Colour-Value Based Method for Polydopamine Coating-Stability Characterization on Polyethersulfone Membranes
Abstract
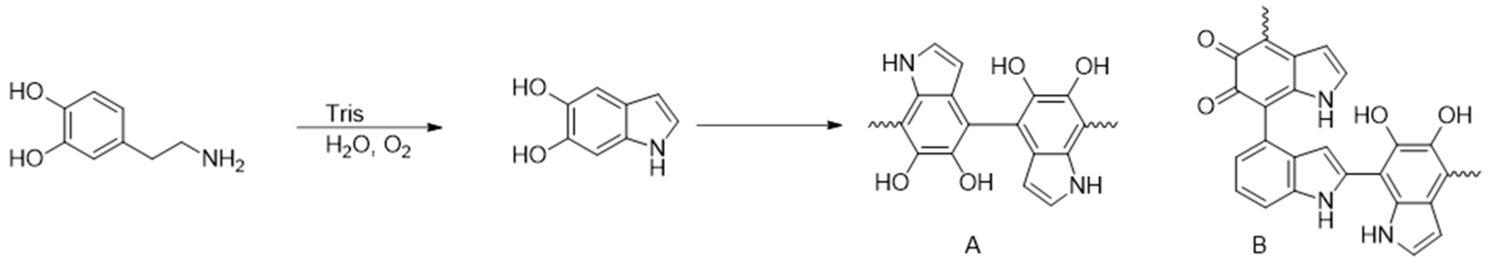
1. Introduction
2. Results and Discussion
2.1. Temperature Dependent Water Permeances of PES Membranes
2.2. Modification of the Membranes and Proof of Successful Coating
2.2.1. Thermogravimetric Analysis (TGA)
2.2.2. Gravimetric Analysis
2.2.3. Contact-Angle Measurement
2.3. Stability of Polydopamine against Chemical Cleaning
2.4. Fouling Test under Cross-Flow Condition
3. Materials and Methods
3.1. Materials
3.2. Polydopamine Coating
3.3. Thermogravimetrical Analisis (TGA)
3.4. Gravimetric Analysis
3.5. Water Permeance Measurement (Dead-End)
3.6. Scanning Electron Microscopy
3.7. Atomic Force Microscopy
3.8. Contact-Angle Measurement
3.9. Stability Test of Polydopamine Coated Membranes against Chemical Cleaning (DIVOS130 and Citric Acid)
3.10. Fouling Test in Cross Flow Condition
4. Conclusions
- A good temperature correction factor for polyethersulfone membrane is x = 1.012 using the equation: as suggested by Crittenden et al. [37].
- Permeances of polyethersulfone membranes increase with the polydopamine coating time, here studied up to 240 min.
- The coating layer was studied under basic and acidic conditions, which was investigated by systematically observing the colour change of the coated membranes over treatment time.
- The polydopamine coating layer is not stable in DIVOS130, a basic chemical cleaning agent as used in oenology.
- The polydopamine coating layer is stable in citric acid, which is a common treatment in membrane industry for cleaning fouled membranes.
- Fouling tests under cross-flow conditions show that less fouling occurs after the polyethersulfone membranes are coated with polydopamine.
Acknowledgments
Author Contributions
Conflicts of Interest
References
- Geise, G.M.; Lee, H.-S.; Miller, D.J.; Freeman, B.D.; McGrath, J.E.; Paul, D.R. Water purification by membranes: The role of polymer science. J. Polym. Sci. Part B 2010, 48, 1685–1718. [Google Scholar] [CrossRef]
- Savage, N.; Diallo, M. Nanomaterials and water purification: Opportunities and challenges. J. Nanopart. Res. 2005, 7, 331–342. [Google Scholar] [CrossRef]
- Van Der Bruggen, B.; Vandecasteele, C.; Van Gestel, T.; Doyen, W.; Leysen, R. A review of pressure-driven membrane processes in wastewater treatment and drinking water production. Environ. Prog. 2003, 22, 46–56. [Google Scholar] [CrossRef]
- Saxena, A.; Tripathi, B.P.; Kumar, M.; Shahi, V.K. Membrane-based techniques for the separation and purification of proteins: An overview. Adv. Colloid Interface Sci. 2009, 145, 1–22. [Google Scholar] [CrossRef] [PubMed]
- Van Reis, R.; Zydney, A. Membrane separations in biotechnology. Curr. Opin. Biotechnol. 2001, 12, 208–211. [Google Scholar] [CrossRef]
- El Rayess, Y.; Albasi, C.; Bacchin, P.; Taillandier, P.; Raynal, J.; Mietton-Peuchot, M.; Devatine, A. Cross-flow microfiltration applied to oenology: A review. J. Membr. Sci. 2011, 382, 1–19. [Google Scholar] [CrossRef]
- Nunes, S.P.; Peinemann, K.-V. Membrane Technology: In the Chemical Industry; Wiley: New York, NY, USA, 2001. [Google Scholar]
- Bengani-Lutz, P.; Converse, E.; Cebe, P.; Asatekin, A. Self-assembling zwitterionic copolymers as membrane selective layers with excellent fouling resistance: Effect of zwitterion chemistry. ACS Appl. Mater. Interfaces 2017, 9, 20859–20872. [Google Scholar] [CrossRef] [PubMed]
- Keskin, D.; Clodt, J.I.; Hahn, J.; Abetz, V.; Filiz, V. Postmodification of Ps-b-P4VP diblock copolymer membranes by ARGET ATRP. Langmuir 2014, 30, 8907–8914. [Google Scholar] [CrossRef] [PubMed]
- Schulze, A.; Breite, D.; Kim, Y.; Schmidt, M.; Thomas, I.; Went, M.; Fischer, K.; Prager, A. Bio-inspired polymer membrane surface cleaning. Polymers 2017, 9, 97. [Google Scholar] [CrossRef]
- Sun, W.; Liu, J.; Chu, H.; Dong, B. Pretreatment and membrane hydrophilic modification to reduce membrane fouling. Membranes 2013, 3, 226–241. [Google Scholar] [CrossRef] [PubMed]
- Nguyen, T.; Roddick, F.A.; Fan, L. Biofouling of water treatment membranes: A review of the underlying causes, monitoring techniques and control measures. Membranes 2012, 2, 804–840. [Google Scholar] [CrossRef] [PubMed]
- Zhang, R.; Liu, Y.; He, M.; Su, Y.; Zhao, X.; Elimelech, M.; Jiang, Z. Antifouling membranes for sustainable water purification: Strategies and mechanisms. Chem. Soc. Rev. 2016, 45, 5888–5924. [Google Scholar] [CrossRef] [PubMed]
- Shahkaramipour, N.; Tran, T.N.; Ramanan, S.; Lin, H. Membranes with surface-enhanced antifouling properties for water purification. Membranes 2017, 7, 13. [Google Scholar] [CrossRef] [PubMed]
- Lynge, M.E.; van der Westen, R.; Postma, A.; Stadler, B. Polydopamine—A nature-inspired polymer coating for biomedical science. Nanoscale 2011, 3, 4916–4928. [Google Scholar] [CrossRef] [PubMed]
- Lee, H.; Dellatore, S.M.; Miller, W.M.; Messersmith, P.B. Mussel-inspired surface chemistry for multifunctional coatings. Science 2007, 318, 426–430. [Google Scholar] [CrossRef] [PubMed]
- Waite, J.H. Surface chemistry: Mussel power. Nat. Mater. 2008, 7, 8–9. [Google Scholar] [CrossRef] [PubMed]
- McCloskey, B.D.; Park, H.B.; Ju, H.; Rowe, B.W.; Miller, D.J.; Chun, B.J.; Kin, K.; Freeman, B.D. Influence of polydopamine deposition conditions on pure water flux and foulant adhesion resistance of reverse osmosis, ultrafiltration, and microfiltration membranes. Polymer 2010, 51, 3472–3485. [Google Scholar] [CrossRef]
- Lee, B.P.; Messersmith, P.B.; Israelachvili, J.N.; Waite, J.H. Mussel-inspired adhesives and coatings. Annu. Rev. Mater. Res. 2011, 41, 99–132. [Google Scholar] [CrossRef] [PubMed]
- Li, B.; Liu, W.; Jiang, Z.; Dong, X.; Wang, B.; Zhong, Y. Ultrathin and stable active layer of dense composite membrane enabled by poly(dopamine). Langmuir 2009, 25, 7368–7374. [Google Scholar] [CrossRef] [PubMed]
- Miller, D.J.; Kasemset, S.; Wang, L.; Paul, D.R.; Freeman, B.D. Constant flux crossflow filtration evaluation of surface-modified fouling-resistant membranes. J. Membr. Sci. 2014, 452, 171–183. [Google Scholar] [CrossRef]
- Dreyer, D.R.; Miller, D.J.; Freeman, B.D.; Paul, D.R.; Bielawski, C.W. Perspectives on poly(dopamine). Chem. Sci. 2013, 4, 3796. [Google Scholar] [CrossRef]
- Ball, V. Composite materials and films based on melanins, polydopamine, and other catecholamine-based materials. Biomimetics 2017, 2, 12. [Google Scholar] [CrossRef]
- Miller, D.J.; Dreyer, D.R.; Bielawski, C.W.; Paul, D.R.; Freeman, B.D. Surface modification of water purification membranes. Angew. Chem. Int. Ed. 2017, 56, 4662–4711. [Google Scholar] [CrossRef] [PubMed]
- Krogsgaard, M.; Nue, V.; Birkedal, H. Mussel-inspired materials: Self-healing through coordination chemistry. Chemistry 2016, 22, 844–857. [Google Scholar] [CrossRef] [PubMed]
- Liu, Y.; Ai, K.; Lu, L. Polydopamine and its derivative materials: Synthesis and promising applications in energy, environmental, and biomedical fields. Chem. Rev. 2014, 114, 5057–5115. [Google Scholar] [CrossRef] [PubMed]
- Clodt, J.I.; Filiz, V.; Rangou, S.; Buhr, K.; Abetz, C.; Höche, D.; Hahn, J.; Jung, A.; Abetz, V. Double stimuli-responsive isoporous membranes via post-modification of ph-sensitive self-assembled diblock copolymer membranes. Adv. Funct. Mater. 2013, 23, 731–738. [Google Scholar] [CrossRef]
- Luo, C.; Liu, Q. Oxidant-induced high-efficient mussel-inspired modification on pvdf membrane with superhydrophilicity and underwater superoleophobicity characteristics for oil/water separation. ACS Appl. Mater. Interfaces 2017, 9, 8297–8307. [Google Scholar] [CrossRef] [PubMed]
- Kohri, M.; Kohma, H.; Shinoda, Y.; Yamauchi, M.; Yagai, S.; Kojima, T.; Taniguchi, T.; Kishikawa, K. A colorless functional polydopamine thin layer as a basis for polymer capsules. Polym. Chem. 2013, 4, 2696. [Google Scholar] [CrossRef]
- Jiang, J.; Zhu, L.; Zhu, B.; Xu, Y. Surface characteristics of a self-polymerized dopamine coating deposited on hydrophobic polymer films. Langmuir 2011, 27, 14180–14187. [Google Scholar] [CrossRef] [PubMed]
- Dreyer, D.R.; Miller, D.J.; Freeman, B.D.; Paul, D.R.; Bielawski, C.W. Elucidating the structure of poly(dopamine). Langmuir 2012, 28, 6428–6435. [Google Scholar] [CrossRef] [PubMed]
- Liebscher, J.; Mrowczynski, R.; Scheidt, H.A.; Filip, C.; Hadade, N.D.; Turcu, R.; Bende, A.; Beck, S. Structure of polydopamine: A never-ending story? Langmuir 2013, 29, 10539–10548. [Google Scholar] [CrossRef] [PubMed]
- D’Ischia, M.; Napolitano, A.; Ball, V.; Chen, C.T.; Buehler, M.J. Polydopamine and eumelanin: From structure-property relationships to a unified tailoring strategy. Acc. Chem. Res. 2014, 47, 3541–3550. [Google Scholar] [CrossRef] [PubMed]
- Coskun, H.; Aljabour, A.; De Luna, P.; Farka, D.; Greunz, T.; Stifter, D.; Kus, M.; Zheng, X.; Liu, M.; Hassel, A.W.; et al. Biofunctionalized conductive polymers enable efficient CO2 electroreduction. Sci. Adv. 2017, 3, e1700686. [Google Scholar] [CrossRef] [PubMed]
- Xi, Z.-Y.; Xu, Y.-Y.; Zhu, L.-P.; Wang, Y.; Zhu, B.-K. A facile method of surface modification for hydrophobic polymer membranes based on the adhesive behavior of poly(dopa) and poly(dopamine). J. Membr. Sci. 2009, 327, 244–253. [Google Scholar] [CrossRef]
- McCloskey, B.D.; Park, H.B.; Ju, H.; Rowe, B.W.; Miller, D.J.; Freeman, B.D. A bioinspired fouling-resistant surface modification for water purification membranes. J. Membr. Sci. 2012, 413–414, 82–90. [Google Scholar] [CrossRef]
- Crittenden, J.C.; Trussell, R.R.; Hand, D.W.; Howe, K.J.; Tchobanoglous, G. Mwh’s Water Treatment: Principles and Design; Wiley: Hoboken, NJ, USA, 2012. [Google Scholar]
- Bernsmann, F.; Ponche, A.; Ringwald, C.; Hemmerlé, J.; Raya, J.; Bechinger, B.; Voegel, J.-C.; Schaaf, P.; Ball, V. Characterization of dopamine−melanin growth on silicon oxide. J. Phys. Chem. C 2009, 113, 8234–8242. [Google Scholar] [CrossRef]
- Lee, K.P.; Leese, H.; Mattia, D. Water flow enhancement in hydrophilic nanochannels. Nanoscale 2012, 4, 2621–2627. [Google Scholar] [CrossRef] [PubMed]
- Shevate, R.; Kumar, M.; Karunakaran, M.; Hedhili, M.N.; Peinemann, K.-V. Polydopamine/cysteine surface modified isoporous membranes with self-cleaning properties. J. Membr. Sci. 2017, 529, 185–194. [Google Scholar] [CrossRef]
- Wei, H.; Ren, J.; Han, B.; Xu, L.; Han, L.; Jia, L. Stability of polydopamine and poly(dopa) melanin-like films on the surface of polymer membranes under strongly acidic and alkaline conditions. Colloids Surf. B Biointerfaces 2013, 110, 22–28. [Google Scholar] [CrossRef] [PubMed]
- Yu, B.; Liu, J.; Liu, S.; Zhou, F. Pdop layer exhibiting zwitterionicity: A simple electrochemical interface for governing ion permeability. Chem. Commun. 2010, 46, 5900–5902. [Google Scholar] [CrossRef] [PubMed]
- Kim, M.; Park, B.; Lee, Y.-J.; Lim, J.-L.; Lee, S.; Kim, S. Corrected normalized permeate flux for a statistics-based fouling detection method in seawater reverse osmosis process. Desalin. Water Treat. 2016, 57, 24574–24582. [Google Scholar] [CrossRef]
- Kim, S.; Gim, T.; Kang, S.M. Stability-enhanced polydopamine coatings on solid substrates by iron(III) coordination. Prog. Org. Coat. 2014, 77, 1336–1339. [Google Scholar] [CrossRef]













| Membrane | Coating Time (min) | Mass Polydopamine (mg·m−2) |
|---|---|---|
| Polyethersulfone | 0 | 0 (±25) |
| Polyethersulfone | 60 | 37 (±25) |
| Polyethersulfone | 120 | 237 (±25) |
| Polyethersulfone | 180 | 287 (±25) |
| Polyethersulfone | 240 | 337 (±25) |
| Polyethersulfone | 1500 | 2375 (±25) |
| Membrane | Coating Time (min) | Average Permeance (L·h−1·m−2·bar−1) | Permeance Increase (%) |
|---|---|---|---|
| Polyethersulfone | 0 | 5191 | --- |
| Polyethersulfone | 60 | 5431 | 4.6 |
| Polyethersulfone | 120 | 5535 | 6.6 |
| Polyethersulfone | 180 | 5669 | 9.2 |
| Polyethersulfone | 240 | 5729 | 10.2 |
| Polyethersulfone | 1500 | 5214 | 0.4 |
| Membrane | Coating Time (min) | Permeance Decline within 60 min (%) | Reversible Fouling Ratio (%) | Irreversible Fouling Ratio (%) |
|---|---|---|---|---|
| Polyethersulfone | 0 | 78 | 48 | 30 |
| Polyethersulfone | 240 | 55 | 37 | 17 |
© 2017 by the authors. Licensee MDPI, Basel, Switzerland. This article is an open access article distributed under the terms and conditions of the Creative Commons Attribution (CC BY) license (http://creativecommons.org/licenses/by/4.0/).
Share and Cite
Bucher, T.; Clodt, J.I.; Grabowski, A.; Hein, M.; Filiz, V. Colour-Value Based Method for Polydopamine Coating-Stability Characterization on Polyethersulfone Membranes. Membranes 2017, 7, 70. https://doi.org/10.3390/membranes7040070
Bucher T, Clodt JI, Grabowski A, Hein M, Filiz V. Colour-Value Based Method for Polydopamine Coating-Stability Characterization on Polyethersulfone Membranes. Membranes. 2017; 7(4):70. https://doi.org/10.3390/membranes7040070
Chicago/Turabian StyleBucher, Thomas, Juliana I. Clodt, Andrej Grabowski, Martin Hein, and Volkan Filiz. 2017. "Colour-Value Based Method for Polydopamine Coating-Stability Characterization on Polyethersulfone Membranes" Membranes 7, no. 4: 70. https://doi.org/10.3390/membranes7040070
APA StyleBucher, T., Clodt, J. I., Grabowski, A., Hein, M., & Filiz, V. (2017). Colour-Value Based Method for Polydopamine Coating-Stability Characterization on Polyethersulfone Membranes. Membranes, 7(4), 70. https://doi.org/10.3390/membranes7040070
