Screening of Commercial Organic Solvent Nanofiltration Membranes for Purification of Plastic Waste Pyrolysis Liquids
Abstract
:1. Introduction
2. Materials and Methods
2.1. Membranes
2.2. Chemicals and Model Mixtures
2.3. Experimental Setup and Procedure
2.4. Analysis
2.5. Fouling
3. Results
3.1. Model Mixtures
3.1.1. Flux
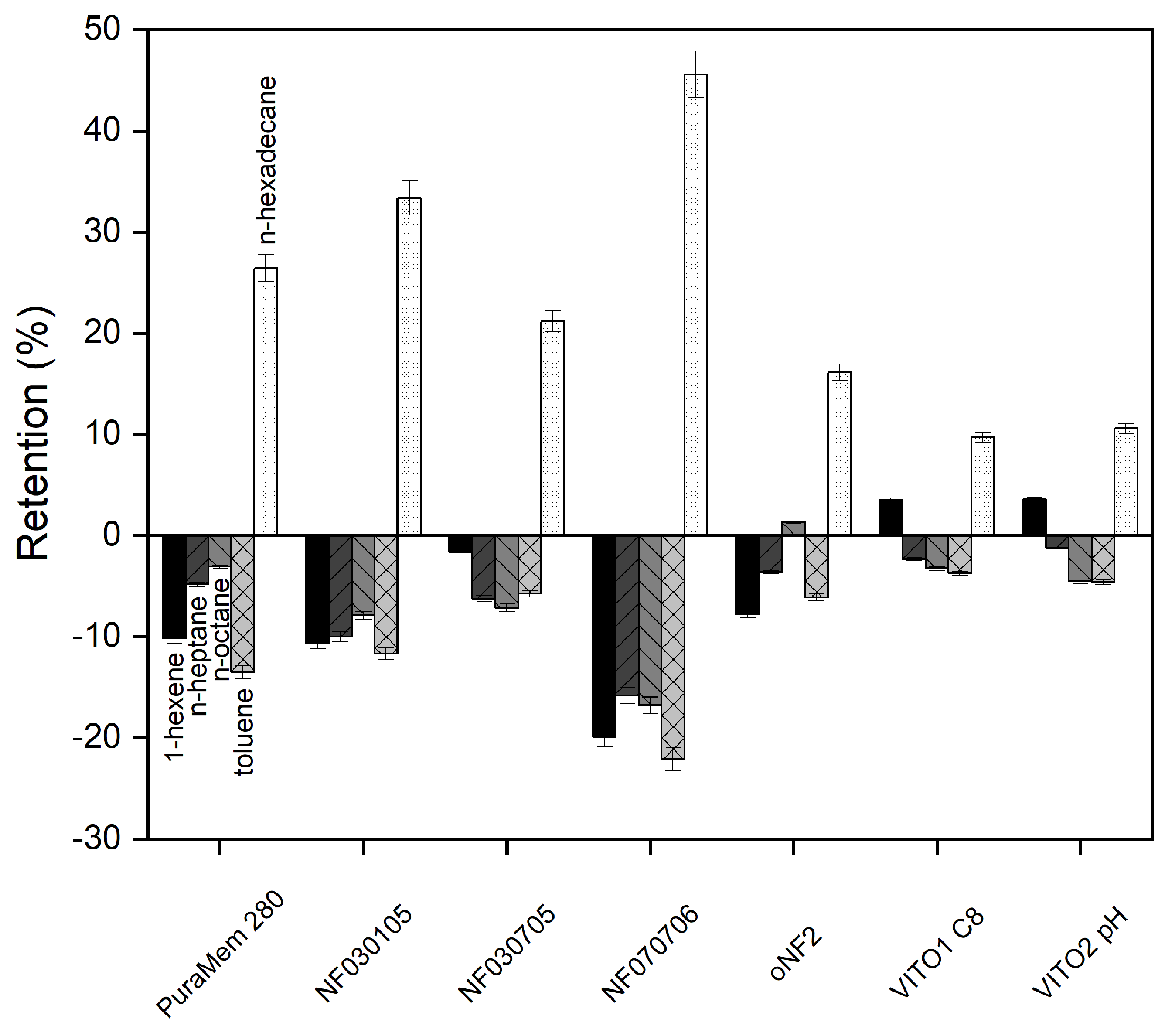
3.1.2. Retention
3.1.3. Effect of Crossflow Velocity
3.2. Experiments with Real Pyrolyis Oil
3.2.1. Flux and Retention
3.2.2. Fouling
4. Discussion and Conclusions
Author Contributions
Funding
Data Availability Statement
Conflicts of Interest
References
- Wilts, C.; Bakas, I. Preventing Plastic Waste in Europe; Technical Report 02; European Environmental Agency: Copenhaguen, Denmark, 2019. [Google Scholar] [CrossRef]
- Wong, S.L.; Ngadi, N.; Abdullah, T.A.; Inuwa, I.M. Current state and future prospects of plastic waste as source of fuel: A review. Renew. Sustain. Energy Rev. 2015, 50, 1167–1180. [Google Scholar] [CrossRef]
- Jambeck, J.R.; Geyer, R.; Wilcox, C.; Siegler, T.R.; Perryman, M.; Andrady, A.; Narayan, R.; Law, K.L. Plastic waste inputs from land into the ocean. Science 2015, 347, 768–771. [Google Scholar] [CrossRef] [PubMed]
- Sakthipriya, N. Plastic waste management: A road map to achieve circular economy and recent innovations in pyrolysis. Sci. Total Environ. 2022, 809, 151160. [Google Scholar] [CrossRef]
- Qureshi, M.S.; Oasmaa, A.; Pihkola, H.; Deviatkin, I.; Tenhunen, A.; Mannila, J.; Minkkinen, H.; Pohjakallio, M.; Laine-Ylijoki, J. Pyrolysis of plastic waste: Opportunities and challenges. J. Anal. Appl. Pyrolysis 2020, 152, 104804. [Google Scholar] [CrossRef]
- Aguado Alonso, J.; Serrano, D.P. Feedstock Recycling of Plastic Wastes; Royal Society of Chemistry (RSC); Royal Society of Chemistry: Cambridge, UK, 1999. [Google Scholar]
- Siddiqui, M.N.; Redhwi, H.H. Pyrolysis of mixed plastics for the recovery of useful products. Fuel Process. Technol. 2009, 90, 545–552. [Google Scholar] [CrossRef]
- Serrano, D.P.; Aguado, J.; Escola, J.M. Developing advanced catalysts for the conversion of polyolefinic waste plastics into fuels and chemicals. ACS Catal. 2012, 2, 1924–1941. [Google Scholar] [CrossRef]
- Wiriyaumpaiwong, S.; Jamradloedluk, J. Distillation of Pyrolytic Oil Obtained from Fast Pyrolysis of Plastic Wastes. Energy Procedia 2017, 138, 111–115. [Google Scholar] [CrossRef]
- Chan, Y.H.; Loh, S.K.; Chin, B.L.F.; Yiin, C.L.; How, B.S.; Cheah, K.W.; Wong, M.K.; Loy, A.C.M.; Gwee, Y.L.; Lo, S.L.Y.; et al. Fractionation and extraction of bio-oil for production of greener fuel and value-added chemicals: Recent advances and future prospects. Chem. Eng. J. 2020, 397, 125406. [Google Scholar] [CrossRef]
- Szekely, G.; Jimenez-Solomon, M.F.; Marchetti, P.; Kim, J.F.; Livingston, A.G. Sustainability assessment of organic solvent nanofiltration: From fabrication to application. Green Chem. 2014, 16, 4440–4473. [Google Scholar] [CrossRef]
- Rundquist, E.M.; Pink, C.J.; Livingston, A.G. Organic solvent nanofiltration: A potential alternative to distillation for solvent recovery from crystallisation mother liquors. Green Chem. 2012, 14, 2197–2205. [Google Scholar] [CrossRef]
- Priske, M.; Lazar, M.; Schnitzer, C.; Baumgarten, G. Recent Applications of Organic Solvent Nanofiltration. Chem. Ing. Tech. 2016, 88, 39–49. [Google Scholar] [CrossRef]
- Siew, W.E.; Livingston, A.G.; Ates, C.; Merschaert, A. Molecular separation with an organic solvent nanofiltration cascade - augmenting membrane selectivity with process engineering. Chem. Eng. Sci. 2013, 90, 299–310. [Google Scholar] [CrossRef]
- Volkov, A.V.; Korneeva, G.A.; Tereshchenko, G.F. Organic solvent nanofiltration: Prospects and application. Russ. Chem. Rev. 2008, 77, 983. [Google Scholar] [CrossRef]
- Merlet, R.; Winnubst, L.; Nijmeijer, A.; Amirilargani, M.; Sudhölter, E.J.; de Smet, L.C.; Cob, S.S.; Vandezande, P.; Dorbec, M.; Sluijter, S.; et al. Comparing the Performance of Organic Solvent Nanofiltration Membranes in Non-Polar Solvents. Chem. Ing. Tech. 2021, 93, 1389–1395. [Google Scholar] [CrossRef]
- Toh, Y.S.; Loh, X.; Li, K.; Bismarck, A.; Livingston, A. In search of a standard method for the characterisation of organic solvent nanofiltration membranes. J. Membr. Sci. 2007, 291, 120–125. [Google Scholar] [CrossRef]
- Schmidt, P.; Bednarz, E.L.; Lutze, P.; Górak, A. Characterisation of Organic Solvent Nanofiltration membranes in multi-component mixtures: Process design workflow for utilising targeted solvent modifications. Chem. Eng. Sci. 2014, 115, 115–126. [Google Scholar] [CrossRef]
- Low, Z.X.; Shen, J. Determining stability of organic solvent nanofiltration membranes by cross-flow aging. Sep. Purif. Technol. 2021, 256, 117840. [Google Scholar] [CrossRef]
- Marchetti, P.; Livingston, A.G. Predictive membrane transport models for Organic Solvent Nanofiltration: How complex do we need to be? J. Membr. Sci. 2015, 476, 530–553. [Google Scholar] [CrossRef]
- Baker, R.W.R.W. Membrane Technology and Applications; John Wiley & Sons: Hoboken, NJ, USA, 2012. [Google Scholar]
- Peeva, L.G.; Gibbins, E.; Luthra, S.S.; White, L.S.; Stateva, R.P.; Livingston, A.G. Effect of concentration polarisation and osmotic pressure on flux in organic solvent nanofiltration. J. Membr. Sci. 2004, 236, 121–136. [Google Scholar] [CrossRef]







| Supplier | Type | Batchno. | Membrane Architecture | Material | |
|---|---|---|---|---|---|
| Support | Selective Layer | ||||
| Evonik | Puramem 280 | M257/1 | TFC | Polyimid | Proprietary |
| SolSep | NF030105 | 1808S | TFC | Proprietary | Proprietary |
| SolSep | NF030705 | 1905S | TFC | Proprietary | Proprietary |
| SolSep | NF070706 | 1810S | TFC | Proprietary | Proprietary |
| Borsig | oNF-2 | 2844 | TFC | Proprietary | Proprietary |
| VITO | C8 | n/a | Ceramic, tubular | TiO2 | Proprietary Grignard-grafted |
| VITO | Ph | n/a | Ceramic, tubular | TiO2 | Proprietary Grignard-grafted |
| VITO | HDPA | n/a | Ceramic, tubular | TiO2 | Proprietary Grignard-grafted |
| Compound | Mix A | Mix B | MW (g mol−1) |
|---|---|---|---|
| n-Octane | 20.0% | 19.5% | 114.2 |
| n-Hexadecane | 20.0% | 9.7% | 226.4 |
| 1-Hexene | 10.0% | 24.3% | 84.2 |
| Toluene | 25.0% | 15.4% | 92.1 |
| n-Heptane | 25.0% | 20.6% | 100.2 |
| Cumene | 0.0% | 10.2% | 120.2 |
| 1-Methylnaphthalene | 0.0% | 0.1% | 140.2 |
| Compound | wt% | MW (g mol−1) |
|---|---|---|
| 2,4-Dimethyl-1-heptene | 22.4% | 126.2 |
| Pentane | 14.8% | 72.2 |
| 2-Hexene, 5-methyl | 11.2% | 96.2 |
| Toluene | 10.2% | 92.1 |
| Styrene | 5.6% | 104.2 |
| 2-Pentene, 3-methyl- | 5.0% | 84.2 |
| Benzene, 1-methylethyl | 4.8% | 120.2 |
| Octane | 4.6% | 114.2 |
| Heptane, 4-methyl- | 4.5% | 114.2 |
| Ethylbenzene | 3.3% | 106.2 |
| 1-Propene, 2-methyl- | 2.6% | 56.1 |
| Heptane | 2.4% | 100.2 |
| Cyclohexane, 3,3,5-trimethyl | 2.1% | 124.2 |
| 1,3-Pentadiene, 2-methyl | 2.0% | 82.1 |
| Methylstyrene | 1.6% | 118.2 |
| 2-Pentene, 4-methyl- | 1.5% | 84.2 |
| Cyclohexane, 1,3,5-trimethyl- | 0.8% | 124.2 |
| Pentane, 2-methyl- | 0.5% | 86.2 |
| 1-Pentene, 2-methyl- | 0.5% | 84.2 |
| 1-Heptene | 0.5% | 98.2 |
| 280 | C8 | |
|---|---|---|
| Compound | Retention | |
| Cyclohexane, 1,3,5-trimethyl- | +14.5% | +14.1% |
| Cyclohexane, 3,3,5-trimethyl | +10.9% | +12.0% |
| 2,4-Dimethyl-1-heptene | +7.7% | +7.9% |
| Octane | +3.8% | +3.6% |
| 2-Pentene, 3-methyl- | +3.5% | +0.0% |
| Heptane, 4-methyl- | +1.9% | +2.9% |
| Benzene, 1-methylethyl | +1.4% | +2.5% |
| Heptane | +0.2% | −0.9% |
| 1,3-Pentadiene, 2-methyl | −1.9% | +0.5% |
| Ethylbenzene | −2.1% | −3.5% |
| Methylstyrene | −2.3% | −0.2% |
| 2-Hexene, 5-methyl | −2.9% | −3.9% |
| 2-Pentene, 4-methyl- | −4.4% | −7.4% |
| Pentane | −4.7% | −3.3% |
| Toluene | −4.7% | −5.8% |
| Styrene | −5.3% | −5.0% |
| 1-Pentene, 2-methyl- | −6.4% | −6.7% |
| 1-Propene, 2-methyl- | −9.2% | +3.3% |
| 1-Heptene | −9.8% | −12.4% |
| Pentane, 2-methyl- | −13.1% | −15.1% |
Disclaimer/Publisher’s Note: The statements, opinions and data contained in all publications are solely those of the individual author(s) and contributor(s) and not of MDPI and/or the editor(s). MDPI and/or the editor(s) disclaim responsibility for any injury to people or property resulting from any ideas, methods, instructions or products referred to in the content. |
© 2023 by the authors. Licensee MDPI, Basel, Switzerland. This article is an open access article distributed under the terms and conditions of the Creative Commons Attribution (CC BY) license (https://creativecommons.org/licenses/by/4.0/).
Share and Cite
van Lin, R.; Sosa Fernandez, P.A.; Visser, T.; de Wit, P. Screening of Commercial Organic Solvent Nanofiltration Membranes for Purification of Plastic Waste Pyrolysis Liquids. Membranes 2023, 13, 792. https://doi.org/10.3390/membranes13090792
van Lin R, Sosa Fernandez PA, Visser T, de Wit P. Screening of Commercial Organic Solvent Nanofiltration Membranes for Purification of Plastic Waste Pyrolysis Liquids. Membranes. 2023; 13(9):792. https://doi.org/10.3390/membranes13090792
Chicago/Turabian Stylevan Lin, Rick, Paulina A. Sosa Fernandez, Tymen Visser, and Patrick de Wit. 2023. "Screening of Commercial Organic Solvent Nanofiltration Membranes for Purification of Plastic Waste Pyrolysis Liquids" Membranes 13, no. 9: 792. https://doi.org/10.3390/membranes13090792
APA Stylevan Lin, R., Sosa Fernandez, P. A., Visser, T., & de Wit, P. (2023). Screening of Commercial Organic Solvent Nanofiltration Membranes for Purification of Plastic Waste Pyrolysis Liquids. Membranes, 13(9), 792. https://doi.org/10.3390/membranes13090792

