TiO2 Polyamide Thin Film Nanocomposite Reverses Osmosis Membrane for Water Desalination
Abstract
:1. Introduction
2. Materials and Methods
2.1. Materials
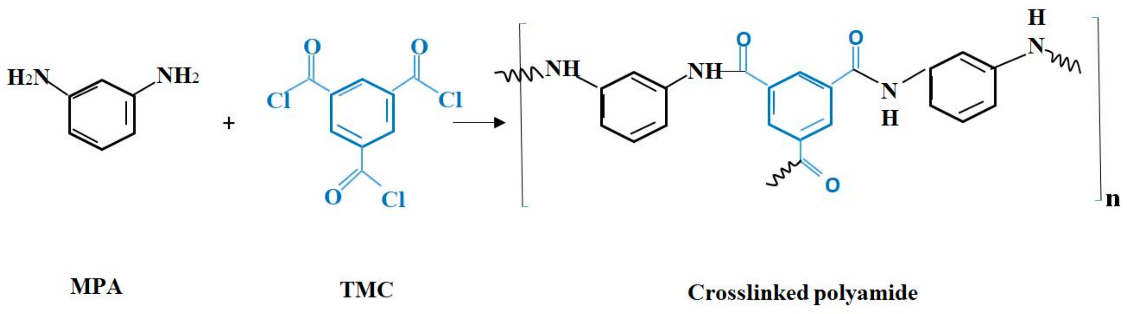
2.2. Preparation of PSU Support and TFN Membrane
2.3. Water Flux and Salt Rejection Assessment
2.4. Organic Fouling and Bactericidal Activity Estimation
2.5. Characterization Methods
3. Results and Discussion
3.1. Contact Angle Measurements
3.2. SEM, AFM, and EDX Analyses
3.3. Water Flux and Salts Rejection
3.4. Fouling Resistance and Antibacterial Efficiency
4. Conclusions
Funding
Conflicts of Interest
References
- Pendergast, M.M.; Hoek, E.M.V. A Review of Water Treatment Membrane Nanotechnologies. Energy Environ. Sci. 2011, 4, 1946–1971. [Google Scholar] [CrossRef]
- Elimelech, M.; Phillip, W.A. The Future of Seawater Desalination: Energy, Technology, and the Environment. Science 2011, 333, 712–717. [Google Scholar] [CrossRef] [PubMed]
- Bremerea, I.; Kennedya, M.; Stikkerb, A.; Schippersa, J. How Water Scarcity will Effect the Growth in the Desalination Market in the Coming 25 Years. Desalination 2001, 138, 7–15. [Google Scholar] [CrossRef]
- Malaeb, I.; Ayoub, G.M. Reverse Osmosis Technology for Water Treatment: State of the Art Review. Desalination 2011, 276, 1–8. [Google Scholar] [CrossRef]
- Bruggen, V.D.; Vandecasteele, C. Distillation vs. Membrane Filtration: Overview of Process Evolutions in Seawater Desalination. Desalination 2002, 143, 207–218. [Google Scholar] [CrossRef]
- Ng, L.Y.; Mohammad, A.W.; Leo, C.B.; Hilal, N. Polymeric Membranes Incorporated with Metal/Metal Oxide Nanoparticles: A Comprehensive Review. Desalination 2013, 308, 15–33. [Google Scholar] [CrossRef]
- Cadotte, J.E. Interfacially Synthesized Reverse Osmosis Membrane. U.S. Patent 4,277,344, 7 July 1981. [Google Scholar]
- Petersen, R.J. Composite Reverse Osmosis and Nanofiltration Membranes. J. Membr. Sci. 1993, 83, 81–150. [Google Scholar] [CrossRef]
- Jeong, B.H.; Hoek, E.M.V.; Yan, Y.; Subramani, A.; Huang, X.; Hurwitz, G.; Jawoe, A. Interfacial Polymerization of Thin Film Nanocomposites: A New Concept for Reverse Osmosis Membranes. J. Membr. Sci. 2007, 294, 1–7. [Google Scholar] [CrossRef]
- Chan, W.; Chen, H.; Surapathi, A.; Taylor, M.G.; Marand, E.; Johnson, J.K. Zwitterion Functionalized Carbon Nanotube/Polyamide Nanocomposite Membranes for Water Desalination. ASC Nano 2013, 7, 5308–5319. [Google Scholar] [CrossRef] [PubMed]
- Jadav, G.L.; Singh, P.S. Synthesis of Novel Silica-Polyamide Nanocomposite Membrane with Enhanced Properties. J. Membr. Sci. 2009, 20, 257–267. [Google Scholar] [CrossRef]
- Dong, H.; Wu, L.; Zhang, L.; Chen, H.; Gao, C. Clay Nano-Sheet as Charged Filler Materials for High-Performance and Fouling Resistance Thin Film Nanocomposite Membrane. J. Membr. Sci. 2015, 494, 92–103. [Google Scholar] [CrossRef]
- Yin, J.; Deng, B. Graphene Oxide Enhanced Polyamide Thin-Film Nanocomposite Membrane for Water Purification. Desalination 2016, 379, 93–101. [Google Scholar] [CrossRef]
- Matthiasson, E.; Sivik, B. Concentration Polarization and Fouling. Desalination 1980, 35, 59–103. [Google Scholar] [CrossRef]
- Potts, D.E.; DAhlert, R.C.; Wang, S.S. A critical review of fouling of reverse osmosis Membranes. Desalination 1981, 36, 235–264. [Google Scholar] [CrossRef]
- Kim, E.S.; Deng, B. Fabrication of polyamide thin-film nano-composite (PA-TFN) membrane with hydrophilized ordered mesoporous carbon (H-OMC) for water purifications. J. Membr. Sci. 2011, 375, 46–54. [Google Scholar] [CrossRef]
- Bano, S.; Mahmood, A.; Kim, S.J.; Lee, K.H. Graphene oxide modified polyamide nanofiltration membrane with improved flux and antifouling properties. J. Mater. Chem. 2015, 3, 2056–2071. [Google Scholar] [CrossRef]
- Yin, J.; Yang, Y.; Hu, Z.; Deng, B. Attachment of silver nanoparticles (AgNPs) onto thin-film composite (TFC) membranes through covalent bonding to reduce membrane biofouling. J. Membr. Sci. 2013, 441, 73–82. [Google Scholar] [CrossRef]
- Venkatadra, R.; Peters, R.W. Chemical Oxidation Technologies: Ultraviolet Light/Hydrogen Peroxide, Fenton’s Reagent, and Titanium Dioxide-Assisted Photocatalysis. Hazard. Waste Hazard. Mater. 1993, 10, 107–140. [Google Scholar] [CrossRef]
- Ku, Y.; Hsiesh, C. Photocatalytic Decomposition of 2,4-dichlorophenol in Aqueous TiO2 Suspensions. Water Res. 1992, 26, 1451–1456. [Google Scholar] [CrossRef]
- Prairie, M.R.; Pacheco, J.; Evans, L.R. Solar Detoxification of Water Containing Chlorinated Solvents and Heavy Metals via TÍO2 Photocatalysis. In Proceedings of the ASME International Solar Energy Conference, Maui, HI, USA, 4–8 April 1992. [Google Scholar]
- Huang, X.; Leal, M.; Li, Q. Degradation of Natural Organic Matter by TiO2 Photocatalytic Oxidation and its Effect on Fouling of Low-Pressure Membranes. Water Res. 2008, 42, 1142–1150. [Google Scholar] [CrossRef] [PubMed]
- Clech, L.; Lee, E.; Chen, V. Hybrid photocatalysis/membrane treatment for surface waters containing low concentrations of natural organic matters. Water Res. 2004, 40, 323–330. [Google Scholar] [CrossRef] [PubMed]
- Damodar, R.A.; You, S.; Chou, H. Study the Self Cleaning, Antibacterial and Photocatalytic Properties of TiO2 Entrapped PVDF Membranes. J. Hazard. Mater. 2009, 72, 1321–1328. [Google Scholar] [CrossRef] [PubMed]
- Mayyahi, A.A. Thin film composite (TFC) membrane modified by hybrid ZnO-graphene nanoparticles (ZnO-Gr NPs) for water desalination. J. Environ. Chem. Eng. 2018, 6, 1109–1117. [Google Scholar] [CrossRef]
- Kawak, S.Y.; Kim, S.H. Hybrid Organic/Inorganic Reverse Osmosis (RO) Membrane for Bactericidal Anti-Fouling. 1. Preparation and Characterization of TiO2 Nanoparticle Self-Assembled Aromatic Polyamide Thin-Film-Composite (TFC) Membrane. Environ. Sci. Technol. 2001, 35, 2388–2394. [Google Scholar] [CrossRef]
- Yin, J.; Deng, B. Fabrication of a Novel Thin-Film Nanocomposite (TFN) Membrane Containing MCM-41 Silica Nanoparticles (NPs) for Water Purification. J. Membr. Sci. 2012, 423, 238–246. [Google Scholar] [CrossRef]
- Ali, M.E.A.; Hassan, F.M.; Feng, X. Improving the performance of TFC membranes via chelation and surface modification; applications to water desalination. J. Mater. Chem. A 2016, 4, 6620–6629. [Google Scholar] [CrossRef]
- Gao, X.; Li, Y.; Yang, X.; Shang, Y.; Gao, B.; Wang, Z. Highly permeable and antifouling reverse osmosis membranes with acidified graphitic carbon nitride nanosheets as nanofillers. J. Mater. Chem. A 2017, 5, 19875–19883. [Google Scholar] [CrossRef]
- Li, D.; Wang, H. Recent developments in reverse osmosis desalination membranes. J. Mater. Chem. 2010, 20, 4551–4566. [Google Scholar] [CrossRef]
- Bellona, C.; Drewes, J.E.; Xu, P.; Amy, G. Factors affecting the rejection of organic solutes during NF/RO treatment–A literature review. Water Res. 2004, 38, 2795–2809. [Google Scholar] [CrossRef] [PubMed]
- Schaep, J.; Bruggen, B.; Vandecasteele, C.; Wilms, D. Influence of Ions Size and Charge in Nanofiltration. Sep. Purif. Technol. 1998, 14, 155–162. [Google Scholar] [CrossRef]
- Yang, Z.; Yin, J.; Deng, B. Enhancing water flux of thin-film nanocomposite (TFN) membrane by incorporation of bimodal silica nanoparticles. AIMS Environ. Sci. 2016, 3, 185–198. [Google Scholar] [CrossRef]
- Zhao, H.; Qiu, S.; Wu, L.; Zhung, L.; Chen, H.; Gao, C. Improving the performance of polyamide reverse osmosis membrane by incorporation of modified multi-walled carbon nanotubes. J. Membr. Sci. 2014, 450, 249–256. [Google Scholar] [CrossRef]
- Azelee, I.W.; Goh, P.S.; Lau, W.J.; Ismail, A.F.; Arzhandi, M.R.; Womg, K.C.; Subramaniam, M.N. Enhanced desalination of polyamide thin film nanocomposite incorporated with acid treated multiwalled carbon nanotube-titania nanotube hybrid. Desalination 2017, 409, 163–170. [Google Scholar] [CrossRef]
- Fathizadeh, M.; Tein, H.N.; Khivantsev, K.; Song, Z.; Zhou, F.; YU, M. Polyamide/nitrogen-doped graphene oxide quantum dots (N-GOQD) thin film nanocomposite reverse osmosis membranes for high flux desalination. Desalination 2017, in press. [Google Scholar] [CrossRef]
- Liu, L.; Liu, Z.; Zhu, G.; Gao, C. Effect of MCM-48 nanoparticles on the performance of thin film nanocomposite membranes for reverse osmosis application. Desalination 2016, 394, 72–82. [Google Scholar] [CrossRef]
- Duan, J.; Ban, Y.; Bacheco, F.; Litwiller, E.; Lai, Z.; Pinnau, L. High-performance polyamide thin-film-nanocomposite reverse osmosis membranes containing hydrophobic zeolitic imidazolate framework-8. J. Membr. Sci. 2015, 476, 303–310. [Google Scholar] [CrossRef]
- Mayyahi, A.A.; Deng, B. Efficient water desalination using photo-responsive ZnO polyamide thin film nanocomposite membrane. Environ. Chem. Lett. 2018, in press. [Google Scholar] [CrossRef]
- Khorshidi, B.; Biswas, I.; Ghosh, T.; Thundat, T.; Sadrzadeh, M. Robust fabrication of thin film polyamide-TiO2 nanocomposite membranes with enhanced thermal stability and anti-biofouling propensity. Sci. Rep. 2018, 8, 784. [Google Scholar] [CrossRef] [PubMed]
- Madaeni, S.S.; Gaemi, N. Characterization of self-cleaning RO membranes coated with TiO2 particles under UV irradiation. J. Membr. Sci. 2007, 303, 221–233. [Google Scholar] [CrossRef]
- Leung, Y.H.; Xu, H.; Chan, W.K. Toxicity of ZnO and TiO2 to Escherichia coli Cells. Sci. Rep. 2016. Available online: https://www.nature.com/articles/srep35243 (accessed on 13 August 2018).
- Huh, A.; Kwon, A.Y. Nanoantibiotics: A New Paradigm for Treating Infectious Diseases Using Nanomaterials in the Antibiotics Resistant Era. J. Control. Release 2011, 156, 128–145. [Google Scholar] [CrossRef] [PubMed]







| Membrane | Element (wt. %) | ||||
|---|---|---|---|---|---|
| Carbon | Oxygen | Nitrogen | Titanium | Total (wt. %) | |
| TFC | 67.31 | 21.34 | 11.26 | -- | 100 |
| TFN | 60.22 | 27.33 | 9.41 | 4.31 | 100 |
| Salt | Diffusion Coefficient (10−9 m2/s) |
|---|---|
| Na2SO4 | 1.23 |
| MgCl2 | 1.25 |
| NaCl | 1.61 |
| Membrane Filler | Loading (wt. %) | Permeability (L/m2 h bar) | NaCl Rejection% | Ref. |
|---|---|---|---|---|
| Bimodal Silica | 0.5 wt. % | 2.58 | 95.7 | [33] |
| MWCNTs | 0.1 wt. % | 1.75 | 90.0 | [34] |
| MWCNT-TNT | 0.05 wt. % | 0.74 | 97.97 | [35] |
| N-GOQD | 0.04 wt. % | 1.66 | 93 | [36] |
| GO | 0.015 wt. % | 2.87 | 93.8 | [13] |
| MCM-48 | 0.1 wt. % | 2.12 | 97 | [37] |
| Dow-SW30HR | - | 1.12 | 98.6 | [38] |
| Dow-BW30 | - | 2.15 | 99.4 | [38] |
| TiO2 | 0.1 wt. % | 3.14 | 97 | This study |
© 2018 by the author. Licensee MDPI, Basel, Switzerland. This article is an open access article distributed under the terms and conditions of the Creative Commons Attribution (CC BY) license (http://creativecommons.org/licenses/by/4.0/).
Share and Cite
Al Mayyahi, A. TiO2 Polyamide Thin Film Nanocomposite Reverses Osmosis Membrane for Water Desalination. Membranes 2018, 8, 66. https://doi.org/10.3390/membranes8030066
Al Mayyahi A. TiO2 Polyamide Thin Film Nanocomposite Reverses Osmosis Membrane for Water Desalination. Membranes. 2018; 8(3):66. https://doi.org/10.3390/membranes8030066
Chicago/Turabian StyleAl Mayyahi, Ahmed. 2018. "TiO2 Polyamide Thin Film Nanocomposite Reverses Osmosis Membrane for Water Desalination" Membranes 8, no. 3: 66. https://doi.org/10.3390/membranes8030066
APA StyleAl Mayyahi, A. (2018). TiO2 Polyamide Thin Film Nanocomposite Reverses Osmosis Membrane for Water Desalination. Membranes, 8(3), 66. https://doi.org/10.3390/membranes8030066
