Sex Differences in Characteristics and Outcomes among Low-Risk Non-ST-Elevation Acute Coronary Syndrome Patients during Long Term Follow-Up
Abstract
1. Introduction
2. Materials and Methods
2.1. Ethical and Institutional Considerations
2.2. Subjects and Study Design
2.3. Clinical Assessment
2.4. Treatment Strategies
2.5. Aims and Outcomes
2.6. Statistical Analysis
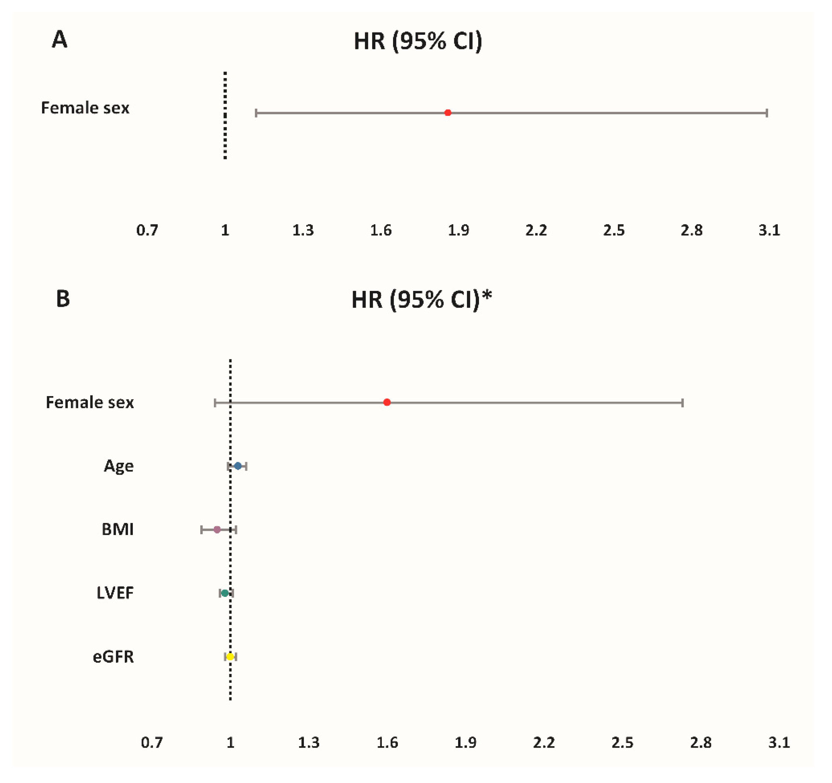
3. Results
4. Discussion
5. Conclusions
Supplementary Materials
Author Contributions
Funding
Institutional Review Board Statement
Informed Consent Statement
Data Availability Statement
Conflicts of Interest
References
- Collet, J.P.; Thiele, H.; Barbato, E.; Barthélémy, O.; Bauersachs, J.; Bhatt, D.L.; Dendale, P.; Dorobantu, M.; Edvardsen, T.; Folliguet, T.; et al. 2020 ESC Guidelines for the management of acute coronary syndromes in patients presenting without persistent ST-segment elevation. Eur. Heart J. 2021, 42, 1289–1367. [Google Scholar] [CrossRef]
- Puymirat, E.; Simon, T.; Cayla, G.; Cottin, Y.; Elbaz, M.; Coste, P.; Lemesle, G.; Motreff, P.; Popovic, B.; Khalife, K.; et al. Acute Myocardial Infarction: Changes in Patient Characteristics, Management, and 6-Month Outcomes Over a Period of 20 Years in the FAST-MI Program (French Registry of Acute ST-Elevation or Non-ST-Elevation Myocardial Infarction) 1995 to 2015. Circulation 2017, 136, 1908–1919. [Google Scholar] [CrossRef]
- Turpie, A.G. Burden of disease: Medical and economic impact of acute coronary syndromes. Am. J. Manag. Care 2006, 12, S430–S434. [Google Scholar]
- Dillinger, J.G.; Ducrocq, G.; Elbez, Y.; Cohen, M.; Bode, C.; Pollack, C., Jr.; Petrauskiene, B.; Henry, P.; Dorobantu, M.; French, W.J.; et al. Sex Differences in Ischemic and Bleeding Outcomes in Patients With Non-ST-Segment-Elevation Acute Coronary Syndrome Undergoing Percutaneous Coronary Intervention: Insights From the TAO Trial. Circ. Cardiovasc. Interv. 2021, 14, e009759. [Google Scholar] [CrossRef]
- Álvarez, B.Á.; Casas, C.A.J.; Bermejo, R.A.; Cordero, A.; Álvarez, A.B.C.; Mañero, M.R.; Cruz, N.B.; Acuña, J.M.G.; Barreiro, A.S.; González-Juanatey, J.R. Sex-related differences in long-term mortality and heart failure in a contemporary cohort of patients with NSTEACS. The cardiochus-HSUJ registry. Eur. J. Int. Med. 2020, 81, 26–31. [Google Scholar] [CrossRef]
- Kumbhani, D.J.; Shishehbor, M.H.; Willis, J.M.; Karim, S.; Singh, D.; Bavry, A.A.; Zishiri, E.; Ellis, S.G.; Menon, V. Influence of gender on long-term mortality in patients presenting with non-ST-elevation acute coronary syndromes undergoing percutaneous coronary intervention. Am. J. Cardiol. 2012, 109, 1087–1091. [Google Scholar] [CrossRef]
- Alfredsson, J.; Sederholm-Lawesson, S.; Stenestrand, U.; Swahn, E. Although women are less likely to be admitted to coronary care units, they are treated equally to men and have better outcome. A prospective cohort study in patients with non ST-elevation acute coronary syndromes. Acute Card. Care 2009, 11, 173–180. [Google Scholar] [CrossRef]
- Reckelhoff, J.F.; Samson, W.K. Sex and gender differences in cardiovascular, renal and metabolic diseases. American journal of physiology. Regul. Integr. Comp. Physiol. 2015, 309, R1057–R1059. [Google Scholar] [CrossRef] [PubMed]
- Bairey Merz, C.N.; Shaw, L.J.; Reis, S.E.; Bittner, V.; Kelsey, S.F.; Olson, M.; Johnson, B.D.; Pepine, C.J.; Mankad, S.; Sharaf, B.L.; et al. Insights From the NHLBI-Sponsored Women’s Ischemia Syndrome Evaluation (WISE) Study: Part II: Gender Differences in Presentation, Diagnosis, and Outcome With Regard to Gender-Based Pathophysiology of Atherosclerosis and Macrovascular and Microvascular Coronary Disease. J. Am. Coll. Cardiol. 2006, 47, S21–S29. [Google Scholar] [CrossRef]
- Langabeer, J.R., 2nd; Champagne-Langabeer, T.; Fowler, R.; Henry, T. Gender-based outcome differences for emergency department presentation ofnon-STEMI acute coronary syndrome. Am. J. Emerg. Med. 2019, 37, 179–182. [Google Scholar] [CrossRef] [PubMed]
- Eggers, K.M.; Johnston, N.; James, S.; Lindahl, B.; Venge, P. Cardiac troponin I levels in patients with non-ST-elevation acute coronary syndrome-the importance of gender. Am. Heart J. 2014, 168, 317–324.e1. [Google Scholar] [CrossRef] [PubMed]
- De Carlo, M.; Morici, N.; Savonitto, S.; Grassia, V.; Sbarzaglia, P.; Tamburrini, P.; Cavallini, C.; Galvani, M.; Ortolani, P.; De Servi, S.; et al. Sex-Related Outcomes in Elderly Patients Presenting With Non-ST-Segment Elevation Acute Coronary Syndrome: Insights From the Italian Elderly ACS Study. JACC Cardiovasc. Interv. 2015, 8, 791–796. [Google Scholar] [CrossRef] [PubMed]
- Kristić, I.; Crnčević, N.; Runjić, F.; Čapkun, V.; Polašek, O.; Matetic, A.; Vrsalovic, M. ACEF performed better than other risk scores in non-ST-elevation acute coronary syndrome during long term follow-up. BMC Cardiovasc. Disord. 2021, 21, 70. [Google Scholar] [CrossRef] [PubMed]
- Amsterdam, E.A.; Wenger, N.K.; Brindis, R.G.; Casey, D.E.; Ganiats, T.G.; Holmes, D.R.; Jaffe, A.S.; Jneid, H.; Kelly, R.F.; Kontos, M.C.; et al. 2014 AHA/ACC Guideline for the Management of Patients With Non–ST-Elevation Acute Coronary Syndromes. J. Am. Coll. Cardiol. 2014, 64, e139. [Google Scholar] [CrossRef]
- Sarma, A.A.; Braunwald, E.; Cannon, C.P.; Guo, J.; Im, K.; Antman, E.M.; Gibson, C.M.; Newby, L.K.; Giugliano, R.P.; Morrow, D.A.; et al. Outcomes of Women Compared With Men After Non-ST-Segment Elevation Acute Coronary Syndromes. J. Am. Coll. Cardiol. 2019, 74, 3013–3022. [Google Scholar] [CrossRef]
- Wang, Y.; Zhu, S.; Du, R.; Zhou, J.; Chen, Y.; Zhang, Q. Impact of gender on short-term and long-term all-cause mortality in patients with non-ST-segment elevation acute coronary syndromes: A meta-analysis. Intern. Emerg. Med. 2018, 13, 273–285. [Google Scholar] [CrossRef] [PubMed]
- Song, X.T.; Chen, Y.D.; Pan, W.Q.; Lü, S.Z. Gender based differences in patients with acute coronary syndrome: Findings from Chinese Registry of Acute Coronary Events (CRACE). Chin. Med. J. 2007, 120, 1063–1067. [Google Scholar] [CrossRef] [PubMed]
- Yu, J.; Baber, U.; Mastoris, I.; Dangas, G.; Sartori, S.; Steg, P.G.; Cohen, D.J.; Giustino, G.; Chandrasekhar, J.; Ariti, C.; et al. Sex-Based Differences in Cessation of Dual-Antiplatelet Therapy Following Percutaneous Coronary Intervention With Stents. JACC Cardiovasc. Interv. 2016, 9, 1461–1469. [Google Scholar] [CrossRef]
- Daniel, H.; Christian, W.; Robin, H.; Lars, S.; Thomas, M. Statin treatment after acute coronary syndrome: Adherence and reasons for non-adherence in a randomized controlled intervention trial. Sci. Rep. 2019, 9, 12079. [Google Scholar] [CrossRef]
- Oosenbrug, E.; Marinho, R.P.; Zhang, J.; Marzolini, S.; Colella, T.J.; Pakosh, M.; Grace, S.L. Sex Differences in Cardiac Rehabilitation Adherence: A Meta-analysis. Can. J. Cardiol. 2016, 32, 1316–1324. [Google Scholar] [CrossRef]
- Bavry, A.A.; Elgendy, I.Y.; Mahmoud, A.; Jadhav, M.P.; Huo, T.; Limacher, M.C.; Pepine, C.J. Safety of Routine Invasive Versus Selective Invasive Therapy in Women with Non-ST-Elevation Acute Coronary Syndrome. Cardiol. Ther. 2016, 5, 43–50. [Google Scholar] [CrossRef][Green Version]
- Numasawa, Y.; Inohara, T.; Ishii, H.; Kuno, T.; Kodaira, M.; Kohsaka, S.; Fujii, K.; Uemura, S.; Amano, T.; Kadota, K.; et al. Comparison of Outcomes of Women Versus Men With Non-ST-elevation Acute Coronary Syndromes Undergoing Percutaneous Coronary Intervention (from the Japanese Nationwide Registry). Am. J. Cardiol. 2017, 119, 826–831. [Google Scholar] [CrossRef] [PubMed]
- Vogel, B.; Farhan, S.; Hahne, S.; Kozanli, I.; Kalla, K.; Freynhofer, M.K.; Jarai, R.; Kautzky-Willer, A.; Huber, K. Sex-related differences in baseline characteristics, management and outcome in patients with acute coronary syndrome without ST-segment elevation. European heart journal. Acute Cardiovasc. Care 2016, 5, 347–353. [Google Scholar] [CrossRef] [PubMed]
- Rashid, M.; Fischman, D.L.; Gulati, M.; Tamman, K.; Potts, J.; Kwok, C.S.; Ensor, J.; Shoaib, A.; Mansour, H.; Zaman, A.; et al. Temporal trends and inequalities in coronary angiography utilization in the management of non-ST-Elevation acute coronary syndromes in the U.S. Sci. Rep. 2019, 9, 240. [Google Scholar] [CrossRef]
- Bosch, X.; Casanovas, N.; Miranda-Guardiola, F.; Díez-Aja, S.; Sitges, M.; Anguera, I.; Sanz, G.; Betriu, A. Long-term prognosis of women with non-ST-segment elevation acute coronary syndromes. a case-control study. Rev. Esp. Cardiol. 2002, 55, 1235–1242. [Google Scholar] [CrossRef]
- Al Halabi, S.; Burke, L.; Hussain, F.; Lopez, J.; Mathew, V.; Bernat, I.; Shroff, A. Radial Versus Femoral Approach in Women Undergoing Coronary Angiography: A Meta-Analysis of Randomized Controlled Trials. J. Invasive Cardiol. 2019, 31, 335–340. [Google Scholar]
- Matetic, A.; Bharadwaj, A.; Mohamed, M.O.; Chugh, Y.; Chugh, S.; Minissian, M.; Amin, A.; Van Spall, H.; Fischman, D.L.; Savage, M.; et al. Socioeconomic Status and Differences in the Management and Outcomes of 6.6 Million US Patients with Acute Myocardial Infarction. Am. J. Cardiol. 2020, 129, 10–18. [Google Scholar] [CrossRef] [PubMed]





| Variables | Sex | p Value | |
|---|---|---|---|
| Female (n = 71) | Male (n = 205) | ||
| Age (years) | 69.0 (60.0–75.0) | 63.0 (55.0–73.0) | 0.008 * |
| BMI (kg/m2) | 26.3 (23.9–29.4) | 28.2 (26.1–30.9) | <0.001 * |
| NSTE-ACS subtype | 0.444 † | ||
| NSTEMI | 61 (85.9%) | 168 (82.0%) | |
| UA | 10 (14.1%) | 37 (18.0%) | |
| Comorbidities | |||
| Arterial hypertension | 50 (70.4%) | 127 (62.0%) | 0.200 † |
| Diabetes mellitus | 22 (31.0%) | 61 (29.8%) | 0.846 † |
| Hyperlipidemia | 40 (56.3%) | 98 (47.8%) | 0.215 † |
| Chronic kidney disease | 4 (5.6%) | 8 (3.9%) | 0.538 † |
| Family history of CV disease | 21 (29.6%) | 80 (39.0%) | 0.154 † |
| Active smoking | 27 (37.1%) | 88 (42.9%) | 0.481 † |
| Atrial fibrillation | 8 (11.3%) | 18 (8.8%) | 0.536 † |
| Prior MI | 8 (11.4%) | 22 (10.7%) | 0.872 † |
| Prior PCI | 8 (11.3%) | 15 (7.3%) | 0.299 † |
| Prior CVI | 5 (7.0%) | 7 (3.4%) | 0.196 † |
| Prior AAA | 1 (1.4%) | 9 (4.4%) | 0.496 † |
| COPD | 3 (4.2%) | 30 (14.6%) | 0.053 † |
| Anemia | 12 (16.9%) | 25 (12.2%) | 0.316 † |
| Laboratory parameters | |||
| Red blood cells | 4.46 ± 0.42 | 4.81 ± 0.70 | <0.001 ‡ |
| Hgb (g/L) | 132.13 ± 13.39 | 144.39 ± 14.86 | <0.001 ‡ |
| RDW | 13.94 ± 2.26 | 14.06 ± 5.78 | 0.873 ‡ |
| Platelets | 255.13 ± 68.14 | 224.03 ± 58.73 | <0.001 ‡ |
| White blood cells | 9.28 ± 2.60 | 9.64 ± 2.90 | 0.355 ‡ |
| Glucose (mmol/L) | 8.29 ± 3.03 | 8.96 ± 7.11 | 0.440 ‡ |
| CRP (mmol/L) | 11.25 ± 20.37 | 21.89 ± 47.40 | 0.151 ‡ |
| eGFR (mL/min) | 76.44 ± 22.43 | 94.04 ± 27.91 | <0.001 ‡ |
| Echocardiography | |||
| LVEF (%) | 60.38 ± 10.12 | 57.76 ± 10.10 | 0.060 ‡ |
| Left atrial diameter | 3.90 ± 1.00 | 4.26 ± 0.76 | 0.006 ‡ |
| ECG changes | 0.998 † | ||
| T-wave changes | 37 (52.9%) | 108 (53.2%) | |
| ST depression | 21 (30.0%) | 60 (29.6%) | |
| Risk scores | |||
| GRACE 2.0 score | 103.99 ± 28.65 | 99.39 ± 26.63 | 0.220 ‡ |
| TIMI score | 2.58 ± 0.72 | 2.40 ± 0.94 | 0.149 ‡ |
| Killip class > 1 | 10 (14.1%) | 17 (8.3%) | 0.236 † |
| Follow-up (months) | 30.1 (19.6–40.3) | 33.1 (26.1–42.8) | 0.083 * |
| Variables | Sex | p Value | |
|---|---|---|---|
| Female (n = 71) | Male (n = 205) | ||
| Access site | 0.129 * | ||
| Radial | 63 (88.7%) | 193 (94.1%) | |
| Femoral | 8 (11.3%) | 12 (5.9%) | |
| Treatments | 0.271 * | ||
| Conservative | 21 (29.6%) | 42 (20.5%) | |
| PCI | 27 (38.0%) | 83 (40.5%) | |
| CABG | 23 (32.4%) | 80 (39.0%) | |
| Coronary angiogram | |||
| Left main disease | 10 (14.1%) | 22 (10.7%) | 0.447 * |
| Single-vessel disease | 38 (53.6%) | 83 (40.5%) | 0.258 * |
| Two-vessel disease | 16 (22.5%) | 40 (19.5%) | 0.585 * |
| Three-vessel disease | 17 (23.9%) | 82 (40.0%) | 0.177 * |
| Culprit artery | 0.063 * | ||
| Left main | 10 (14.1%) | 22 (10.7%) | |
| Left anterior descending | 29 (40.8%) | 87 (42.4%) | |
| Circumflex | 13 (18.3%) | 46 (22.4%) | |
| Right coronary | 19 (26.8%) | 50 (24.4%) | |
| Bifurcation lesion | 13 (18.3%) | 25 (12.2%) | 0.197 * |
| Coronary calcification | 3 (4.2%) | 18 (8.8%) | 0.212 * |
| Discharge therapy | |||
| Beta blockers | 57 (80.3%) | 143 (69.8%) | 0.087 * |
| ACE-I/ARB | 46 (64.8%) | 130 (63.4%) | 0.836 * |
| ASA | 66 (93.0%) | 193 (94.1%) | 0.720 * |
| P2Y12 inhibitors | 56 (78.9%) | 176 (85.9%) | 0.166 * |
| Statins | 63 (88.7%) | 189 (92.2%) | 0.372 * |
| Calcium channel blockers | 12 (16.9%) | 23 (11.3%) | 0.220 * |
| Variables | Sex | p Value | |
|---|---|---|---|
| Female (n = 37) | Male (n = 37) | ||
| Age (years) | 69.0 (60.0–75.0) | 63.0 (55.0–73.0) | 0.673 * |
| BMI (kg/m2) | 26.3 (23.9–29.4) | 28.2 (26.1–30.9) | 0.804 * |
| eGFR (mL/min) | 76.44 ± 22.43 | 94.04 ± 27.91 | 0.970 * |
| Comorbidities | |||
| Arterial hypertension | 24 (64.9%) | 27 (73.0%) | 0.451 † |
| Diabetes mellitus | 13 (35.1%) | 12 (32.4%) | 0.806 † |
| Hyperlipidemia | 17 (45.9%) | 23 (62.2%) | 0.162 † |
| Active smoking | 6 (16.2%) | 10 (27.0%) | 0.733 † |
| Atrial fibrillation | 3 (8.1%) | 3 (8.1%) | 1.000 ‡ |
| Anemia | 3 (8.1%) | 7 (18.9%) | 0.174 ‡ |
Publisher’s Note: MDPI stays neutral with regard to jurisdictional claims in published maps and institutional affiliations. |
© 2021 by the authors. Licensee MDPI, Basel, Switzerland. This article is an open access article distributed under the terms and conditions of the Creative Commons Attribution (CC BY) license (https://creativecommons.org/licenses/by/4.0/).
Share and Cite
Kristić, I.; Matetic, A.; Crnčević, N.; Runjić, F.; Polašek, O.; Vrsalovic, M. Sex Differences in Characteristics and Outcomes among Low-Risk Non-ST-Elevation Acute Coronary Syndrome Patients during Long Term Follow-Up. J. Clin. Med. 2021, 10, 2802. https://doi.org/10.3390/jcm10132802
Kristić I, Matetic A, Crnčević N, Runjić F, Polašek O, Vrsalovic M. Sex Differences in Characteristics and Outcomes among Low-Risk Non-ST-Elevation Acute Coronary Syndrome Patients during Long Term Follow-Up. Journal of Clinical Medicine. 2021; 10(13):2802. https://doi.org/10.3390/jcm10132802
Chicago/Turabian StyleKristić, Ivica, Andrija Matetic, Nikola Crnčević, Frane Runjić, Ozren Polašek, and Mislav Vrsalovic. 2021. "Sex Differences in Characteristics and Outcomes among Low-Risk Non-ST-Elevation Acute Coronary Syndrome Patients during Long Term Follow-Up" Journal of Clinical Medicine 10, no. 13: 2802. https://doi.org/10.3390/jcm10132802
APA StyleKristić, I., Matetic, A., Crnčević, N., Runjić, F., Polašek, O., & Vrsalovic, M. (2021). Sex Differences in Characteristics and Outcomes among Low-Risk Non-ST-Elevation Acute Coronary Syndrome Patients during Long Term Follow-Up. Journal of Clinical Medicine, 10(13), 2802. https://doi.org/10.3390/jcm10132802

