Practical Osmotic Agent for High-Degree Pharmaceutical Pre-Concentration by Organic Solvent Forward Osmosis
Abstract
1. Introduction
2. Screening of Osmotic Agents
3. Experimental Methods
3.1. Materials and Chemicals
3.2. Fabrication of TFC HF Membrane
3.3. Osmotic Pressure Measurement
3.4. OSFO Performance Test
3.5. High-Degree Concentration by OSFO
4. Results and Discussion
4.1. Organic Solvent-Resistant Membrane for OSFO
4.2. Osmotic Pressure of DS
4.3. Flux Measurement in OSFO
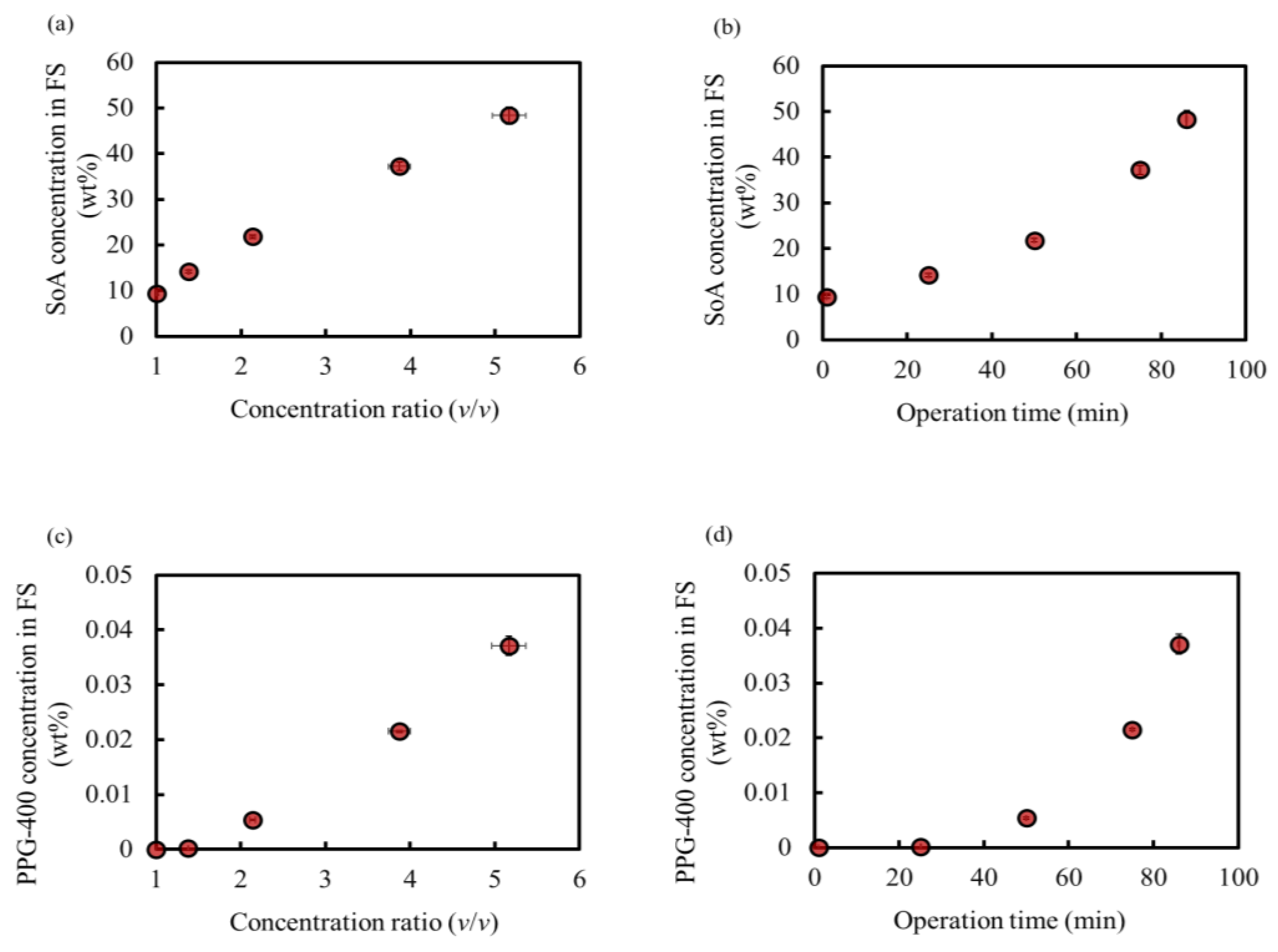
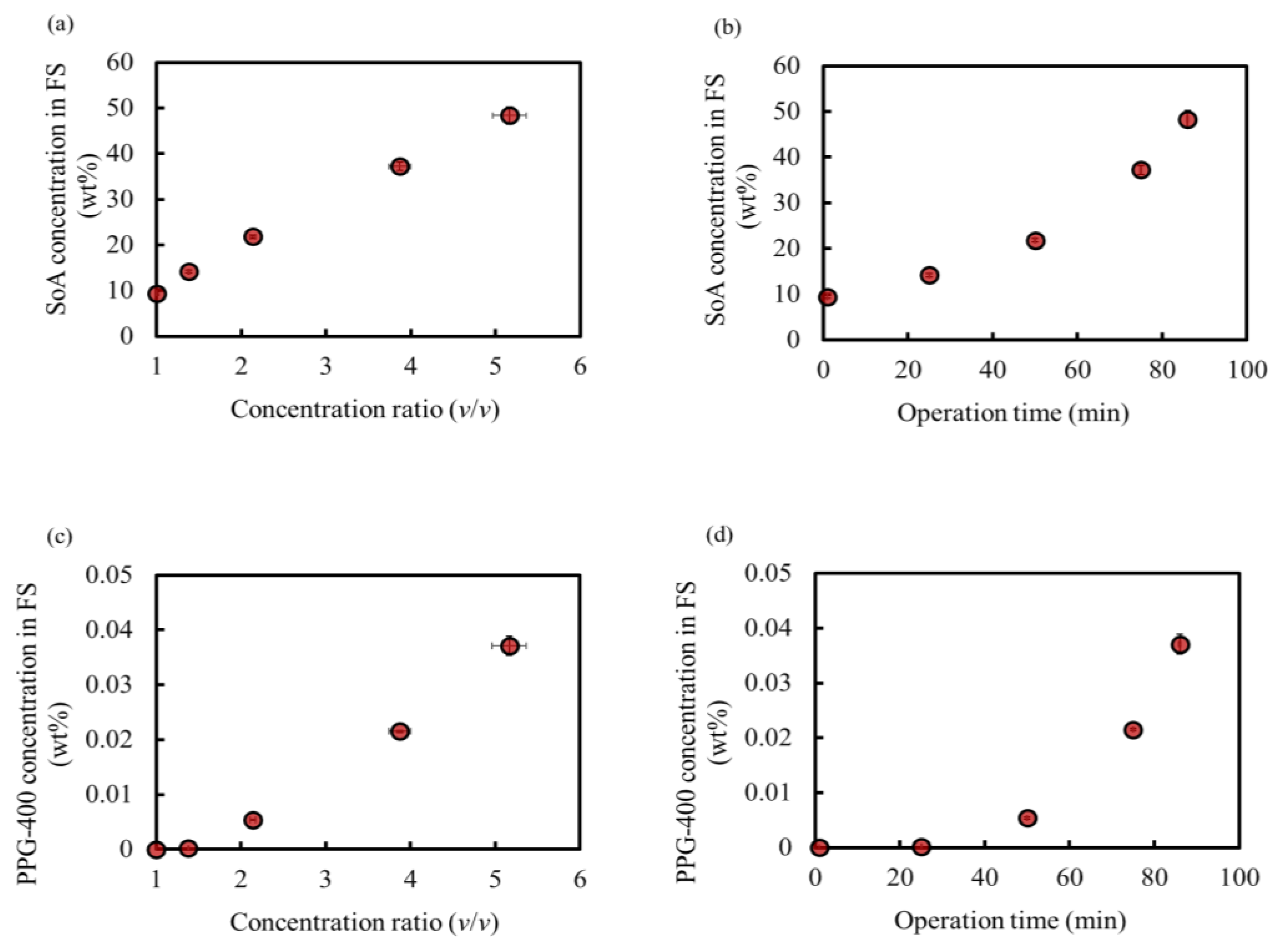
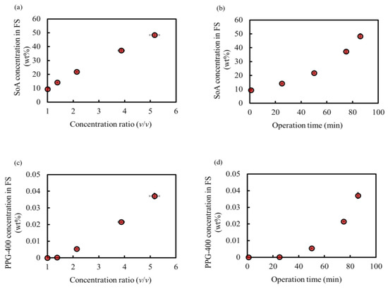
4.4. High-Degree Concentration
5. Conclusions
Supplementary Materials
Author Contributions
Funding
Institutional Review Board Statement
Informed Consent Statement
Data Availability Statement
Conflicts of Interest
References
- Marchetti, P.; Solomon, M.F.J.; Szekely, G.; Livingston, A.G. Molecular separation with organic solvent nanofiltration: A critical review. Chem. Rev. 2014, 114, 10735–10806. [Google Scholar] [CrossRef] [PubMed]
- Neal, A.G. Practical Process Research and Development, 2nd ed.; Academic Press: Oxford, UK, 2012. [Google Scholar]
- Takada, R.; Takagi, R.; Matsuyama, H. High-degree concentration organic solvent forward osmosis for pharmaceutical pre-concentration. Membranes 2024, 14, 14. [Google Scholar] [CrossRef] [PubMed]
- Ren, D.; Ren, S.; Lin, Y.; Xu, J.; Wang, X. Recent developments of organic solvent resistant materials for membrane separations. Chemosphere 2021, 271, 129425. [Google Scholar] [CrossRef] [PubMed]
- Cui, Y.; Chung, T.S. Pharmaceutical concentration using organic solvent forward osmosis for solvent recovery. Nat. Commun. 2018, 9, 1426. [Google Scholar] [CrossRef] [PubMed]
- Goh, K.S.; Chen, Y.; Ng, D.Y.F.; Chew, J.W.; Wang, R. Organic solvent forward osmosis membranes for pharmaceutical concentration. J. Membr. Sci. 2022, 642, 119965. [Google Scholar] [CrossRef]
- Li, J.; Gonzales, R.R.; Takagi, R.; Chen, Y.C.; Matsuoka, A.; Deng, L.; Matsuyama, H. Continuous purification of drugs by ionic liquid-drawn organic solvent forward osmosis and solute recovery. Environ. Chem. Lett. 2024, 22, 29. [Google Scholar] [CrossRef]
- Peeva, L.G.; Gibbins, E.; Luthra, S.S.; White, L.S.; Stateva, R.P.; Livingston, A.G. Effect of concentration polarisation and osmotic pressure on flux in organic solvent nanofiltration. J. Membr. Sci. 2004, 236, 121. [Google Scholar] [CrossRef]
- Alfonsi, K.; Colberg, J.; Dunn, P.J.; Fevig, T.; Jennings, S.; Johnson, T.A.; Kleine, H.P.; Knight, C.; Nagy, M.A.; Perry, D.A.; et al. Green chemistry tools to influence a medicinal chemistry and research chemistry based organization. Green Chem. 2008, 10, 31. [Google Scholar] [CrossRef]
- Constable, D.J.C.; Jimenez-Gonzalez, C.; Henderson, R.K. Perspective on solvent use in the pharmaceutical industry. Org. Process Res. Dev. 2007, 11, 133. [Google Scholar] [CrossRef]
- Sheskey, P.J.; Hancock, B.C.; Moss, G.P.; Goldfarb, D.J. Handbook of Pharmaceutical Excipients, 9th ed.; Pharmaceutical Press: London, UK, 2020. [Google Scholar]
- Shilpa, P.C.; Pradeep, S.P. Pharmaceutical excipients: A review. Int. J. Adv. Pharm. Biol. Chem. 2012, 1, 21–34. [Google Scholar]
- Kang, B.K.; Lee, J.S.; Chon, S.K.; Jeong, S.Y.; Yuk, S.H.; Khang, G.; Lee, H.B.; Cho, S.H. Development of self-microemulsifying drug delivery systems (SMEDDS) for oral bioavailability enhancement of simvastatin in beagle dogs. Int. J. Pharm. 2004, 274, 65. [Google Scholar] [CrossRef] [PubMed]
- Patel, R.; Barker, J.; ElShaer, A. Pharmaceutical excipients and drug metabolism: A mini-review. Int. J. Mol. Sci. 2020, 21, 8224. [Google Scholar] [CrossRef] [PubMed]
- Gunjal, V.B.; Sonawane, D.S.; Ahire, S.K.; Jadhav, P.K.; Deore, Y.K.; Jadhav, S.P.; Patil, D.M. A review on novel excipients. Int. J. Pharm. Sci. 2023, 1, 304. [Google Scholar]
- A Compound Summary of Tween 20 (Polysorbate 20). Available online: https://pubchem.ncbi.nlm.nih.gov/compound/443314 (accessed on 12 January 2024).
- Kagaku Shohin (Chemical Products Handbook); The Chemical Daily Co., Ltd.: Tokyo, Japan, 2016.
- Repligen’s Single-Use Cassette Filters for Protein-Based Pharmaceutical Concentration. Available online: https://jp.repligen.com/products/downstream-filtration/tangenx-cassettes/tangenx-sius (accessed on 25 July 2024).
- Asahi-kasei’s Single-Use Filters for Virus Removal of Antibody-Based Pharmaceutical. Available online: https://fluidmgmt.ak-bio.com/wp-content/uploads/2021/02/Planova-SU-VFC_Brochure.pdf (accessed on 25 July 2024).
- Liu, Y.; Chen, Z.; Liu, G.; Belmabkhout, Y.; Adil, K.; Eddaoudi, M.; Koros, W. Conformation-controlled molecular sieving effects for membrane-based propylene/propane separation. Adv. Mater. 2019, 31, e1807513. [Google Scholar] [CrossRef] [PubMed]
- McQuarrie, D.A.; Simon, J.D. Physical Chemistry: A Molecular Approach; University Science Books: New York, NY, USA, 1997. [Google Scholar]
- MeOH: Safety Data Sheet of Maker. Available online: https://labchem-wako.fujifilm.com/sds/W01W0113-0182JGHEJP.pdf (accessed on 12 January 2024).
- PPG-400: Safety Data Sheet of Maker. Available online: https://labchem-wako.fujifilm.com/sds/W01W0116-1757JGHEJP.pdf (accessed on 12 January 2024).
- JIS K3832; Testing Methods for Bubble Point of Membrane Filters. Japanese Industrial Standard: Tokyo, Japan, 1990.
- Shibuya, M.; Yasukawa, M.; Mishima, S.; Tanaka, Y.; Takahashi, T.; Matsuyama, H. A thin-film composite-hollow fiber forward osmosis membrane with a polyketone hollow fiber membrane as a support. Desalination 2017, 402, 33. [Google Scholar] [CrossRef]
- Sato, D.; Kaneda, M.; Komatsu, T. Polyketone Porous. Film. Patent No. WO2013/035747, 14 March 2013. [Google Scholar]
- Tang, C.Y.; Kwon, Y.N.; Leckie, J.O. Effect of membrane chemistry and coating layer on physiochemical properties of thin film composite polyamide RO and NF membranes I. FTIR and XPS characterization of polyamide and coating layer chemistry. Desalination 2009, 242, 149. [Google Scholar] [CrossRef]







| Osmotic Agent | Solubility in MeOH at 23 °C (wt%) | Room Temperature Phase | Viscosity (mPa·s) at 30 °C * | Solubility in Water at 23 °C (wt%) |
|---|---|---|---|---|
| PEG-400 | Miscible | Liquid | 65 | Miscible |
| NaCl | – | Solid | – | – |
| KCl | – | Solid | – | – |
| PEG-600 | >90 | Solid | – | – |
| PEG-1000 | 76–80 | Solid | – | – |
| PEG-2000 | 57–60 | Solid | – | – |
| PPG-400 | Miscible | Liquid | 24 | Miscible |
| PPG-700 | Miscible | Liquid | 69 | 5 |
| PPG-1000 | Miscible | Liquid | 101 | 3 |
| PPG-2000 | Miscible | Liquid | 225 | <1 |
| Polysorbate 20 | Soluble [16] | Liquid | ca. 400 [11] | Soluble [16] |
| Sucrose | – | Solid | – | – |
| Maltose | – | Solid | – | – |
| Dimension (nm) | ||||
|---|---|---|---|---|
| Length | Width | Height | ||
| Initial chain | PEG | 3.0 | 0.4 | 0.8 |
| PPG | 2.1 | 0.5 | 1.0 | |
| Stretched chain in MeOH | PEG | 2.2 | 0.6 | 0.9 |
| PPG | 1.9 | 0.7 | 1.0 | |
| Twisted chain in MeOH | PEG | 1.3 | 0.9 | 0.8 |
| PPG | 1.5 | 0.7 | 1.0 | |
Disclaimer/Publisher’s Note: The statements, opinions and data contained in all publications are solely those of the individual author(s) and contributor(s) and not of MDPI and/or the editor(s). MDPI and/or the editor(s) disclaim responsibility for any injury to people or property resulting from any ideas, methods, instructions or products referred to in the content. |
© 2024 by the authors. Licensee MDPI, Basel, Switzerland. This article is an open access article distributed under the terms and conditions of the Creative Commons Attribution (CC BY) license (https://creativecommons.org/licenses/by/4.0/).
Share and Cite
Takada, R.; Takagi, R.; Mai, Z.; Matsuoka, A.; Matsuyama, H. Practical Osmotic Agent for High-Degree Pharmaceutical Pre-Concentration by Organic Solvent Forward Osmosis. Membranes 2024, 14, 187. https://doi.org/10.3390/membranes14090187
Takada R, Takagi R, Mai Z, Matsuoka A, Matsuyama H. Practical Osmotic Agent for High-Degree Pharmaceutical Pre-Concentration by Organic Solvent Forward Osmosis. Membranes. 2024; 14(9):187. https://doi.org/10.3390/membranes14090187
Chicago/Turabian StyleTakada, Ryoichi, Ryosuke Takagi, Zhaohuan Mai, Atsushi Matsuoka, and Hideto Matsuyama. 2024. "Practical Osmotic Agent for High-Degree Pharmaceutical Pre-Concentration by Organic Solvent Forward Osmosis" Membranes 14, no. 9: 187. https://doi.org/10.3390/membranes14090187
APA StyleTakada, R., Takagi, R., Mai, Z., Matsuoka, A., & Matsuyama, H. (2024). Practical Osmotic Agent for High-Degree Pharmaceutical Pre-Concentration by Organic Solvent Forward Osmosis. Membranes, 14(9), 187. https://doi.org/10.3390/membranes14090187

