRef] [PubMed]
- Michallet, M.C.; Preville, X.; Flacher, M.; Fournel, S.; Genestier, L.; Revillard, J.P. Functional antibodies to leukocyte adhesion molecules in antithymocyte globulins. Transplantation 2003, 75, 657–662. [Google Scholar] [CrossRef]
- Lopez, M.; Clarkson, M.R.; Albin, M.; Sayegh, M.H.; Najafian, N. A novel mechanism of action for anti-thymocyte globulin: Induction of CD4+CD25+Foxp3+ regulatory T cells. J. Am. Soc. Nephrol 2006, 17, 2844–2853. [Google Scholar] [CrossRef]
- Beiras-Fernandez, A.; Chappell, D.; Hammer, C.; Thein, E. Influence of polyclonal anti-thymocyte globulins upon ischemia-reperfusion injury in a non-human primate model. Transpl. Immunol. 2006, 15, 273–279. [Google Scholar] [CrossRef] [PubMed]
- Watson, M.J.; Ke, B.; Shen, X.D.; Gao, F.; Busuttil, R.W.; Kupiec-Weglinski, J.W.; Farmer, D.G. Treatment with antithymocyte globulin ameliorates intestinal ischemia and reperfusion injury in mice. Surgery 2012, 152, 843–850. [Google Scholar] [CrossRef] [PubMed]
- Cicora, F.; Roberti, J.; Lausada, N.; Gonzalez, P.; Guerrieri, D.; Stringa, P.; Cicora, P.; Vasquez, D.; Gonzalez, I.; Palti, G.; et al. Donor preconditioning with rabbit anti-rat thymocyte immunoglobulin ameliorates ischemia reperfusion injury in rat kidney transplantation. Transpl. Immunol. 2012, 27, 1–7. [Google Scholar] [CrossRef] [PubMed]
- Stauch, D.; Yahyazadeh, A.; Bova, R.; Melloh, G.C.; Fuldner, A.; Baron, U.; Olek, S.; Goldner, K.; Weiss, S.; Pratschke, J.; et al. Induction of bona fide regulatory T cells after liver transplantation—the potential influence of polyclonal antithymocyte globulin. Transpl. Int. 2012, 25, 302–313. [Google Scholar] [CrossRef] [PubMed]
- Webster, A.C.; Wu, S.; Tallapragada, K.; Park, M.Y.; Chapman, J.R.; Carr, S.J. Polyclonal and monoclonal antibodies for treating acute rejection episodes in kidney transplant recipients. Cochrane Database Syst. Rev. 2017, 7, CD004756. [Google Scholar] [CrossRef] [PubMed]
- Zheng, J.; Song, W. Alemtuzumab versus antithymocyte globulin induction therapies in kidney transplantation patients: A systematic review and meta-analysis of randomized controlled trials. Medicine 2017, 96, e7151. [Google Scholar] [CrossRef] [PubMed]
- Hill, P.; Cross, N.B.; Barnett, A.N.; Palmer, S.C.; Webster, A.C. Polyclonal and monoclonal antibodies for induction therapy in kidney transplant recipients. Cochrane Database Syst. Rev. 2017, 1, CD004759. [Google Scholar] [CrossRef]
- Penninga, L.; Wettergren, A.; Wilson, C.H.; Chan, A.W.; Steinbruchel, D.A.; Gluud, C. Antibody induction versus placebo, no induction, or another type of antibody induction for liver transplant recipients. Cochrane Database Syst. Rev. 2014, CD010253. [Google Scholar] [CrossRef]
- Ritschl, P.V.; Gunther, J.; Hofhansel, L.; Kuhl, A.A.; Sattler, A.; Ernst, S.; Friedersdorff, F.; Ebner, S.; Weiss, S.; Bosmuller, C.; et al. Graft Pre-conditioning by Peri-Operative Perfusion of Kidney Allografts With Rabbit Anti-human T-lymphocyte Globulin Results in Improved Kidney Graft Function in the Early Post-transplantation Period-a Prospective, Randomized Placebo-Controlled Trial. Front. Immunol. 2018, 9, 1911. [Google Scholar] [CrossRef]
- Ritschl, P.V.; Ashraf, M.I.; Oberhuber, R.; Mellitzer, V.; Fabritius, C.; Resch, T.; Ebner, S.; Sauter, M.; Klingel, K.; Pratschke, J.; et al. Donor brain death leads to differential immune activation in solid organs but does not accelerate ischaemia-reperfusion injury. J. Pathol. 2016, 239, 84–96. [Google Scholar] [CrossRef] [PubMed]
- Linecker, M.; Krones, T.; Berg, T.; Niemann, C.U.; Steadman, R.H.; Dutkowski, P.; Clavien, P.A.; Busuttil, R.W.; Truog, R.D.; Petrowsky, H. Potentially inappropriate liver transplantation in the era of the "sickest first" policy—A search for the upper limits. J. Hepatol. 2018, 68, 798–813. [Google Scholar] [CrossRef]
- Reindl-Schwaighofer, R.; Kainz, A.; Jelencsics, K.; Heinzel, A.; Berlakovich, G.; Remport, A.; Heinze, G.; Langer, R.; Oberbauer, R. Steroid pretreatment of organ donors does not impact on early rejection and long-term kidney allograft survival: Results from a multicenter randomized, controlled trial. Am. J. Transplant. 2019, 19, 1770–1776. [Google Scholar] [CrossRef] [PubMed]
- Schnuelle, P.; Druschler, K.; Schmitt, W.H.; Benck, U.; Zeier, M.; Kramer, B.K.; Opelz, G. Donor organ intervention before kidney transplantation: Head-to-head comparison of therapeutic hypothermia, machine perfusion, and donor dopamine pretreatment. What is the evidence? Am. J. Transplant. 2019, 19, 975–983. [Google Scholar] [CrossRef]
- Schnuelle, P.; Gottmann, U.; Hoeger, S.; Boesebeck, D.; Lauchart, W.; Weiss, C.; Fischereder, M.; Jauch, K.W.; Heemann, U.; Zeier, M.; et al. Effects of donor pretreatment with dopamine on graft function after kidney transplantation: A randomized controlled trial. JAMA 2009, 302, 1067–1075. [Google Scholar] [CrossRef] [PubMed]
- Kotsch, K.; Ulrich, F.; Reutzel-Selke, A.; Pascher, A.; Faber, W.; Warnick, P.; Hoffman, S.; Francuski, M.; Kunert, C.; Kuecuek, O.; et al. Methylprednisolone therapy in deceased donors reduces inflammation in the donor liver and improves outcome after liver transplantation: A prospective randomized controlled trial. Ann. Surg. 2008, 248, 1042–1050. [Google Scholar] [CrossRef]
- Kainz, A.; Wilflingseder, J.; Mitterbauer, C.; Haller, M.; Burghuber, C.; Perco, P.; Langer, R.M.; Heinze, G.; Oberbauer, R. Steroid pretreatment of organ donors to prevent postischemic renal allograft failure: A randomized, controlled trial. Ann. Intern. Med. 2010, 153, 222–230. [Google Scholar] [CrossRef] [PubMed]
- Kron, P.; Schlegel, A.; Mancina, L.; Clavien, P.A.; Dutkowski, P. Hypothermic oxygenated perfusion (HOPE) for fatty liver grafts in rats and humans. J. Hepatol. 2017. [Google Scholar] [CrossRef] [PubMed]
- de Vries, R.J.; Tessier, S.N.; Banik, P.D.; Nagpal, S.; Cronin, S.E.J.; Ozer, S.; Hafiz, E.O.A.; van Gulik, T.M.; Yarmush, M.L.; Markmann, J.F.; et al. Supercooling extends preservation time of human livers. Nat. Biotechnol. 2019, 37, 1131–1136. [Google Scholar] [CrossRef]
- Carnevale, M.E.; Lausada, N.; Juan de Paz, L.; Stringa, P.; Machuca, M.; Rumbo, M.; Guibert, E.E.; Tiribelli, C.; Gondolesi, G.E.; Rodriguez, J.V. The Novel N,N-bis-2-Hydroxyethyl-2-Aminoethanesulfonic Acid-Gluconate-Polyethylene Glycol-Hypothermic Machine Perfusion Solution Improves Static Cold Storage and Reduces Ischemia/Reperfusion Injury in Rat Liver Transplant. Liver Transpl. 2019, 25, 1375–1386. [Google Scholar] [CrossRef]
- Mohty, M. Mechanisms of action of antithymocyte globulin: T-cell depletion and beyond. Leukemia 2007, 21, 1387–1394. [Google Scholar] [CrossRef]
- Wang, W.; Erbe, A.K.; Hank, J.A.; Morris, Z.S.; Sondel, P.M. NK Cell-Mediated Antibody-Dependent Cellular Cytotoxicity in Cancer Immunotherapy. Front. Immunol. 2015, 6, 368. [Google Scholar] [CrossRef]
- Lewis, G.K.; Ackerman, M.E.; Scarlatti, G.; Moog, C.; Robert-Guroff, M.; Kent, S.J.; Overbaugh, J.; Reeves, R.K.; Ferrari, G.; Thyagarajan, B. Knowns and Unknowns of Assaying Antibody-Dependent Cell-Mediated Cytotoxicity Against HIV-1. Front. Immunol. 2019, 10, 1025. [Google Scholar] [CrossRef] [PubMed]
- Lim, M.A.; Kohli, J.; Bloom, R.D. Immunosuppression for kidney transplantation: Where are we now and where are we going? Transplant. Rev. 2017, 31, 10–17. [Google Scholar] [CrossRef]
- Clavien, P.A.; Muller, X.; de Oliveira, M.L.; Dutkowski, P.; Sanchez-Fueyo, A. Can immunosuppression be stopped after liver transplantation? Lancet Gastroenterol. Hepatol. 2017, 2, 531–537. [Google Scholar] [CrossRef]
- Huang, H.; Lu, Y.; Zhou, T.; Gu, G.; Xia, Q. Innate Immune Cells in Immune Tolerance After Liver Transplantation. Front. Immunol. 2018, 9, 2401. [Google Scholar] [CrossRef]
- Adams, D.H.; Sanchez-Fueyo, A.; Samuel, D. From immunosuppression to tolerance. J. Hepatol 2015, 62, S170–S185. [Google Scholar] [CrossRef] [PubMed]
- Massart, A.; Pallier, A.; Pascual, J.; Viklicky, O.; Budde, K.; Spasovski, G.; Klinger, M.; Sever, M.S.; Sorensen, S.S.; Hadaya, K.; et al. The DESCARTES-Nantes survey of kidney transplant recipients displaying clinical operational tolerance identifies 35 new tolerant patients and 34 almost tolerant patients. Nephrol. Dial. Transplant. 2016, 31, 1002–1013. [Google Scholar] [CrossRef][Green Version]




| Variable | Total (n = 30) | ATLG-Perfused (n = 16) | Control-Perfused (n = 14) | p-Value # |
|---|---|---|---|---|
| Recipient age (years ± SD) * | 57 ± 10 | 55 ± 11 | 60 ± 8 | 0.113 |
| Recipient gender (females) | 5/30 | 4/16 | 1/14 | 0.336 |
| Recipient BMI (kg/m2 ± SD) * | 27 ± 5 | 25 ± 4 | 28 ± 5 | 0.078 |
| MELD (+ IQR) ** | 16 (8) | 17 (6) | 15 (9) | 0.355 |
| Cold ischemic time (hours + IQR) ** | 9 (2) | 9 (3) | 9 (2) | 0.24 |
| Warm ischemic time (min + IQR) ** | 57 (16) | 54 (19) | 58 (16) | 0.88 |
| Disease *** | ||||
| Non-alcoholic steatohepatitis | 14/30 (47%) | 9/16 (56%) | 5/14 (36%) | |
| Hepatocellular carcinoma | 8/30 (27%) | 4/16 (25%) | 4/14 (29%) | |
| Cryptogenic cirrhosis | 3/30 (10%) | 2/16 (13%) | 1/14 (7%) | |
| Primary biliary cirrhosis | 2/30 (7%) | 0/16 (0%) | 2/14 (14%) | |
| Primary sclerosing cholangitis | 1/30 (1%) | 0/16 (0%) | 1/14 (7%) | |
| Alcoholic liver disease | 1/30 (1%) | 0/16 (%) | 1/14 (7%) | |
| Hepatitis B | 1/30 (1%) | 1/16 (6%) | 0/14 (0%) | |
| Recipient ICU stay (days + IQR) ** | 5 (3) | 4 (3) | 5 (4) | 0.481 |
| Hospital stay (days + IQR) ** | 20 (8) | 21 (10) | 20 (9) | 0.473 |
| Death/ReTx (yes) | 6/30 | 3/16 | 3/14 | 0.642 |
| Donor age (years ± SD) * | 55 ± 17 | 60 ± 13 | 51 ± 21 | 0.203 |
| Donor BMI (kg/m2 ± SD) * | 27 ± 5 | 26 ± 4 | 27 ± 5 | 0.69 |
| Variable | Total (n = 30) | ATLG-Perfused (n = 16) | Control-Perfused (n = 14) | p-Value # |
|---|---|---|---|---|
| Surgical events *** | ||||
| Anastomotic biliary strictures | 3/30 (10%) | 2/16 (13%) | 1/14 (7%) | 0.626 |
| Bile leak | 4/30 (13%) | 2/16 (13%) | 2/14 (14%) | 0.886 |
| Bleeding | 2/30 (7%) | 0/16 (0%) | 2/14 (14%) | 0.118 |
| Infections *** | ||||
| CMV reactivation or infection | 5/30 (17%) | 3/16 (19%) | 2/14 (14%) | 0.743 |
| Sepsis and MOF | 4/30 (13%) | 2/16 (13%) | 2/14 (14%) | 0.886 |
| Aspergillom | 1/30 (3%) | 0/16 (0%) | 1/14 (7%) | 0.277 |
| Intracerebral abscess | 1/30 (3%) | 0/16 (0%) | 1/14 (7%) | 0.277 |
| Others *** | ||||
| Rejection | 4/30 (10%) | 1/16 (6%) | 3/14 (21%) | 0.222 |
| Non-anastomotic biliary strictures | 3/30 (10%) | 3/16 (19%) | 0/14 (0%) | 0.088 |
| Other bilary complications | 1/30 (3%) | 1/16 (6%) | 0/14 (0%) | 0.341 |
Publisher’s Note: MDPI stays neutral with regard to jurisdictional claims in published maps and institutional affiliations. |
© 2021 by the authors. Licensee MDPI, Basel, Switzerland. This article is an open access article distributed under the terms and conditions of the Creative Commons Attribution (CC BY) license (https://creativecommons.org/licenses/by/4.0/).
Share and Cite
Ritschl, P.V.; Günther, J.; Hofhansel, L.; Ernst, S.; Ebner, S.; Sattler, A.; Weiß, S.; Weissenbacher, A.; Oberhuber, R.; Cardini, B.; et al. Perioperative Perfusion of Allografts with Anti-Human T-lymphocyte Globulin Does Not Improve Outcome Post Liver Transplantation—A Randomized Placebo-Controlled Trial. J. Clin. Med. 2021, 10, 2816. https://doi.org/10.3390/jcm10132816
Ritschl PV, Günther J, Hofhansel L, Ernst S, Ebner S, Sattler A, Weiß S, Weissenbacher A, Oberhuber R, Cardini B, et al. Perioperative Perfusion of Allografts with Anti-Human T-lymphocyte Globulin Does Not Improve Outcome Post Liver Transplantation—A Randomized Placebo-Controlled Trial. Journal of Clinical Medicine. 2021; 10(13):2816. https://doi.org/10.3390/jcm10132816
Chicago/Turabian StyleRitschl, Paul Viktor, Julia Günther, Lena Hofhansel, Stefanie Ernst, Susanne Ebner, Arne Sattler, Sascha Weiß, Annemarie Weissenbacher, Rupert Oberhuber, Benno Cardini, and et al. 2021. "Perioperative Perfusion of Allografts with Anti-Human T-lymphocyte Globulin Does Not Improve Outcome Post Liver Transplantation—A Randomized Placebo-Controlled Trial" Journal of Clinical Medicine 10, no. 13: 2816. https://doi.org/10.3390/jcm10132816
APA StyleRitschl, P. V., Günther, J., Hofhansel, L., Ernst, S., Ebner, S., Sattler, A., Weiß, S., Weissenbacher, A., Oberhuber, R., Cardini, B., Öllinger, R., Biebl, M., Denecke, C., Margreiter, C., Resch, T., Schneeberger, S., Maglione, M., Kotsch, K., & Pratschke, J. (2021). Perioperative Perfusion of Allografts with Anti-Human T-lymphocyte Globulin Does Not Improve Outcome Post Liver Transplantation—A Randomized Placebo-Controlled Trial. Journal of Clinical Medicine, 10(13), 2816. https://doi.org/10.3390/jcm10132816

