Abstract
Ion-exchange membranes (IEMs) find more and more applications; the success of an application depends on the properties of the membranes selected for its realization. For the first time, the results of a comprehensive characterization of the transport properties of IEMs from three manufactures (Astom, Japan; Shchekinoazot, Russia; and Fujifilm, The Netherlands) are reported. Our own and literature data are presented and analyzed using the microheterogeneous model. Homogeneous Neosepta AMX and CMX (Astom), heterogeneous MA-41 and MK-40 (Shchekinoazot), and AEM Type-I, AEM Type-II, AEM Type-X, as well as CEM Type-I, CEM Type-II, and CEM Type-X produced by the electrospinning method (Fujifim) were studied. The concentration dependencies of the conductivity, diffusion permeability, as well as the real and apparent ion transport numbers in these membranes were measured. The counterion transport number characterizing the membrane permselectivity increases in the following order: CEM Type-I ≅ MA-41 < AEM Type-I < MK-40 < CMX ≅ CEM Type-II ≅ CEM Type-X ≅ AEM Type-II < AMX < AEM Type-X. It is shown that the properties of the AEM Type-I and CEM Type-I membranes are close to those of the heterogeneous MA-41 and MK-40 membranes, while the properties of Fujifilm Type-II and Type-X membranes are close to those of the homogeneous AMX and CMX membranes. This difference is related to the fact that the Type-I membranes have a relatively high parameter f2, the volume fraction of the electroneutral solution filling the intergel spaces. This high value is apparently due to the open-ended pores, formed by the reinforcing fabric filaments of the Type-I membranes, which protrude above the surface of these membranes.
1. Introduction
In recent years, the fields of application of electrodialysis (ED), dialysis, and other processes with ion-exchange membranes (IEM) have expanded rapidly. In these fields, the environmentally friendly membrane technologies actively replace traditional chemical and physico-chemical methods of purification, concentration, conditioning, and separation of substances [1,2,3]. These applications include wastewater treatment [4], the extraction of antioxidants from wine-making waste or the increase in their concentration in fruit juices [5], as well as the recovery of dietary supplements and valuable medicinal products from wastes of agricultural products processing [6,7].
It is known that IEMs are the most expensive part of ED devices. Their contribution to the total cost of the process can reach 40–50% [8]. Therefore, the degree of implementation of technologies that use ion-exchange membranes is generally determined by IEM transport properties and cost.
Until recently, the structure of membranes mainly used in commercial applications could be reduced to two main types: (1) homogeneous at the nanoscale level (up to 100 nm) single-phase IEMs (Nafion, DuPont Co., Wilmington, CA, USA; MF-4SK, JSC NPO Plastpolymer, Saint Petersburg, Russia; and others) or two-phase IEMs (Neosepta AMX, CMX, Astom, Tokyo, Japan; CJMC-3, CJMA-7, Hefei ChemJoy Polymer Materials, Hefei, China; and others), which are traditionally called “homogeneous”; and (2) heterogeneous IEMs, which consist of micrometer (from 5 to 50 microns) ion-exchange polymer granules incorporated into an inert binder (MK-40, MA-40, Shchekinoazot, Russia; Ralex MH-PES, MEGA a.s., Czech Republic; FTAM-E, FTAM-A, FuMA-Tech GmbH, Ludwigsburg, Germany) [1,9,10].
To increase the mechanical strength of IEM, they are usually reinforced with nets or fabrics made of various polymers (capron, polyester, polyvinyl chloride, etc.). Several years ago, in the framework of the European project “Blue Energy”, Fujifilm (the Netherlands) set up an industrial production of fundamentally new IEMs [11,12]. The basis of these membranes is a three-dimensional structure of nanofibers made using the electrospinning method [13,14]. We denote these membranes by the term “electro-spun nanofiber ion exchange membranes”, EN-IEMs. These fibers, whose diameter ranges from 40 nm to 25 μm, simultaneously play the role of an inert filler and a reinforcing material. The space between the fibers is filled with a homogeneous ion-exchange aliphatic polymer. Note that the original ion-exchange membranes manufactured using the electrospinning method were used to produce electricity by the reverse electrodialysis method. An overview of these works can be found in [15,16,17]. The developers mainly sought to provide low electrical resistance while maintaining the high mechanical strength of the new membranes. Recently, a number of attempts have been made to apply EN-IEMs in fuel cells [18], to obtain ultrapure water [19], to remove fluoride and arsenic ions from natural waters [20], and others.
Especially attractive is their use in the processing of liquid media of the food and pharmaceutical industries, where the main priorities are the energy costs, the ability of membranes to transfer not only small mineral ions (Na+, Cl–), but also high-molecular compounds (polyphenols, amino acids, peptides, polysaccharides, and others), as well as their resistance to fouling by aromatic compounds [21,22,23]. However, the widespread introduction of relatively cheap membranes of this type is hampered by the lack of knowledge about transport characteristics of membranes manufactured by Fujifilm or experimental membranes, which have a similar structure [24,25]. To the best of our knowledge, the existing research is mainly devoted to the study of electric conductivity [26,27], the search for methods of the EN-IEM surface modification to control sedimentation [28], or to increase their specific selectivity to a specific type of counter-ions [29,30,31].
For example, in studies [26,27] it was shown that the electric conductivity of these membranes increases with an increase in their exchange capacity and decreases with an increase in the ionic strength of the external solution. The authors explain the last effect [27] by narrowing the conductive channels as a result of a decrease in the water content of the membranes.
The purpose of current work is a comprehensive study of the structural and transport characteristics (electric conductivity, diffusion permeability, transport numbers of co-ions and counterions) of three cation-exchange and three anion-exchange membranes manufactured by Fujifilm using the method of electrospinning. We will compare these data with the characteristics of known homogeneous and heterogeneous membranes and assess the prospects for using EN-IEMs in dialysis and electrodialysis processes.
2. Objects and Methods of Study
2.1. Membranes
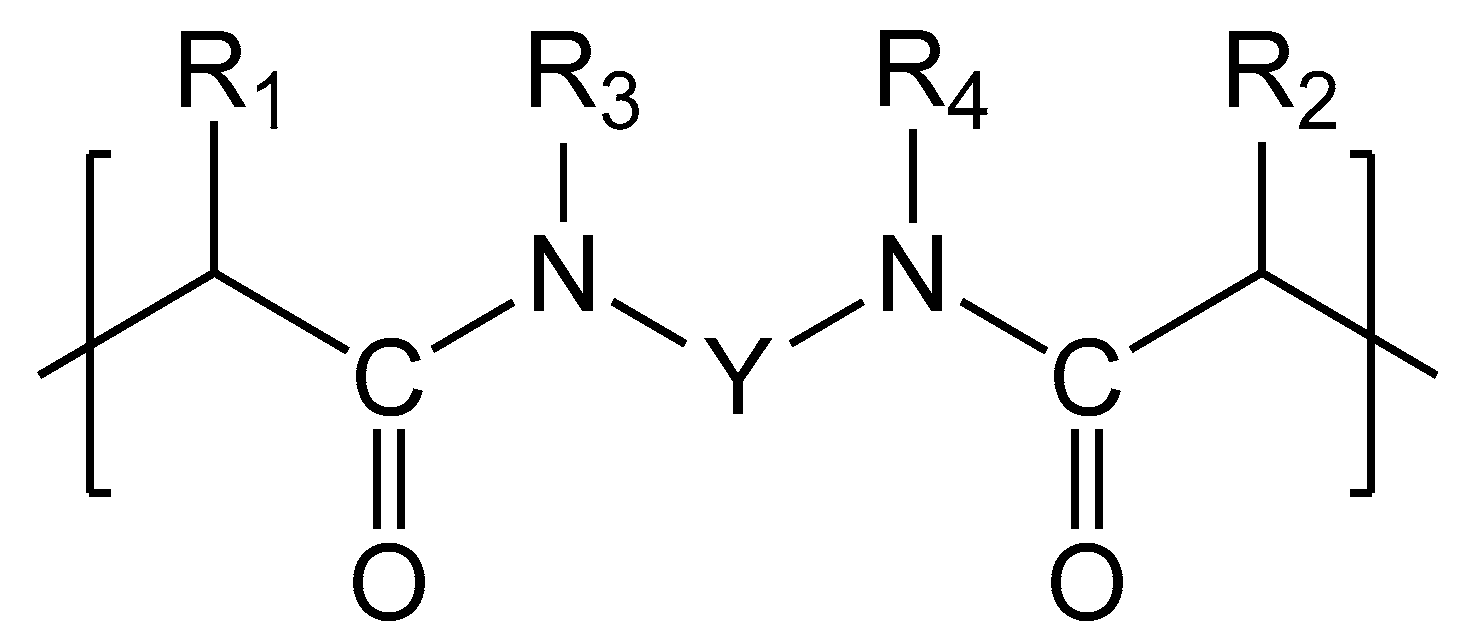
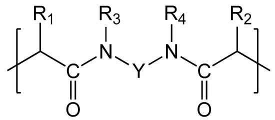
Anion-exchange (АЕМ Type-I, AEM Type-II, AEM Type-Х) and cation-exchange (CEM Type-I, CEM Type-II, CEM Type-Х) membranes manufactured by Fujifilm (Tilburg, The Netherlands) were studied. The Fujifilm homogeneous membranes are based on a three-dimensional structure (substrate) of inert polyolefin fibers [12], which were obtained by electrospinning method [14]. The formation of fine fibers is carried out from a polymer solution in an organic solvent under the action of electric field of high strength. This solution is fed from the capillary needle and is accompanied by evaporation of the solvent. The thickness of the fibers is varied using different concentrations of polymer, the solution feed rate and the electric field strength [32,33,34]. The aerogel formed by the fibers is pressed to a predetermined thickness. The space between the fibers is filled with aliphatic polyamide, PA [23,26,35] functionalized by quaternary ammonium bases, –(CH3)3N+, in the case of anion-exchange membranes (AEMs) [36] or sulfo groups, –SO3−, in the case of cation-exchange membranes (CEMs) [36]. The chemical structure of cation-exchange and anion-exchange EN-IEM is shown in Figure 1.
Figure 1.
Chemical structure of cation- and anion-exchange EN-IEMs: R1 and R2 are each independently H or methyl; R3 and R4 are each independently H or alkyl, or R3 and R4 together with the N atoms to which they are attached, and Y form an optionally substituted 6- or 7-membered ring; Y is an optionally substituted and optionally interrupted alkylene or arylene group; provided that the structural unit has 1, 2, 3, or 4 sulphonic acid (CEM) or quaternary ammonium (AEM) groups.
Homogenous membranes AMX and СМХ (produced by Astom, Tokuyama Soda, Japan) are made by the “paste method” [37,38]. Initially, the paste contains styrene monomer with functional groups (which are subsequently grafted with ion-exchange groups), divinylbenzene (45–65%) as a crosslinking agent, a radical polymerization initiator and powdered polyvinyl chloride (45–55%). The paste is deposited on the reinforcing polyvinyl chloride fabric. The copolymerization is carried out before the sulfonation (CEM) or amination (AEM). According to [39] such membranes consist of two interpenetrating phases: ion exchange material and polyvinyl chloride, PVC, having a particle diameter of 100 nm or less. The structural inhomogeneities in the membrane volume does not exceed 1 micron [40]. An exception is the reinforcing fabric having fibers of 25–30 µm in diameter.
Heterogeneous membranes MA-41 and MK-40 (manufactured by JSC Shchekinoazot) are made by hot rolling of low-pressure polyethylene, PE (used as a binder), with AV-17 and KU-2 ion-exchange resin powders, respectively. The size of polyethylene and ion-exchange resin particles is in the range from 5 to 50 microns. Reinforcing nylon mesh (where the diameter of filaments is of 30–50 microns) is introduced by hot pressing [41].
Summation of basic materials and membrane manufacturing methods are presented in Table 1. Some of the characteristics of the swollen membranes are presented in Table 2.
Table 1.
Summation of basic materials and membrane manufacturing methods.
Table 2.
Some of the characteristics of the membranes under study. Our data are given without reference.
2.2. Reagents
In experiments we use: distilled water (electric conductivity of 1.1 ± 0.1 μS cm−1; pH = 5.5; 25 °С), solid NaCl of the analytical grade (JSC Vecton), as well as natural dye—anthocyanin (Frutarom Etol d.o.o., Škofja Vas, Slovenia).
2.3. Methods of Membrane Characterization
Before conducting measurements, all membrane samples underwent standard salt preparation in NaCl solutions [9].
The total exchange capacity (Qsw) is determined by the static acid-basic method [60], described in detail in Supplementary Materials.
Water content (W, %) of the membranes is determined as the mass ratio of water to swollen (sw) membrane by the gravimetric method, described in detail in Supplementary Materials.
The specific water-absorbing capacity (the number of moles of water per one mole of the fixed groups of the swollen membrane, nw) was determined by the formula:
where is the molar mass of water, equal to 18 g/mol; Q is the membrane exchange capacity, mol/gw.
The thickness of the swollen membrane (d, μm) was controlled by a high-precision digital micrometer MKC-25 0.001 with an accuracy of 1 μm and with an error of 0.1 μm. The membrane thickness was obtained by averaging the results of 10 measurements made at various points of the sample under study.
The water contact angles of the swollen membrane surface were determined by the method of a resting drop described in [61]. The distilled water served as a test liquid. The water contact angles were recorded in 20 s after the test drop touches the rough surface of the membranes.
Visualization of the surface and volume of swollen IEM was carried out using an SOPTOP CX40M optical microscope (China) equipped with a digital eyepiece USB camera (5×, 10×, 20×, and 50× magnification). In order to increase the image contrast, Fujifilm membranes were placed in a solution containing a high molecular weight dye (anthocyanin) for 24 h before the measurements.
The morphology and chemical composition of the air-dry IEM surface was studied using the AFM method in “contact” mode (JEOL 5400 microscope, Tokyo, Japan, JEOL 5400 software), as well as using a scanning electron microscope (MERLIN™, Carl Zeiss Microscopy GmbH, Jena, Germany) equipped with an energy dispersive spectrometer (accelerating voltage is 6 kV, working distance is 9.9 mm) and the device for X-ray fluorescence elemental spectroscopy (XRF). To improve the contrast of the obtained images and reduce the electric field strength, a thin layer of platinum nanoparticles was sprayed onto air-dry membrane samples. The method of surface metallization is generally accepted for SEM studies of ion-exchange materials [62]. It is known that nanoparticles of platinum and gold have the smallest size compared with other metals [63]. Therefore, the use of these nanoparticles practically does not distort the geometry of the surface under study. To estimate the fractions of secondary and tertiary amines in the composition of fixed groups of anion-exchange membranes, the ability of weakly basic amines to form chemically strong complex compounds with copper(II) ions was used [64]. To this end, before obtaining XRF, the samples were pretreated with a 2 M CuSO4 solution (pH = 4) for 48 h. Then samples were washed in distilled water to clean off the copper that did not enter the complex compounds. Studies of the structure and chemical composition were carried out on at least five different areas of each of the samples in order to ensure the reproducibility of the measurements. Dispersion in determining the elemental composition of membranes was ± 1 weight percent.
The specific electric conductivity of IEM (κ*) was determined by a differential method using a clip cell [65,66] and an immittance meter MOTECH MT4080 (Motech Industries Inc., Taiwan) at an alternating current frequency of 1 kHz. All samples were studied in 0.02–1.0 M NaCl solutions, starting from the lowest concentration.
The electric conductivity of membranes () was determined by the equation:
where Rm+s is the resistance of membrane and solution; Rs is the resistance of solution; and dm is the membrane thickness in the solution of given concentration.
The diffusion characteristics of the IEM were investigated using a two-chamber flow cell [67]. The membrane separated two tracts: distilled water was pumped through one of them (tract I), and a NaCl solution of a given concentration was pumped through the other tract (II). Before the experiments, all samples were equilibrated with 0.02 M NaCl solution. The first measurements were carried out for the concentration of NaCl solution in tract II equal to 0.02 M. Then, this concentration was sequentially increased to 1.0 M. The membrane under investigation was in contact with each of the solutions for at least 5 h. The cell scheme, the methodology for conducting the experiment and processing the obtained data are described in detail in [68]. The error of determining the integral diffusion permeability coefficient, P, of membranes is equal to ±0.4 × 10−8 cm2s−1.
The transport numbers of counterions () and co-ions () in the membranes under study were obtained using the concentration dependences of the specific conductivity (κ*) and the integral diffusion permeability coefficient of the membranes (P). The method of their determination and formulas for the calculation are presented in [69]:
where F is the Faraday constant; R is the gas constant, T is the temperature; C is the electrolyte concentration (NaCl), P* is the local diffusion permeability coefficient of the membrane, which is connected to integral diffusion permeability coefficient by the relation:
The value of the local diffusion permeability coefficient was determined taking into account Equation (1) as [70]:
The coefficient β = dlgP/dlgc was found as the slope of the concentration dependence of the integral diffusion permeability coefficient, presented in logarithmic coordinates. In accordance with the generally accepted definition [71], the values of the counterion transport numbers through the IEM give an idea of the membranes’ selectivity.
The standard contact porosimetry was used to estimate the integral volume of sorbed water (V) and the number of water molecules per AEM fixed group as functions of the effective pore radius (r). This method is described in detail in the works [72,73]. The essence of the method consists in measuring the equilibrium curve of the integral volume of sorbed water (or other liquid) of the sample under investigation, which is clamped between two reference porous samples with a known pore distribution. Porometric curves for reference samples are obtained in independent experiments, for example, using the method of mercury porosimetry. A controlled change in the water content of the samples is carried out by evaporation.
The effective pore radii that dominate in the membrane under study were determined from the values recorded at the inflection points of the porogram presented in the coordinates V–r. The total water content in the pores of this and a smaller diameter was estimated by the values of V, in the areas of the plateau of the porograms that follow the inflection points. The total water content in the test sample (V0) was found by the difference in weight of the completely swollen and absolutely dry membranes.
3. Results and Discussions
3.1. Structural Characteristics of the Investigated Membranes
Figure 2 and Figure 3 show the SEM and AFM images of the EN-IEM air-dry samples under study. The points in Figure 2 indicate where the elemental composition of the surface was determined using XRF. Optical images of swollen AMX Type I and MA-41 membrane samples are presented in Figure 4 and Figure 5. Optical images of dry AMX Type I, AMX Type II, CMX Type I, and CMX Type II membrane samples are presented in Figure S1 in the Supplementary Materials. The randomly arranged reinforcing fibers of thickness from 10 to 25 microns occupy a significant part of the EN-IEM volume. Some of them protrude slightly above the surface. Cracks of elongated shape, apparently, are formed during drying of the samples before the SEM.

Figure 2.
SEM images of the surface and cross sections of cation-exchange (a,c,e) and anion-exchange (b,d,f) IEM, manufactured using the electrospinning method, as well as Neosepta CMX (g) and heterogeneous MK-40 (h) membranes. The places where the element analysis was performed using the XRF are marked with white points.
Figure 3.
AFM image of air-dried sample of the AEM Type-I membrane.
Figure 4.
Optical images of the swollen AEM Type-I membrane. Before the study, samples were soaked in 0.02 М NaCl solution for 24 h (a) and in the 0.02 М NaCl solution where the high molecular weight dye (anthocyanin) was added (b).

Figure 5.
Optical images of the МА-41 membrane surface obtained using transmitted light mode in moments of time 10 s (a), 350 s (b), 720 s (c), and 900 s (d) after the beginning of contact of the swollen sample with the air.
In the SEM (Figure 2) and AFM (Figure 3) images of the EN-IEM surfaces, round holes are observed. The diameter of these holes varies from 3 to 25 microns (Figure 3). AFM images show that the average depth (Rz) of these holes is about 100 nm. These holes are visible on the surface of all investigated membranes (Figure 2).
The largest number of holes per surface unit is observed on the AEM Type I, CEM Type I, and CEM Type II membranes. Similar holes were found on membranes of this type by Y. Zhu et. al. [35], who suggested that these holes are formed at the stage of membrane manufacturing, and their presence causes the deterioration of the transport characteristics of EN-IEMs. However, it is seen in the AFM (Figure 3) and SEM (Figure 2) images that most of these defects have a small depth (about 50–200 nm) and only some of them have a depth greater than 20 μm. Therefore, a noticeable effect of these holes on the transport properties of EN-IEMs seems unlikely. Optical microscopy data (Figure 4) allows one to conclude that extended (lengthy) macropores in some samples of EN-IEM (Type-I, Type-II) do exist, but they are formed at the interface of the polymer fiber with the ion-exchange material. In the case of swollen samples in equilibrium with sodium chloride solution, these pores are filled with an optically transparent equilibrium solution (Figure 4a).
After the contact of EN-IEM samples with a solution that contains a high molecular weight dye, its molecules do not penetrate into the microporous ion-exchange material, but transfer through large pores and are visualized as dark bands recorded at the interface between the fibers and ion-exchange material, as in the case of AEM Type-I shown in Figure 4b. Similar dark bands appear around the fibers in the swollen AEM Type-II membrane (Figure S2, Supplementary Materials).
The occurrence of diffusion pathways along the filaments of reinforcing net of swollen heterogeneous membranes can be observed although in the process of moisture evaporation from these membranes, as in the case of MA-41 membrane, Figure 5. Water has a higher optical density than air. Therefore, the near-surface membrane areas, where water is partly evaporated, should have a darker color. On the surface of a sample, which was in contact with air for a short time (Figure 5a), there are no dark areas. However, they appear after a few hundred seconds, especially at the intersections of the filaments of the reinforcing net, which are closest to the surface (Figure 5b). Then the dark areas spread along the entire length of the reinforcing net filaments and are localized at the borders between the filaments and other membrane components, ion-exchange resin particles, and polyethylene binder (Figure 5c), as well as at the boundaries between the resin particles and polyethylene binder in places where these particles reach the surface (Figure 5c). It is important to note that in the case of drying of homogeneous AMX and CMX membranes, such pores are not visualized.
The results obtained using standard contact porosimetry method show that the nanoporous structure of the MK-40 and MA-41 membranes is similar to that of the homogeneous membranes produced by the paste method (CMX, AMX). However, the MK-40 and MA-41 membranes have macropores with a radius of more than 35 nm, while the homogeneous membranes do not have such pores (Figure 6).
Figure 6.
The dependence of the volume of sorbed water (V) on the effective pore radius (r) in an AMX and a МА-41 membrane. The vertical dashed lines indicate the inflection points on the curves; these points correspond to the radii of the pores whose fraction in the membranes is relatively high. The values (in nanometers) of these radii are shown by the numbers near the dashed lines.
Indeed, in the range of effective pore radii from 1 to 15 nm, the porometric curves for heterogeneous (MA-41) and homogeneous (AMX) membranes are almost identical. The dominant effective pore radii, which correspond to the inflection points in the curves, are 3 and 13 nm. Such pore sizes are typical for homogeneous ion-exchange materials [73]. A similarity in porometric curves is explained by the fact that both membranes are made of styrene copolymer with divinylbenzene and have the same fixed groups. The dry MA-41 membrane is characterized by a higher concentration of fixed groups (exchange capacity), so water content in its micropores (r < 3 nm) and mesopores (r < 13 nm) is higher as compared to AMX. Both membranes have pores with a radius of about 35 nm, which, apparently, can be attributed to defects in the structure of ion-exchange polymers, but their contribution to the total water content is insignificant, especially in the case of AMX. Further, the AMX porometric curve comes to a plateau, and the MA-41 porometric curve still has at least two inflections which indicate the presence of larger pores. The first of them (the effective radius is about 100–150 nm) could be attributed to macropores formed at the places of contact of resin particles with an inert reinforcing binder (polyethylene). Such pores were found, for example, in the images of the surface of swollen MK-40 and MA-41 membranes, using the low-vacuum SEM method [55].
The larger pores (>3000 nm) can be visualized by the optical method as dark areas (Figure 5). They are formed between the nylon reinforcing net and the resin particles as well as the polyethylene binder (Figure 5). According to our estimates, made by the analysis of porometric curves (Figure 6), both types of macropores (>100 nm) contain up to 25% of the water in MK-40 and MA-41 membranes. These voids appear when the membrane is dried. In the swollen state, the volume fraction of macropores may be evaluated as about 10% [74]. The absence of such large pores appearing when drying in homogeneous AMX (Figure 6) and CMX membranes is apparently associated with stronger adhesion of the reinforcing net and inert binder, which are produced from the same material, polyvinyl chloride.
The elemental composition of the investigated EN-IEMs is obtained using XRF and presented in Table 3. The reinforcing fibers and ion-exchange material are studied separately. In the case of fibers (the lines in Table 3 are indicated by odd numbers), the composition corresponds to polyolefin; in the case of ion-exchange material (indicated by even numbers), to polyamide (Figure 1), from which the membranes are made [36]. The sulfonic fixed groups of the CEM contain sulfur. The studied samples were in the H+ form. These counterions are not identified by XRF. The presence of fixed amino groups in AEM leads to an increase in nitrogen concentration as compared to CEM.
Table 3.
The elemental composition (in weight percent) of EN-IEM and their exchange capacity in the air-dry state.
Chlorine, which is found on the surface of AEM, is due to Cl−, a counterion. The percentage of nitrogen and chlorine (in AEMs), as well as sulfur (in CEMs), increases in proportion to the growth in the exchange capacity of dry membranes (Table 3). It should be noted that all manufacturers and most of the researchers indicate that the functional groups of the studied AEMs are quaternary amines. However, these membranes contain secondary and tertiary amines [75]. According to XRF data (Figure S3, Supplementary Materials), copper (ions Cu2+), which is an indicator of the presence of weakly basic groups, is evenly distributed over the surface and volume of ion exchange materials and its mass fraction in the case of unused AMX, MA-41, AEM Type-II and AEM Type-X does not exceed 1% (see Figure S1a in the Supplementary Materials for an AEM Type-X membrane). An exception is the AEM Type-I membrane, the mass fraction of copper which reaches 3% (Figure S1b, Supplementary Materials). It is known [76] that the thermal destruction and/or nucleophilic attack of quaternary amines with hydroxyl ions (which are always present in aqueous solutions) is the cause of the secondary and tertiary amines formation. The transformation of strongly basic amines into weakly basic ones can occur both at the manufacturing stage and during the storage of membranes in aqueous solutions. This is probably why the information on the content of these groups in anion-exchange membranes, for example, in AMX, differs significantly [31,75]. Given that all membranes, with the exception of AMX, are stored in a dry state, it can be assumed that the higher content in AEM Type-I of secondary and tertiary amines is due to the special conditions of its manufacture.
Thus, both the studied heterogeneous membranes and EN-IEMs contain extended macropores, which are formed at the points of contact of the fibers (Type-I and Type-II) and the reinforcing net (MA-41, MK-40) with the ion-exchange material. There are no such pores in the AMX and CMX membranes.
In general, the chemical composition of the investigated membranes corresponds to that declared by the manufacturers. All CEM contain sulfonic functional groups. All AEM contain strongly basic quaternary amines. The AEM Type-I membrane is characterized by the greatest portion of weakly basic functional groups in comparison with other studied AEM.
3.2. Membrane Transport Characteristics
The specific conductivity of the membranes. Figure 7a and Figure 8a show the concentration dependences of the specific conductivity of the investigated membranes in sodium chloride solutions. In Figure 7b and Figure 8b the dependences of the specific conductivity of these membranes on the specific conductivity of NaCl solutions with which these membranes are equilibrated are shown in logarithmic coordinates. Such data processing allows determining the volume fractions of the gel phase (f1) and the phase of the electroneutral solution filling the intergel spaces (f2) of the investigated membranes according to the microheterogeneous model [59]. This model, in the simplest case, considers an IEM as a two-phase system. The gel phase is a microporous swollen medium, which includes a polymer matrix that carries fixed charged groups, as well as a charged solution of mobile counterions (and the co-ions in a smaller amount), which compensates the charge of fixed groups. The reinforcing fibers (fabric), inert filler or binder are considered as parts of the polymer matrix. The electroneutral solution filling the intergel spaces, which are the central part of the mesopores and the structural defects of the membrane, is assumed identical to the external solution.
Figure 7.
Concentration dependences of the conductivity of different cation-exchange membranes, κ*, in NaCl solutions (a) and the lgκ* vs. lgκ dependences of these membranes in NaCl solutions (b). The names of the membranes are indicated near the curves, which fit the experimental data. The dashed line in the figure (a) is the concentration dependence of the NaCl solution conductivity.
Figure 8.
Concentration dependences of the conductivity of different anion-exchange membranes, κ*, in NaCl solutions (a) and the lgκ* vs. lgκ dependences of these membranes in NaCl solutions (b). The names of the membranes are indicated near the curves, which fit the experimental data. The dashed line in the figure (a) is the concentration dependence of the NaCl solution conductivity.
The simplified equation connecting the conductivity of the membrane (κ*) with the conductivities of the gel phase () and the intergel solution (κ), in the framework of the microheterogeneous model, reads:
According to Equation (7), the lgκ* vs. lgκ dependence should be a straight line, the conductivity of the gel phase being considered as constant. The slope of this line is equal to ( + = 1), the other coefficient of this linear dependence allows finding the value of .
Knowing the value of , it is possible to estimate the counterion diffusion coefficient, , in the gel phase (when neglecting the contribution of co-ions to the conductivity):
Here R is the gas constant; T is the temperature; Q is the membrane exchange capacity (mmol cm−3 membrane), is the exchange capacity of the gel phase of the swollen membrane (mmol cm−3 gel).
Note that the concentration at which the conductivities of the membrane, gel phase and external solution are equal is called the isoconductivity point, the corresponding concentration is denoted as Ciso. At concentrations less than Ciso (for studied IEM, Ciso is in the range of 0.03–0.10 M solutions), is greater than κ; at C > Ciso, is lower than κ.
The values of f2, , , and found as described above are presented in Table 4. In the case of studied membranes with an aromatic ion exchange matrix, these values are in good agreement with the literature data (Table 2 and Table 4). Some differences, apparently, are due to the fact that the properties of all membranes vary from one surface site to another; they depend on the peculiarities of membrane preparation as well as the storage conditions.
Table 4.
The values of conductivity at the isoconductivity points, volume fraction, exchange capacity of and counterion diffusion coefficient in the gel phase of the investigated membranes in NaCl solution.
The values of increase in the series CEM Type-II < MK-40 < CMX ≈ CEM Type-I < CEM Type-X (for CEMs) and AMX ≈ AEM Type-II < MA-41 < AEM Type-X < AEM Type-I (for AEMs) in the same order as the exchange capacity of the gel phase (Table 4).
An exception is the AEM Type I membrane. The values of and for this membrane are greater as compared to AEM Type-X at close values of for both membranes. This experimental fact is probably explained by a higher content of secondary and tertiary amino groups in the AEM Type-I membrane (Figure S1, Supplementary Materials). Our studies show that the treatment of a weakly basic heterogeneous MA-40 membrane (JSC Shchekinoazot, Russia) with a modifier, which leads to shielding of secondary and tertiary fixed amino groups with quaternary amines, causes a decrease in the conductivity of this membrane in 1 mol dm−3 NaCl solution from 6.9 to 4.5 mS cm−1, while f2 of the pristine and modified membranes do not change significantly [78].
As one would expect, in the moderately concentrated solutions (0.1 M < C < 1.0 M), the rate of increase in conductivity of all investigated membranes with respect to the conductivity at the C = Ciso is determined by f2: the higher this value, the stronger the conductivity increases with increasing concentration of the external solution.
Diffusion permeability of ion-exchange membranes. Figure 9 shows the concentration dependences of the integral diffusion permeability coefficient, P, of investigated membranes in NaCl solutions. It is known [71] that the value of P (or the value of differential diffusion permeability P*, Equation (5)) is mainly determined by the rate of co-ion diffusion, which depends on the gel phase exchange capacity (), the co-ion concentration () and diffusion coefficient () in this phase, the volume fraction of electroneutral solution (f2) and the relative disposition of the gel and intergel solution phases, parameter α [59]:
Figure 9.
Concentration dependences of the integral diffusion permeability coefficient for cation-exchange (a) and anion-exchange membranes (b) in NaCl solutions.
The value of determines the degree of electrostatic (Donnan) exclusion of co-ions from the gel phase and determine the value of the counterion transport number (); f2 determines the intergel solution regions where this electrostatic exclusion is absent. The greater () and the lesser f2, the lesser the diffusion permeability of the membrane. The value of P increases when the gel and intergel solution phases are disposed so that the intergel solution forms a continuous pathway for co-ions, that is, the phases are mainly in parallel to each other (α approaches 1) and the contribution of the series disposition of phases is low. Dilution of the solution should lead to a decrease in the diffusion permeability of the membranes due to increase in electrostatic (Donnan) exclusion of co-ions from the gel phase [71].
The contribution of macropores to the membrane transport properties, in particular, to diffusion permeability, depends on the amount of these pores per unit volume and their disposition in space. These pores are mainly formed at the interfaces of different structure elements of the membrane, namely, ion-exchange material, binder and reinforcing fabric. The highest volume fraction of macropores expressed by the highest value of f2 is in the heterogeneous MK-40 and MA-41 membranes (about 0.2); the Type-I cation- and anion-exchange Fujifilm membranes have f2 close to 0.15; the other studied membranes, Fujifilm and Neosepta, have this parameter between 0.06 and 0.11 (Table 4). The value of P is the lowest for the membranes with small f2, it is essentially higher for the MK-40, MA-41 and Type I cation- and anion-exchange Fujifilm membranes. However, it can be remarked that the values of P are close for the last four membranes, while f2 is noticeably different. This can be explained by higher fraction of parallel disposition of macropores (higher α) in the Type I membranes in comparison with the MK-40 and MA-41 membranes. The reason for higher α could be in the appearance of long open-ended macropores along the fiber of the reinforcing, which protrude over the membrane surface. These pores form continuous pathways not interrupted by the elements of the gel phase, which is almost impermeable for co-ions. SEM images show that in the case of Type-I membranes (Figure 2a,b) there is a great number of protrusions of the reinforcing fibers over their surface. This hypothesis is supported by the literature data [35], claiming that the selectivity of the CEM Type-I membrane increases when the membrane surface on the receiving side is covered with a film of ion-selective material. The number of these protrusions is much lower in the case of heterogeneous MK-40 and MA-41 membrane (Figure 2h), where the filaments of the fabric are immersed into the membrane body. Similarly, the fibers of the reinforcing fabric are immersed within the Neosepta membranes (Figure 2g). In addition, there is a good adhesion between the reinforcing fabric and ion-exchange material of the Neosepta membranes due to the similarity of their chemical composition (see Section 2.1). As for the Type-II and Type-X of EN-IEMs, as Figure 2c–f show, the number of fibers and their protrusions on the surface is essentially lower than in the case of the Type I membranes.
Counterion and co-ion transport numbers.Figure 10 shows the concentration dependences of the (real) transport numbers () of counterions in the investigated IEMs, which are found from the values of their conductivity and diffusion permeability using the approach [69] described above in Section 2.3, Equation (3). Table 5 summarizes , determined by the authors of this paper and by other researchers, as well as the apparent transport numbers () from literature, determined using the potentiometric method [9,79]. As a rule, values are indicated in the catalogs of manufacturers.
Figure 10.
The concentration dependence of the real counterion transport numbers in the cation- (a) and anion-exchange (b) membranes.
Table 5.
The values of real () and apparent () counterion transport numbers, as well as the water transport number (tw) in the membranes under study at solution concentration of 0.5 mol dm−3.
The relationship between the real and apparent transport numbers is determined by the Scatchard equation [9,80]:
where ms is the molality of the solution, Mw is the molar mass of water, z1 and n1 are the charge and stoichiometric numbers of counterion, is the water transport number showing how many moles of water are transported when 1 Farad of electric charge passes through the membrane.
The real (electromigration) ion transport number is a fundamental characteristic of the selective properties of ion-exchange membranes. The value of depends not only on the real transport number , but also on the membrane electroosmotic permeability, which determines the value of , Equation (10). The values of , found using Equation (10) and known values of and are presented in Table 5.
The determined values of the real counterion transport numbers in homogeneous (AMX, CMX) and heterogeneous (MA-41, MK-40) aromatic membranes are in good agreement with the results obtained by other researchers [69]. In the case of relatively concentrated solutions (C = 1.0 M), the permselectivity of the CEM Type-II and CEM Type-X cation-exchange membranes (Figure 10a) and the AEM Type-II and AEM Type-X anion-exchange membranes is close to that determined for the homogeneous CMX and AMX membranes (Astom, Japan) with an aromatic matrix. The permselectivity of the Type-I cation- and anion-exchange membranes is comparable to that of heterogeneous membranes MK-40, MA-41 (Shchekinoazot, Russia). In all cases, the co-ion transport numbers in the 1.0 M NaCl solution do not exceed the value of 0.03.
4. Conclusions
A comparative analysis of the concentration dependeces of the conductivity, diffusion permeability, real and apparent ion transport numbers in cation- and anion-exchange membranes produced by three manufacturers was conducted. The microheterogeneous model [59] was applied to the interpretation of the experimental results.
The studied membranes involves (1) Neosepta AMX and CMX membranes (Astom, Japan), which are traditionally called homogeneous; (2) heterogeneous IEMs, which consist of micrometer (from 5 to 50 microns) ion-exchange resin particles, incorporated in an inert binder (MK-40, MA-40, JSC Shchekinoazot, Russia), and (3) Type-I, Type- II, and Type-X anion-exchange and cation-exchange membranes by Fujifilm, the Netherlands, which are based on a three-dimensional structure of interlaced fibers with a diameter from 40 nm to 25 μm; the space between the fibers is filled with a homogeneous ion-exchange polymer. Membranes (1) and (2) contain ion exchange materials, which are based on copolymers of polystyrene with divinylbenzene. They are reinforced with fabric (1) or net (2), made of polymeric materials. The basis of ion exchange membrane materials (3) is hydrophilic aliphatic polyamide. The three-dimensional structure of interwoven fibers simultaneously performs the functions of both a filler and a reinforcing material.
In NaCl solutions, all types of cation- and anion-exchange membranes manufactured by Fujifilm have a high permselectivity sufficient for use in electrodialysis of dilute solutions. The real counterion transport numbers in the Type-II and Type-X membranes are close to the values characteristic to CMX and AMX membranes, which are widely used in various electromembrane processes. In the Type-I membranes, transport numbers are similar to those determined in heterogeneous membranes MK-40 and MA-41.
The concentration dependences of the conductivity and diffusion permeability of Fujifilm membranes generally follow the same laws that are known for well-studied homogeneous (CMX, AMX) and heterogeneous (MK-40, MA-41) membranes. The structure-property relationships of all these membranes are well described and predicted by the microheterogeneous model.
One of the features in the behavior of Fujifilm membranes is in the fact the Type-I membranes show a high diffusion permeability and low permselectivity comparable to those of the heterogeneous MK-40 and MA-41 membranes. The reason, apparently, lies in the fact that the manufacturing of these membranes allows the formation of open-ended macropores on the membrane surface due to the protrusions of the fabric filaments above the surface. In the CMX and AMX membranes, large extended pores are practically absent, because the reinforcing fabric and filler of the ion exchange material are made of the same polymer (polyvinyl chloride) and have a good adhesion to each other.
In the case of MK-40, MA-41, the effect of these pores on the transport characteristics is essentially lower than in the case of the Type-I membranes, since the reinforcing net is immersed inside the membrane bulk.
Supplementary Materials
The following are available online at https://www.mdpi.com/2077-0375/9/7/84/s1, Figure S1: Optical images of air-dry AMX Type I (a), AMX Type II (b), CMX Type I (c), CMX Type II (d) membrane samples; Figure S2: Optical images of the swollen AEM Type-II membrane. Samples soaked in a 0.02 М NaCl solution for 24 hours (a), and the same samples in the 0.02 М NaCl solution where a high molecular weight dye (anthocyanin) is added (b); Figure S3: The distribution of Cu2+ ions in the composition of complexes with secondary and tertiary amines in the cross-sections of AEM Type-X (a) and AEM Type-I (b) membranes. The area mapped using XRF is 100×100 μm2.
Author Contributions
Conceptualization: N.P. and V.N.; methodology: N.P.; formal analysis: C.L. and L.D.; investigation: V.S., S.M., C.L., and L.D.; resources: C.L. and L.D.; writing—original draft preparation: V.S.; writing—review and editing: C.L. and N.P.; experimentation: V.S., I.S., S.M., and N.K.; supervision: V.N. and N.P.; project administration: N.P.; funding acquisition: V.N. and V.S. All authors have approved the final article.
Funding
This research was funded by RSF grant number 19-19-00381 (investigation of CMX, AMX, MA-41, MK-40 membranes), and RFBR grant number 18-38-00521 mol_a (investigation of FujiFilm membranes). The authors thank the Core Facility “Environmental Analytical Center” of Kuban State University (unique identifier RFMEFI59317Х0008) for providing their equipment.
Conflicts of Interest
The authors declare no conflict of interest.
References
- Ran, J.; Wu, L.; He, Y.; Yang, Z.; Wang, Y.; Jiang, C.; Ge, L.; Bakangura, E.; Xu, T. Ion exchange membranes: New developments and applications. J. Membr. Sci. 2017, 522, 267–291. [Google Scholar] [CrossRef]
- Calvo, E.J. Electrochemical methods for sustainable recovery of lithium from natural brines and battery recycling. Curr. Opin. Electrochem. 2019, 15, 102–108. [Google Scholar] [CrossRef]
- Pawlowski, S.; Crespo, J.G.; Velizarov, S. Profiled ion exchange membranes: A comprehensible review. Int. J. Mol. Sci. 2019, 20, 165. [Google Scholar] [CrossRef]
- Lee, S.; Choi, J.; Park, Y.-G.; Shon, H.; Ahn, C.H.; Kim, S.-H. Hybrid desalination processes for beneficial use of reverse osmosis brine: Current status and future prospects. Desalination 2019, 104, 104–111. [Google Scholar] [CrossRef]
- Bazinet, L.; Doyen, A. Antioxidants, mechanisms, and recovery by membrane processes. Crit. Rev. Food Sci. Nutr. 2017, 57, 677–700. [Google Scholar] [CrossRef] [PubMed]
- Kim, M.-S.; Na, J.-G.; Lee, M.-K.; Ryu, H.; Chang, Y.-K.; Triolo, J.M.; Yun, Y.-M.; Kim, D.-H. More value from food waste: Lactic acid and biogas recovery. Water Res. 2016, 96, 208–216. [Google Scholar] [CrossRef] [PubMed]
- Xie, M.; Shon, H.K.; Gray, S.R.; Elimelech, M. Membrane-based processes for wastewater nutrient recovery: Technology, challenges, and future direction. Water Res. 2016, 89, 210–221. [Google Scholar] [CrossRef]
- Mikhaylin, S.; Bazinet, L. Fouling on ion-exchange membranes: Classification, characterization and strategies of prevention and control. Adv. Colloid Interface 2016, 229, 34–56. [Google Scholar] [CrossRef]
- Berezina, N.P.; Kononenko, N.A.; Dyomina, O.A.; Gnusin, N.P. Characterization of ion-exchange membrane materials: Properties vs. structure. Adv. Colloid Interface 2008, 139, 3–28. [Google Scholar] [CrossRef]
- Xu, T. Ion exchange membranes: State of their development and perspective. J. Membr. Sci. 2005, 263, 1–9. [Google Scholar] [CrossRef]
- Logan, B.E.; Elimelech, M. Membrane-based processes for sustainable power generation using water. Nature 2012, 488, 313–319. [Google Scholar] [CrossRef] [PubMed]
- Ion Exchange Membranes for Water Purification. Brochure of Fujifilm Membrane Technology. Version Number 1.0. 2018. Available online: https://www.fujifilmmembranes.com/water-membranes/ion-exchange-membranes (accessed on 14 June 2019).
- Cavaliere, S.; Subianto, S.; Savych, I.; Jones, D.J.; Rozièe, J. Electrospinning: Designed architectures for energy conversion and storage devices. Energy Environ. Sci. 2011, 4, 4761–4785. [Google Scholar] [CrossRef]
- University of Delaware. Method of Solution Preparation of Polyolefin Class Polymers for Electrospinning Processing Included. U.S. Patent B29C 47178, PCT/US2006/061206, WO 2007/062393 A2, 31 May 2007. [Google Scholar]
- Tufa, R.A.; Curcio, E.; Van Baak, W.; Veerman, J.; Grasman, S.; Fontananova, E.; Di Profio, G. Potential of brackish water and brine for energy generation by salinity gradient power-reverse electrodialysis (SGPRE). RSC Adv. 2014, 4, 42617–42623. [Google Scholar] [CrossRef]
- Vermaas, D.A.; Saakes, M.; Nijmeijer, K. Doubled power density from salinity gradients at reduced intermembrane distance. Environ. Sci. Technol. 2011, 45, 7089–7095. [Google Scholar] [CrossRef]
- Tedesco, M.; Cipollina, A.; Tamburini, A.; Micale, G. Towards 1 kW power production in a reverse electrodialysis pilot plant with saline waters and concentrated brines. J. Membr. Sci. 2017, 522, 226–236. [Google Scholar] [CrossRef]
- Tamura, T.; Kawakami, H. Aligned electrospun nanofiber composite membranes for fuel cell electrolytes. Nano Lett. 2010, 10, 1324–1328. [Google Scholar] [CrossRef]
- Bhadja, V.; Makwana, B.S.; Maiti, S.; Sharma, S.; Chatterjee, U. Comparative efficacy study of different types of ion exchange membranes for production of ultrapure water via electrodeionization. Ind. Eng. Chem. Res. 2015, 54, 10974–10982. [Google Scholar] [CrossRef]
- Bhadja, V.; Trivedi, J.S.; Chatterjee, U. Efficacy of polyethylene interpolymer membranes for fluoride and arsenic ion removal during desalination of water: Via electrodialysis. RSC Adv. 2016, 6, 67118–67126. [Google Scholar] [CrossRef]
- Higa, M.; Tanaka, N.; Nagase, M.; Yutani, K.; Kameyama, T.; Takamura, K.; Kakihana, Y. Electrodialytic properties of aromatic and aliphatic type hydrocarbon-based anion-exchange membranes with various anion-exchange groups. Polymer 2014, 55, 3951–3960. [Google Scholar] [CrossRef]
- Tanaka, N.; Nagase, M.; Higa, M. Organic fouling behavior of commercially available hydrocarbon-based anion-exchange membranes by various organic-fouling substances. Desalination 2012, 296, 81–86. [Google Scholar] [CrossRef]
- Rijnaarts, T.; Moreno, J.; Saakes, M.; de Vos, W.M.; Nijmeijer, K. Role of anion exchange membrane fouling in reverse electrodialysis using natural feed waters. Colloid Surf. A 2019, 560, 198–204. [Google Scholar] [CrossRef]
- Choi, J.; Lee, K.M.; Wycisk, R.; Pintauro, P.N.; Mather, P.T. Nanofiber network ion-exchange membranes. Macromolecules 2008, 41, 4569–4572. [Google Scholar] [CrossRef]
- Park, A.M.; Turley, F.E.; Wycisk, R.J.; Pintauro, P.N. Electrospun and cross-linked nanofiber composite anion exchange membranes. Macromolecules 2013, 47, 227–235. [Google Scholar] [CrossRef]
- Zhang, W.; Ma, J.; Wang, P.; Wang, Z.; Shi, F.; Liu, H. Investigations on the interfacial capacitance and the diffusion boundary layer thickness of ion exchange membrane using electrochemical impedance spectroscopy. J. Membr. Sci. 2016, 502, 37–47. [Google Scholar] [CrossRef]
- Fontananova, E.; Messana, D.; Tufa, R.A.; Nicotera, I.; Kosma, V.; Curcio, E.; van Baak, W.; Drioli, E.; Di Profio, G. Effect of solution concentration and composition on the electrochemical properties of ion exchange membranes for energy conversion. J. Power Sources 2017, 340, 282–293. [Google Scholar] [CrossRef]
- Liu, H.; Ruan, H.; Zhao, Y.; Pan, J.; Sotto, A.; Gao, C.; der Bruggen, B.V.; Shen, J. A facile avenue to modify polyelectrolyte multilayers on anion exchange membranes to enhance monovalent selectivity and durability simultaneously. J. Membr. Sci. 2017, 543, 310–318. [Google Scholar] [CrossRef]
- Pan, J.; He, Y.; Wu, L.; Jiang, C.; Wu, B.; Mondal, A.N.; Cheng, C.; Xu, T. Anion exchange membranes from hot-pressed electrospun QPPO–SiO2 hybrid nanofibers for acid recovery. J. Membr. Sci. 2015, 480, 115–121. [Google Scholar] [CrossRef]
- Pan, J.; Ge, L.; Lin, X.; Wu, L.; Wu, B.; Xu, T. Cation exchange membranes from hot-pressed electrospun sulfonated poly(phenylene oxide) nanofibers for alkali recovery. J. Membr. Sci. 2014, 470, 479–485. [Google Scholar] [CrossRef]
- Güler, E.; van Baak, W.; Saakes, M.; Nijmeijer, K. Monovalent-ion-selective membranes for reverse electrodialysis. J. Membr. Sci. 2014, 455, 254–270. [Google Scholar] [CrossRef]
- Huang, Z.-M.; Zhang, Y.-Z.; Kotaki, M.; Ramakrishna, S. A review on polymer nanofibers by electrospinning and their applications in nanocomposites. Compos. Sci. Technol. 2003, 63, 2223–2253. [Google Scholar] [CrossRef]
- Zhang, C.-L.; Yu, S.-H. Nanoparticles meet electrospinning: Recent advances and future prospects. Chem. Soc. Rev. 2014, 43, 4423–4448. [Google Scholar] [CrossRef] [PubMed]
- Zhao, W.; Nugay, I.I.; Yalcin, B.; Cakmak, M. Flexible, stretchable, transparent and electrically conductive polymer films via a hybrid electrospinning and solution casting process: In-plane anisotropic conductivity for electro-optical applications. Displays 2016, 45, 48–57. [Google Scholar] [CrossRef]
- Zhu, Y.; Ahmad, M.; Yang, L.; Misovich, M.; Yaroshchuk, A.; Bruening, M.L. Adsorption of polyelectrolyte multilayers imparts high monovalent/divalent cation selectivity to aliphatic polyamide cation-exchange membranes. J. Membr. Sci. 2017, 537, 177–185. [Google Scholar] [CrossRef]
- FujiFilm Manufacturing Europe. Curable Compositions and Membranes. BV (NL) Patent C08F 20/36, PCT/GB2012/051569, WO 2013/011273, 24 January 2013. [Google Scholar]
- Mizutani, Y.; Yamane, R.; Ihara, H.; Motomura, H. Studies of ion exchange membranes. XVI. The preparation of ion exchange membranes by the “paste method”. Bull. Chem. Soc. Jpn. 1963, 36, 361–366. [Google Scholar] [CrossRef]
- Doi, S.; Yasukawa, M.; Kakihana, Y.; Higa, M. Alkali attack on anion exchange membranes with PVC backing and binder: Effect on performance and correlation between them. J. Membr. Sci. 2019, 573, 85–96. [Google Scholar] [CrossRef]
- Hori, Y.; Nakatani, T.; Mizutane, Y. Morphology of ion exchange membranes. J. Electron. Microsc. 1986, 35, 220–226. [Google Scholar]
- Pismenskaya, N.D.; Nikonenko, V.V.; Melnik, N.A.; Shevtsova, K.A.; Belova, E.I.; Pourcelly, G.; Cot, D.; Dammak, L.; Larchet, C. Evolution with time of hydrophobicity and microrelief of a cation-exchange membrane surface and its impact on overlimiting mass transfer. J. Phys. Chem. 2012, 116, 2145–2161. [Google Scholar] [CrossRef] [PubMed]
- Nefedova, G.Z.; Klimova, Z.G.; Sapozhnikova, G.S. Ion-Exchange Membranes, Granulates, Powders: Catalogue; NIITEKhim: Moscow, Russia, 1977. [Google Scholar]
- Rijnaarts, T.; Huerta, E.; van Baak, W.; Nijmeijer, K. Effect of divalent cations on RED performance and cation exchange membrane selection to enhance power densities. Environ. Sci. Technol. 2017, 51, 13028–13035. [Google Scholar] [CrossRef] [PubMed]
- Káňavová, N.; Krejčí, A.; Benedeková, M.; Doležel, M.; Machuča, L. Mass transfer examination in electrodialysis using limiting current measurements. Chem. Pap. 2015, 69, 553–559. [Google Scholar] [CrossRef]
- Safronova, E.Y.; Golubenko, D.V.; Shevlyakova, N.V.; D’yakova, M.G.; Tverskoi, V.A.; Dammak, L.; Grande, D.; Yaroslavtsev, A.B. New cation-exchange membranes based on cross-linked sulfonated polystyrene and polyethylene for power generation systems. J. Membr. Sci. 2016, 515, 196–203. [Google Scholar] [CrossRef]
- Balster, J.; Krupenko, O.; Pünt, I.; Stamatialis, D.F.; Wessling, M. Preparation and characterisation of monovalent ion selective cation exchange membranes based on sulphonated poly(ether ether ketone). J. Membr. Sci. 2005, 263, 137–145. [Google Scholar] [CrossRef]
- Sedkaoui, Y.; Szymczyk, A.; Lounici, H.; Arous, O. A new lateral method for characterizing the electrical conductivity of ion-exchange membranes. J. Membr. Sci. 2016, 507, 34–42. [Google Scholar] [CrossRef]
- Jiang, C.; Wang, Y.; Zhang, Z.; Xu, T. Electrodialysis of concentrated brine from RO plant to produce coarse salt and freshwater. J. Membr. Sci. 2014, 450, 323–330. [Google Scholar] [CrossRef]
- Karpenko-Jereb, L.V.; Berezina, N.P. Determination of structural, selective, electrokinetic and percolation characteristics of ion-exchange membranes from conductive data. Desalination 2009, 245, 587–596. [Google Scholar] [CrossRef]
- Tourreuil, V.; Rossignol, N.; Bulvestre, G.; Larchet, C.; Auclair, B. Determination of the selectivity of an ion-exchange membrane - comparison of diffusion flux and transport number. Eur. Polym. J. 1998, 34, 1415–1421. [Google Scholar] [CrossRef]
- Drioli, E.; Giorno, L.; Fontananova, E. Comprehensive Membrane Science and Engineering; Elsevier Science: Amsterdam, The Netherlands, 2017; ISBN 9780444637758. [Google Scholar]
- Hannachi, C.; Ali, M.B.S.; Hamrouni, B. Determination of the selectivity coefficient of the CMX cationic membrane at various ionic strengths. Desalin. Water Treat. 2009, 10, 47–52. [Google Scholar] [CrossRef]
- Długołecki, P.; Anet, B.; Metz, S.J.; Nijmeijer, K.; Wessling, M. Transport limitations in ion exchange membranes at low salt concentrations. J. Membr. Sci. 2010, 346, 163–171. [Google Scholar] [CrossRef]
- Zhou, J.; Kuang, H.; Zhuang, W.; Chen, Y.; Liu, D.; Ying, H.; Wu, J. Application of electrodialysis to extract 5′-ribonucleotides from hydrolysate: Efficient decolorization and membrane fouling. RSC Adv. 2018, 8, 29115–29128. [Google Scholar] [CrossRef]
- Jaroszek, H.; Dydo, P. Potassium nitrate synthesis by electrodialysis-metathesis: The effect of membrane type. J. Membr. Sci. 2018, 549, 28–37. [Google Scholar] [CrossRef]
- Vasil’eva, V.I.; Pismenskaya, N.D.; Akberova, E.M.; Nebavskaya, K.A. Effect of thermochemical treatment on the surface morphology and hydrophobicity of heterogeneous ion-exchange membranes. Rus. J. Phys. Chem. A 2014, 88, 1293–1299. [Google Scholar] [CrossRef]
- Berezina, N.; Gnusin, N.; Dyomina, O.; Timofeyev, S. Water electrotransport in membrane systems. Experiment and model description. J. Membr. Sci. 1994, 86, 207–229. [Google Scholar] [CrossRef]
- Gnusin, N.P.; Berezina, N.P.; Kononenko, N.A.; Dyomina, O.A. Transport structural parameters to characterize ion exchange membranes. J. Membr. Sci. 2004, 243, 301–310. [Google Scholar] [CrossRef]
- Tuan, L.X. Permselectivity and microstructure of anion exchange membranes. J. Colloid Interface 2008, 325, 215–222. [Google Scholar]
- Zabolotsky, V.I.; Nikonenko, V.V. Effect of structural membrane inhomogeneity on transport properties. J. Membr. Sci. 1993, 79, 181–198. [Google Scholar] [CrossRef]
- Nagarale, R.K.; Gohil, G.S.; Shahi, V.K. Recent developments on ion-exchange membranes and electro-membrane processes. Adv. Colloid Interface 2006, 119, 97–130. [Google Scholar] [CrossRef] [PubMed]
- Belashova, E.D.; Melnik, N.A.; Pismenskaya, N.D.; Shevtsova, K.A.; Nebavsky, A.V.; Lebedev, K.A.; Nikonenko, V.V. Overlimiting mass transfer through cation-exchange membranes modified by Nafion film and carbon nanotubes. Electrochim. Acta 2012, 59, 412–423. [Google Scholar] [CrossRef]
- Kamusewitz, H.; Schossig-Tiedemann, M.; Keller, M.; Paul, D. Characterization of polymeric membranes by means of scanning force microscopy (SFM) in comparison to results of scanning electron microscopy (SEM). Surf. Sci. 1997, 377–379, 1076–1081. [Google Scholar] [CrossRef]
- Schossig-Tiedemann, M.; Paul, D. Improved preparation of membrane surfaces for field-emission scanning electron microscopy. J. Membr. Sci. 2001, 187, 85–91. [Google Scholar] [CrossRef]
- Sheldeshov, N.V.; Ganych, V.V.; Zabolotsky, V.I. Transport numbers of salt ions and water dissociation products in cation and anion-exchange membranes. Sov. Electrochem. 1991, 23, 11–15. [Google Scholar]
- Lteif, R.; Dammak, L.; Larchet, C.; Auclair, B. Conductivité électrique membranaire: Étude de l’effet de la concentration, de la nature de l’électrolyte et de la structure membranaire. Eur. Polym. J. 1999, 35, 1187–1195. [Google Scholar] [CrossRef]
- Karpenko, L.V.; Demina, O.A.; Dvorkina, G.A.; Parshikov, S.B.; Larchet, C.; Auclair, B.; Berezina, N.P. Comparative study of methods used for the determination of electroconductivity of ion-exchange membranes. Russ. J. Electrochem. 2001, 37, 287–293. [Google Scholar] [CrossRef]
- Nikonenko, V.; Vedernikova, E.; Pismenskaya, N. Device for measurements of diffusion characteristics of membrane. Rus. Patent 100275 RF, MPK51 G01N27/40, No 2010121195/28, 10 December 2010. [Google Scholar]
- Shutkina, E.A.; Nevakshenova, E.E.; Pismenskaya, N.D.; Mareev, S.A.; Nikonenko, V.V. Diffusion permeability of the anion-exchange membranes in sodium dihydrogen phosphate solution. Condens. Matter Interphases 2015, 17, 566–578. [Google Scholar]
- Larchet, C.; Auclair, B.; Nikonenko, V. Approximate evaluation of water transport number in ion-exchange membranes. Electrochim. Acta 2004, 49, 1711–1717. [Google Scholar] [CrossRef]
- Gnusin, N.P.; Berezina, N.P.; Shudrenko, А.А.; Ivina, O.P. Electrolyte diffusion across ion-exchange membranes. Russ. J. Phys. Chem. A 1994, 68, 565. [Google Scholar]
- Helfferich, F.G. Ion Exchange; ASIN: B0000CLGWI; McGraw-Hill: New York, NY, USA, 1962. [Google Scholar]
- Volfkovich, Y.M.; Bagotzky, V.S.; Sosenkin, V.E.; Blinov, I.A. The standard contact porosimetry. Colloid Surf. A 2001, 187–188, 349–365. [Google Scholar] [CrossRef]
- Kononenko, N.; Nikonenko, V.; Grande, D.; Larchet, C.; Dammak, L.; Fomenko, M.; Volfkovich, Y. Porous structure of ion exchange membranes investigated by various techniques. Adv. Colloid Interface 2017, 246, 196–216. [Google Scholar] [CrossRef] [PubMed]
- Kozmai, A.E.; Nikonenko, V.V.; Zyryanova, S.; Pismenskaya, N.D.; Dammak, L. A simple model for the response of an anion-exchange membrane to variation in concentration and pH of bathing solution. J. Membr. Sci. 2018, 567, 127–138. [Google Scholar] [CrossRef]
- Choi, J.-H.; Moon, S.-H. Structural change of ion-exchange membrane surfaces under high electric field and its effect on membrane properties. J. Colloid Interface 2003, 265, 93–100. [Google Scholar] [CrossRef]
- Merle, G.; Wessling, M.; Nijmeijer, K. Anion exchange membranes for alkaline fuel cells: A review. J. Membr. Sci. 2011, 377, 1–35. [Google Scholar] [CrossRef]
- Elattar, A.; Elmidaoui, A.; Pismenskaia, N.; Gavach, C.; Pourcelly, G. Comparison of transport properties of monovalent anions through anion-exchange membranes. J. Membr. Sci. 1998, 143, 249–261. [Google Scholar] [CrossRef]
- Belova, E.I.; Lopatkova, G.Y.; Pismenskaya, N.D.; Nikonenko, V.V.; Larchet, C.; Pourcelly, G. Effect of anion-exchange membrane surface properties on mechanisms of overlimiting mass transfer. J. Phys. Chem. B 2006, 110, 13458–13469. [Google Scholar] [CrossRef] [PubMed]
- Luo, T.; Abdu, S.; Wessling, M. Selectivity of ion exchange membranes: A review. J. Membr. Sci. 2018, 555, 429–454. [Google Scholar] [CrossRef]
- Hladik, J. Physics of Electrolytes; Academic Press: London, UK, 1972; ISBN 10 0123498015. [Google Scholar]
- Duke, M.; Zhao, D.; Semiat, R. Functional Nanostructured Materials and Membranes for Water Treatment; Wiley-VCH Verlag & Co. KgaA: Weinheim, Germany, 2013; ISBN 978-3-527-32987-8. [Google Scholar]
- Vasil’eva, V.I.; Akberova, E.M.; Zabolotsky, V.I.; Goleva, E.A.; Yatsev, A.M. Method of Modification of Sulfonated Cation-Exchange Membrane for High-Intensity Electrodialysis. Rus. Patent 2677202C2 RF, MPK B01D69/00, B01D 61/44, 24 May 2017. [Google Scholar]
- Lteif, R.; Dammak, L.; Larchet, C.; Auclair, B. Détermination du nombre de transport d’un contre-ion dans une membrane échangeuse d’ions en utilisant la méthode de la pile de concentration. Eur. Polym. J. 2001, 37, 627–639. [Google Scholar] [CrossRef]
- Moreno, J.; Grasman, S.; van Engelen, R.; Nijmeijer, K. Upscaling reverse electrodialysis. Environ. Sci. Technol. 2018, 52, 10856–10863. [Google Scholar] [CrossRef] [PubMed]
- Akberova, E.M. Structural Effects of Thermochemical Modification of Heterogeneous Ion-Exchange Membranes. Ph.D. Thesis, Voronezh State University, Voronezh, Russia, 2015. [Google Scholar]
© 2019 by the authors. Licensee MDPI, Basel, Switzerland. This article is an open access article distributed under the terms and conditions of the Creative Commons Attribution (CC BY) license (http://creativecommons.org/licenses/by/4.0/).











