Membrane Fouling Mechanisms in the Microfiltration of Oat Protein–β-Glucan Complexes
Abstract
1. Introduction
2. Materials and Methods
2.1. Preparation of the Oat Protein–β-Glucan Complex Solutions
2.2. Microfiltration System and Experimental Set-Up
2.3. Analysis of Membrane Fouling Mechanisms
2.3.1. Resistance-in-Series Model
2.3.2. Fouling Propensity Model
2.3.3. Hermans and Bredee Model
2.3.4. Specific Cake Resistance and Fouling Layer Thickness Model
2.4. Determination of Particle Properties
2.5. Rheometric Measurements
2.6. Statistical Analysis
3. Results
3.1. Microfiltration Efficiency of Oat Protein–β-Glucan Complexes
3.2. Characteristics of Oat Protein–β-Glucan Complexes
3.2.1. Particle Characteristics
3.2.2. Flow Properties of Oat Protein–β-Glucan Complexes
3.3. Membrane Fouling Behavior of Oat Protein–β-Glucan Complexes
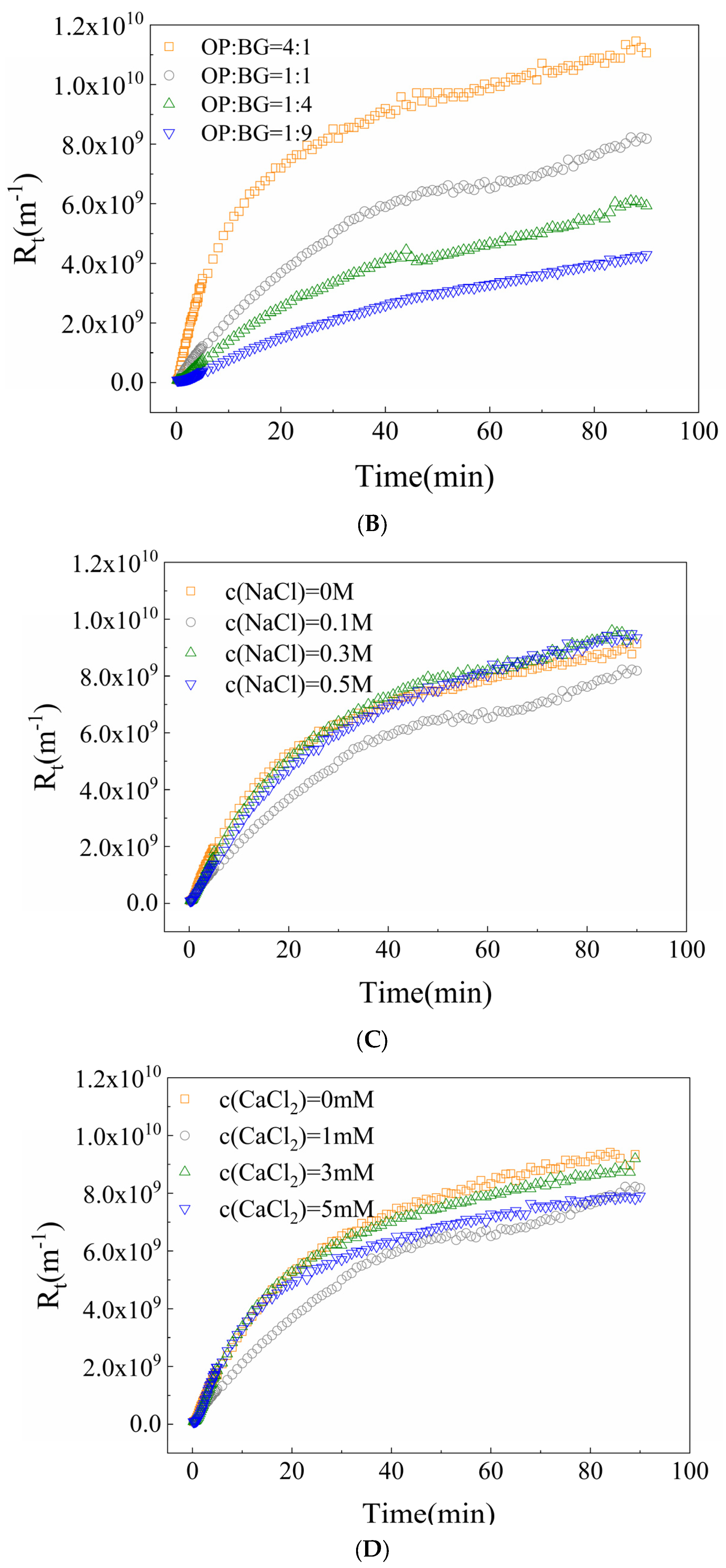
3.3.1. Distribution of Membrane Fouling Resistance
3.3.2. Fouling Propensity of Oat Protein–β-Glucan Complexes
3.3.3. Specific Cake Resistance and Fouling Layer Thickness
3.3.4. Pore Blocking Mechanism
4. Discussion
4.1. Effect of pH on Membrane Fouling
4.1.1. pH ≈ pI
4.1.2. pH < pI or pH > pI
4.2. Effects of Oat Protein–β-Glucan Ratio and Ionic Strength on Membrane Fouling
5. Conclusions
Supplementary Materials
Author Contributions
Funding
Data Availability Statement
Conflicts of Interest
References
- Nikbakht Nasrabadi, M.; Sedaghat Doost, A.; Mezzenga, R. Modification Approaches of Plant-Based Proteins to Improve Their Techno-Functionality and Use in Food Products. Food Hydrocoll. 2021, 118, 106789. [Google Scholar] [CrossRef]
- Poore, J.; Nemecek, T. Reducing Food’s Environmental Impacts through Producers and Consumers. Science 2018, 360, 987–992. [Google Scholar] [CrossRef] [PubMed]
- Nguyen, T.T.L.; Gilbert, R.G.; Gidley, M.J.; Fox, G.P. The Contribution of β-Glucan and Starch Fine Structure to Texture of Oat-Fortified Wheat Noodles. Food Chem. 2020, 324, 126858. [Google Scholar] [CrossRef] [PubMed]
- Sánchez-Velázquez, O.A.; Cuevas-Rodríguez, E.O.; Mondor, M.; Ribéreau, S.; Arcand, Y.; Mackie, A.; Hernández-Álvarez, A.J. Impact of in Vitro Gastrointestinal Digestion on Peptide Profile and Bioactivity of Cooked and Non-Cooked Oat Protein Concentrates. Curr. Res. Food Sci. 2021, 4, 93–104. [Google Scholar] [CrossRef] [PubMed]
- Boukid, F. Oat Proteins as Emerging Ingredients for Food Formulation: Where We Stand? Eur. Food Res. Technol. 2021, 247, 535–544. [Google Scholar] [CrossRef]
- Wang, X.; Lei, Y.; Rafique, H.; Zou, L.; Hu, X. Effect of Stir-Frying on Physicochemical and Functional Properties of Oat Protein Isolates. Foods 2023, 12, 2670. [Google Scholar] [CrossRef]
- Mel, R.; Rampitsch, C.; Zvomuya, F.; Nilsen, K.T.; Beattie, A.D.; Malalgoda, M. Determining the Impact of Genotype × Environment on Oat Protein Isolate Composition Using HPLC and LC-MS Techniques. J. Agric. Food Chem. 2024, 72, 8103–8113. [Google Scholar] [CrossRef]
- Kaur, R.; Sharma, M.; Ji, D.; Xu, M.; Agyei, D. Structural Features, Modification, and Functionalities of Beta-Glucan. Fibers 2019, 8, 1. [Google Scholar] [CrossRef]
- Brückner-Gühmann, M.; Benthin, A.; Drusch, S. Enrichment of Yoghurt with Oat Protein Fractions: Structure Formation, Textural Properties and Sensory Evaluation. Food Hydrocoll. 2019, 86, 146–153. [Google Scholar] [CrossRef]
- Kamali, M.; Suhas, D.P.; Costa, M.E.; Capela, I.; Aminabhavi, T.M. Sustainability Considerations in Membrane-Based Technologies for Industrial Effluents Treatment. Chem. Eng. J. 2019, 368, 474–494. [Google Scholar] [CrossRef]
- Immonen, M.; Myllyviita, J.; Sontag-Strohm, T.; Myllärinen, P. Oat Protein Concentrates with Improved Solubility Produced by an Enzyme-Aided Ultrafiltration Extraction Method. Foods 2021, 10, 3050. [Google Scholar] [CrossRef] [PubMed]
- Yue, J.; Gu, Z.; Zhu, Z.; Yi, J.; Ohm, J.-B.; Chen, B.; Rao, J. Impact of Defatting Treatment and Oat Varieties on Structural, Functional Properties, and Aromatic Profile of Oat Protein. Food Hydrocoll. 2021, 112, 106368. [Google Scholar] [CrossRef]
- Immonen, M.; Chandrakusuma, A.; Hokkanen, S.; Partanen, R.; Mäkelä-Salmi, N.; Myllärinen, P. The Effect of Deamidation and Lipids on the Interfacial and Foaming Properties of Ultrafiltered Oat Protein Concentrates. LWT 2022, 169, 114016. [Google Scholar] [CrossRef]
- El Rayess, Y.; Albasi, C.; Bacchin, P.; Taillandier, P.; Mietton-Peuchot, M.; Devatine, A. Analysis of Membrane Fouling during Cross-Flow Microfiltration of Wine. Innov. Food Sci. Emerg. Technol. 2012, 16, 398–408. [Google Scholar] [CrossRef]
- Rodríguez Patino, J.M.; Pilosof, A.M.R. Protein–Polysaccharide Interactions at Fluid Interfaces. Food Hydrocoll. 2011, 25, 1925–1937. [Google Scholar] [CrossRef]
- Jimenez-Lopez, A.J.E.; Leconte, N.; Garnier-Lambrouin, F.; Bouchoux, A.; Rousseau, F.; Gésan-Guiziou, G. Ionic Strength Dependence of Skimmed Milk Microfiltration: Relations between Filtration Performance, Deposit Layer Characteristics and Colloidal Properties of Casein Micelles. J. Membr. Sci. 2011, 369, 404–413. [Google Scholar] [CrossRef]
- Yu, Y.; Li, X.; Zhang, J.; Li, X.; Wang, J.; Sun, B. Oat Milk Analogue versus Traditional Milk: Comprehensive Evaluation of Scientific Evidence for Processing Techniques and Health Effects. Food Chem. X 2023, 19, 100859. [Google Scholar] [CrossRef]
- Guo, H.; Li, Z.; Huang, J.; Zhou, R.; Wu, C.; Jin, Y. Microfiltration of Soy Sauce: Efficiency, Resistance and Fouling Mechanism at Different Operating Stages. Sep. Purif. Technol. 2020, 240, 116656. [Google Scholar] [CrossRef]
- Piry, A.; Heino, A.; Kühnl, W.; Grein, T.; Ripperger, S.; Kulozik, U. Effect of Membrane Length, Membrane Resistance, and Filtration Conditions on the Fractionation of Milk Proteins by Microfiltration. J. Dairy Sci. 2012, 95, 1590–1602. [Google Scholar] [CrossRef]
- Zhu, Z.; Luo, X.; Yin, F.; Li, S.; He, J. Clarification of Jerusalem Artichoke Extract Using Ultra-Filtration: Effect of Membrane Pore Size and Operation Conditions. Food Bioprocess Technol. 2018, 11, 864–873. [Google Scholar] [CrossRef]
- Wan, Y.; Prudente, A.; Sathivel, S. Purification of Soluble Rice Bran Fiber Using Ultrafiltration Technology. LWT—Food Sci. Technol. 2012, 46, 574–579. [Google Scholar] [CrossRef]
- Zhu, Z.; Luo, J.; Ding, L.; Bals, O.; Jaffrin, M.Y.; Vorobiev, E. Chicory Juice Clarification by Membrane Filtration Using Rotating Disk Module. J. Food Eng. 2013, 115, 264–271. [Google Scholar] [CrossRef]
- Sousa, M.R.S.; Lora-Garcia, J.; López-Pérez, M.-F. Modelling Approach to an Ultrafiltration Process for the Removal of Dissolved and Colloidal Substances from Treated Wastewater for Reuse in Recycled Paper Manufacturing. J. Water Process Eng. 2018, 21, 96–106. [Google Scholar] [CrossRef]
- Dilaver, M.; Soydemir, G.; Dursun, M.; Murat Hocaoğlu, S.; Keskinler, B.; Ağtaş, M.; Koyuncu, İ.; Alp, K. Highly Alkali Caustic Discharges Recovery Using Tubular and Disc Type of Ceramic Membranes and Its Applicability as a near Zero Liquid Discharge Opportunity in the Textile Industry. J. Environ. Chem. Eng. 2023, 11, 111351. [Google Scholar] [CrossRef]
- Steinhauer, T.; Lonfat, J.; Hager, I.; Gebhardt, R.; Kulozik, U. Effect of pH, Transmembrane Pressure and Whey Proteins on the Properties of Casein Micelle Deposit Layers. J. Membr. Sci. 2015, 493, 452–459. [Google Scholar] [CrossRef]
- Steinhauer, T.; Hanély, S.; Bogendörfer, K.; Kulozik, U. Temperature Dependent Membrane Fouling during Filtration of Whey and Whey Proteins. J. Membr. Sci. 2015, 492, 364–370. [Google Scholar] [CrossRef]
- Jin, Y.; Hengl, N.; Baup, S.; Pignon, F.; Gondrexon, N.; Sztucki, M.; Gésan-Guiziou, G.; Magnin, A.; Abyan, M.; Karrouch, M.; et al. Effects of Ultrasound on Cross-Flow Ultrafiltration of Skim Milk: Characterization from Macro-Scale to Nano-Scale. J. Membr. Sci. 2014, 470, 205–218. [Google Scholar] [CrossRef]
- Trzaskus, K.; Elshof, M.; Kemperman, A.; Nijmeijer, K. Understanding the Role of Nanoparticle Size and Polydispersity in Fouling Development during Dead-End Microfiltration. J. Membr. Sci. 2016, 516, 152–161. [Google Scholar] [CrossRef]
- Wang, J.; Yang, C.; Jiang, J. Pickering Emulsions with Controllable Rheological Properties Stabilized by Oat Globulin at Different pH Levels. Colloids Surf. A Physicochem. Eng. Asp. 2025, 716, 136694. [Google Scholar] [CrossRef]
- Oates, K.M.N.; Krause, W.E.; Jones, R.L.; Colby, R.H. Rheopexy of Synovial Fluid and Protein Aggregation. J. R. Soc. Interface 2006, 3, 167–174. [Google Scholar] [CrossRef]
- Dongowski, G.; Drzikova, B.; Senge, B.; Blochwitz, R.; Gebhardt, E.; Habel, A. Rheological Behaviour of β-Glucan Preparations from Oat Products. Food Chem. 2005, 93, 279–291. [Google Scholar] [CrossRef]
- Sandoval-García, V.; Ruano, M.V.; Alliet, M.; Brepols, C.; Comas, J.; Harmand, J.; Heran, M.; Mannina, G.; Rodriguez-Roda, I.; Smets, I.; et al. Modeling MBR Fouling: A Critical Review Analysis towards Establishing a Framework for Good Modeling Practices. Water Res. 2025, 268, 122611. [Google Scholar] [CrossRef] [PubMed]
- Mahamadou Harouna, B.; Benkortbi, O.; Hanini, S.; Amrane, A. Modeling of Transitional Pore Blockage to Cake Filtration and Modified Fouling Index—Dynamical Surface Phenomena in Membrane Filtration. Chem. Eng. Sci. 2019, 193, 298–311. [Google Scholar] [CrossRef]
- Zator, M.; Ferrando, M.; López, F.; Güell, C. Microfiltration of Protein/Dextran/Polyphenol Solutions: Characterization of Fouling and Chemical Cleaning Efficiency Using Confocal Microscopy. J. Membr. Sci. 2009, 344, 82–91. [Google Scholar] [CrossRef]
- Castaing, J.B.; Massé, A.; Séchet, V.; Sabiri, N.-E.; Pontié, M.; Haure, J.; Jaouen, P. Immersed Hollow Fibres Microfiltration (MF) for Removing Undesirable Micro-Algae and Protecting Semi-Closed Aquaculture Basins. Desalination 2011, 276, 386–396. [Google Scholar] [CrossRef]
- Wen, S.; Huang, J.; Zhou, R.; Wu, C.; Hengl, N.; Pignon, F.; Jin, Y. Molecular Mechanism of Casein-Chitosan Fouling during Microfiltration. Sep. Purif. Technol. 2023, 325, 124659. [Google Scholar] [CrossRef]
- Jamshidian, H.; Rafe, A. Complex Coacervate of Wheat Germ Protein/High Methoxy Pectin in Encapsulation of d-Limonene. Chem. Biol. Technol. Agric. 2024, 11, 60. [Google Scholar] [CrossRef]
- Schmidt, I.; Cousin, F.; Huchon, C.; Boué, F.; Axelos, M.A.V. Spatial Structure and Composition of Polysaccharide−Protein Complexes from Small Angle Neutron Scattering. Biomacromolecules 2009, 10, 1346–1357. [Google Scholar] [CrossRef]
- Liew, M.K.H.; Fane, A.G.; Rogers, P.L. Fouling of Microfiltration Membranes by Broth-Free Antifoam Agents. Biotechnol. Bioeng. 1997, 56, 89–98. [Google Scholar] [CrossRef]
- Wang, J.; Liu, Z.; Zheng, K.; Yuan, Z.; Yang, C. Effect of pH on the Formation Mechanisms, Emulsifying Properties and Curcumin Encapsulation of Oat Protein Isolate–High Methoxy Pectin Complexes. Food Hydrocoll. 2024, 149, 109454. [Google Scholar] [CrossRef]
- Chiao, Y.-H.; Chen, S.-T.; Sivakumar, M.; Ang, M.B.M.Y.; Patra, T.; Almodovar, J.; Wickramasinghe, S.R.; Hung, W.-S.; Lai, J.-Y. Zwitterionic Polymer Brush Grafted on Polyvinylidene Difluoride Membrane Promoting Enhanced Ultrafiltration Performance with Augmented Antifouling Property. Polymers 2020, 12, 1303. [Google Scholar] [CrossRef]
- Zhi, C.; Xu, J.; Chen, Y.; Dong, L.; Bai, Y.; Zhang, C. Reinforced-Concrete Inspired Porous Polymeric Membranes: Improved Mechanical Robust and Compaction Resistance via Incorporating Cellulose Nanofibers. J. Appl. Polym. Sci. 2025, 142, e57023. [Google Scholar] [CrossRef]
- Conidi, C.; Drioli, E.; Cassano, A. Perspective of Membrane Technology in Pomegranate Juice Processing: A Review. Foods 2020, 9, 889. [Google Scholar] [CrossRef] [PubMed]
- Heidebrecht, H.-J.; Toro-Sierra, J.; Kulozik, U. Concentration of Immunoglobulins in Microfiltration Permeates of Skim Milk: Impact of Transmembrane Pressure and Temperature on the IgG Transmission Using Different Ceramic Membrane Types and Pore Sizes. Foods 2018, 7, 101. [Google Scholar] [CrossRef] [PubMed]
- Peng, B.; Li, Z.; Xiong, Q.; Wu, C.; Huang, J.; Zhou, R.; Jin, Y. Casein-Dextran Complexes Subjected to Microfiltration: Colloidal Properties and Their Corresponding Processing Behaviors. J. Food Eng. 2022, 320, 110913. [Google Scholar] [CrossRef]
- Ng, A.N.L.; Kim, A.S. A Mini-Review of Modeling Studies on Membrane Bioreactor (MBR) Treatment for Municipal Wastewaters. Desalination 2007, 212, 261–281. [Google Scholar] [CrossRef]
- Holopainen-Mantila, U.; Vanhatalo, S.; Lehtinen, P.; Sozer, N. Oats as a Source of Nutritious Alternative Protein. J. Cereal Sci. 2024, 116, 103862. [Google Scholar] [CrossRef]
- Li, M.; Huang, G.; Chen, X.; Xu, Z.; Huang, J.; Yin, J.; Feng, R.; Chen, N.; Read, S.; Wang, S. Development of an EOR-Produced Petroleum Wastewater Treatment System through Integrated Polyacrylonitrile Membrane and ZrO2/Sericin Technologies: Revelation of Interactive Mechanism Based on Synchrotron and XDLVO Analyses. Npj Clean Water 2025, 8, 24. [Google Scholar] [CrossRef]














| Experimental Parameters Under the Solution Conditions | Standard Condition | Additional Conditions |
|---|---|---|
| pH | 6.8 | 2.8, 4.8, 7.8 |
| oat protein: β-glucan | 1:1 | 4:1, 1:4, 1:9 |
| c (NaCl) | 0.1 M | 0 M, 0.3 M, 0.5 M |
| c (Ca2+) | 1 mM | 0 mM, 3 mM, 5 mM |
Disclaimer/Publisher’s Note: The statements, opinions and data contained in all publications are solely those of the individual author(s) and contributor(s) and not of MDPI and/or the editor(s). MDPI and/or the editor(s) disclaim responsibility for any injury to people or property resulting from any ideas, methods, instructions or products referred to in the content. |
© 2026 by the authors. Licensee MDPI, Basel, Switzerland. This article is an open access article distributed under the terms and conditions of the Creative Commons Attribution (CC BY) license.
Share and Cite
Zheng, T.; Wen, S.; Wu, Y.; Shuai, P.; Hou, D.; Jin, Y. Membrane Fouling Mechanisms in the Microfiltration of Oat Protein–β-Glucan Complexes. Membranes 2026, 16, 116. https://doi.org/10.3390/membranes16040116
Zheng T, Wen S, Wu Y, Shuai P, Hou D, Jin Y. Membrane Fouling Mechanisms in the Microfiltration of Oat Protein–β-Glucan Complexes. Membranes. 2026; 16(4):116. https://doi.org/10.3390/membranes16040116
Chicago/Turabian StyleZheng, Tianyu, Songlin Wen, Yi Wu, Pengyu Shuai, Delong Hou, and Yao Jin. 2026. "Membrane Fouling Mechanisms in the Microfiltration of Oat Protein–β-Glucan Complexes" Membranes 16, no. 4: 116. https://doi.org/10.3390/membranes16040116
APA StyleZheng, T., Wen, S., Wu, Y., Shuai, P., Hou, D., & Jin, Y. (2026). Membrane Fouling Mechanisms in the Microfiltration of Oat Protein–β-Glucan Complexes. Membranes, 16(4), 116. https://doi.org/10.3390/membranes16040116
