Effect of TiO2 and Al2O3 Addition on the Performance of Chitosan/Phosphotungstic Composite Membranes for Direct Methanol Fuel Cells
Abstract
:1. Introduction
2. Materials and Methods
2.1. Materials
2.2. Membrane Synthesis
2.3. X-ray Diffraction (XRD)
2.4. SEM Characterization
2.5. Liquid Uptake
2.6. Ion Exchange Capacity
2.7. Methanol Permeability
2.8. Thermogravimetric Analysis
2.9. Single DMFC Performances
3. Results and Discussion
3.1. XRD Analysis
3.2. Membranes Morphology and TGA Analysis
3.3. Liquid Uptake
3.4. Ion Exchange Capacity
3.5. Methanol Permeability
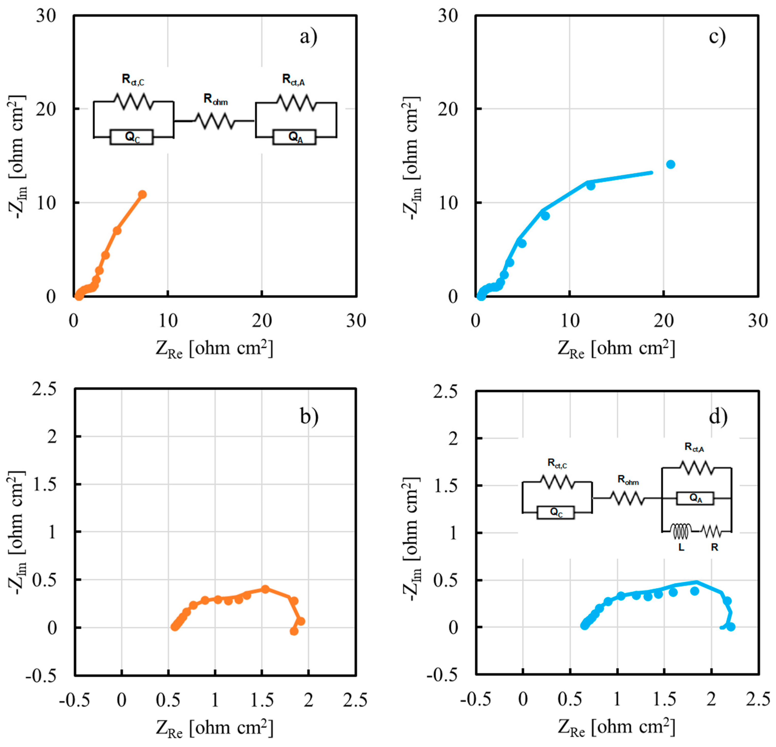
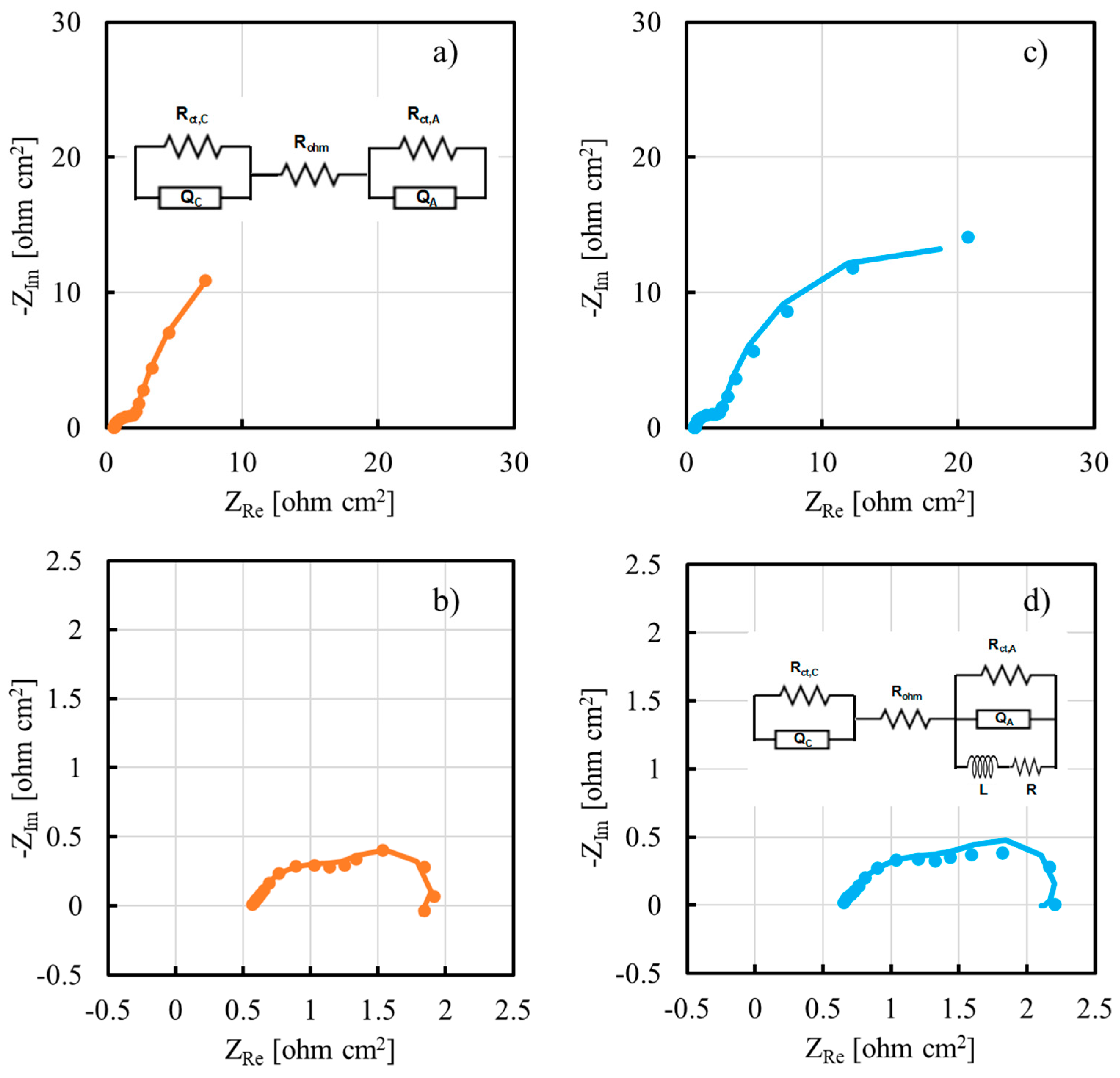
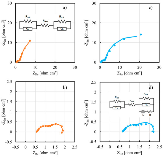
3.6. Single DMFC Performance
4. Conclusions
Supplementary Materials
Author Contributions
Funding
Institutional Review Board Statement
Informed Consent Statement
Data Availability Statement
Conflicts of Interest
References
- Dias, V.; Pochet, M.; Contino, F.; Jeanmart, H. Energy and Economic Costs of Chemical Storage. Front. Mech. Eng. 2020, 6, 21. [Google Scholar] [CrossRef]
- Feng, Y.; Liu, H.; Yang, J. A Selective Electrocatalyst-Based Direct Methanol Fuel Cell Operated at High Concentrations of Methanol. Sci. Adv. 2017, 3, e1700580. [Google Scholar] [CrossRef] [PubMed]
- Metzger, N.; Li, X. Technical and Economic Analysis of Fuel Cells for Forklift Applications. ACS Omega 2022, 7, 18267–18275. [Google Scholar] [CrossRef]
- Hoppe, W.; Thonemann, N.; Bringezu, S. Life Cycle Assessment of Carbon Dioxide–Based Production of Methane and Methanol and Derived Polymers. J. Ind. Ecol. 2018, 22, 327–340. [Google Scholar] [CrossRef]
- U.S. DOE (Department of Energy). Hydrogen and Fuel Cells Program Record. Well-to-Wheels Greenhouse Gas Emissions for Methanol to Hydrogen Pathways, Record #16001. 2016. [Google Scholar]
- Munjewar, S.S.; Thombre, S.B.; Mallick, R.K. Approaches to Overcome the Barrier Issues of Passive Direct Methanol Fuel Cell—Review. Renew. Sustain. Energy Rev. 2017, 67, 1087–1104. [Google Scholar]
- Xia, Z.; Zhang, X.; Sun, H.; Wang, S.; Sun, G. Recent Advances in Multi-Scale Design and Construction of Materials for Direct Methanol Fuel Cells. Nano Energy 2019, 65, 104048. [Google Scholar] [CrossRef]
- Kaur, A.; Kaur, G.; Singh, P.P.; Kaushal, S. Supported Bimetallic Nanoparticles as Anode Catalysts for Direct Methanol Fuel Cells: A Review. Int. J. Hydrog. Energy 2021, 46, 15820–15849. [Google Scholar]
- De Sá, M.H.; Moreira, C.S.; Pinto, A.M.F.R.; Oliveira, V.B. Recent Advances in the Development of Nanocatalysts for Direct Methanol Fuel Cells. Energies 2022, 15, 6335. [Google Scholar]
- Sekar, A.; Metzger, N.; Rajendran, S.; Elangovan, A.; Cao, Y.; Peng, F.; Li, X.; Li, J. PtRu Catalysts on Nitrogen-Doped Carbon Nanotubes with Conformal Hydrogenated TiO2Shells for Methanol Oxidation. ACS Appl. Nano Mater. 2022, 5, 3275–3288. [Google Scholar] [CrossRef]
- Ren, X.; Springer, T.E.; Zawodzinski, T.A.; Gottesfeld, S. Methanol Transport Through Nation Membranes. Electro-Osmotic Drag Effects on Potential Step Measurements. J. Electrochem. Soc. 2000, 147, 466–474. [Google Scholar] [CrossRef]
- Duan, Y.; Ru, C.; Pang, Y.; Li, J.; Liu, B.; Zhao, C. Crosslinked PAEK-Based Nanofiber Reinforced Nafion Membrane with Ion-Paired Interfaces towards High-Concentration DMFC. J. Membr. Sci. 2022, 655, 120589. [Google Scholar] [CrossRef]
- Zhou, J.; Cao, J.; Zhang, Y.; Liu, J.; Chen, J.; Li, M.; Wang, W.; Liu, X. Overcoming Undesired Fuel Crossover: Goals of Methanol-Resistant Modification of Polymer Electrolyte Membranes. Renew. Sustain. Energy Rev. 2021, 138, 110660. [Google Scholar]
- Devrim, Y.; Erkan, S.; Baç, N.; Eroglu, I. Improvement of PEMFC Performance with Nafion/Inorganic Nanocomposite Membrane Electrode Assembly Prepared by Ultrasonic Coating Technique. Int. J. Hydrog. Energy 2012, 37, 16748–16758. [Google Scholar] [CrossRef]
- Ozden, A.; Ercelik, M.; Ozdemir, Y.; Devrim, Y.; Colpan, C.O. Enhancement of Direct Methanol Fuel Cell Performance through the Inclusion of Zirconium Phosphate. Int. J. Hydrog. Energy 2017, 42, 21501–21517. [Google Scholar] [CrossRef]
- Ezugbe, E.O.; Rathilal, S. Membrane Technologies in Wastewater Treatment: A Review. Membranes 2020, 10, 89. [Google Scholar] [CrossRef]
- Căprărescu, S.; Zgârian, R.G.; Tihan, G.T.; Purcar, V.; Totu, E.E.; Modrogan, C.; Chiriac, A.L.; Nicolae, C.A. Biopolymeric Membrane Enriched with Chitosan and Silver for Metallic Ions Removal. Polymers 2020, 12, 1792. [Google Scholar] [CrossRef]
- Căprărescu, S.; Modrogan, C.; Purcar, V.; Dăncilă, A.M.; Orbuleț, O.D. Study of Polyvinyl Alcohol-SiO2 Nanoparticles Polymeric Membrane in Wastewater Treatment Containing Zinc Ions. Polymers 2021, 13, 1875. [Google Scholar] [CrossRef]
- Santamaria, M.; Pecoraro, C.M.; di Quarto, F.; Bocchetta, P. Chitosan–Phosphotungstic Acid Complex as Membranes for Low Temperature H2–O2 Fuel Cell. J. Power Sources 2015, 276, 189–194. [Google Scholar] [CrossRef]
- Pecoraro, C.M.; Santamaria, M.; Bocchetta, P.; di Quarto, F. Influence of Synthesis Conditions on the Performance of Chitosan–Heteropolyacid Complexes as Membranes for Low Temperature H2–O2 Fuel Cell. Int. J. Hydrog. Energy 2015, 40, 14616–14626. [Google Scholar] [CrossRef]
- Santamaria, M.; Pecoraro, C.M.; di Franco, F.; di Quarto, F. Phosphomolybdic Acid and Mixed Phosphotungstic/Phosphomolybdic Acid Chitosan Membranes as Polymer Electrolyte for H2/O2 Fuel Cells. Int. J. Hydrog. Energy 2017, 42, 6211–6219. [Google Scholar]
- Santamaria, M.; Pecoraro, C.M.; di Franco, F.; di Quarto, F.; Gatto, I.; Saccà, A. Improvement in the Performance of Low Temperature H2–O2 Fuel Cell with Chitosan–Phosphotungstic Acid Composite Membranes. Int. J. Hydrog. Energy 2016, 41, 5389–5395. [Google Scholar] [CrossRef]
- Di Franco, F.; Zaffora, A.; Burgio, G.; Santamaria, M. Performance of H2-Fed Fuel Cell with Chitosan/Silicotungstic Acid Membrane as Proton Conductor. J. Appl. Electrochem. 2020, 50, 333–341. [Google Scholar] [CrossRef]
- Zaffora, A.; di Franco, F.; Gradino, E.; Santamaria, M. Methanol and Proton Transport through Chitosan-Phosphotungstic Acid Membranes for Direct Methanol Fuel Cell. Int. J. Energy Res. 2020, 44, 11550–11563. [Google Scholar] [CrossRef]
- Sun, C.; Negro, E.; Vezzù, K.; Pagot, G.; Cavinato, G.; Nale, A.; Herve Bang, Y.; di Noto, V. Hybrid Inorganic-Organic Proton-Conducting Membranes Based on SPEEK Doped with WO3 Nanoparticles for Application in Vanadium Redox Flow Batteries. Electrochim. Acta 2019, 309, 311–325. [Google Scholar] [CrossRef]
- Huang, T.S.; Wen, H.Y.; Chen, Y.Y.; Hung, P.H.; Hsieh, T.L.; Huang, W.Y.; Chang, M.Y. Ionomer Membranes Produced from Hexaarylbenzene-Based Partially Fluorinated Poly(Arylene Ether) Blends for Proton Exchange Membrane Fuel Cells. Membranes 2022, 12, 582. [Google Scholar] [CrossRef]
- Aburabie, J.; Lalia, B.; Hashaikeh, R. Proton Conductive, Low Methanol Crossover Cellulose-Based Membranes. Membranes 2021, 11, 539. [Google Scholar] [CrossRef] [PubMed]
- Gatto, I.; Stassi, A.; Passalacqua, E.; Aricò, A.S. An Electro-Kinetic Study of Oxygen Reduction in Polymer Electrolyte Fuel Cells at Intermediate Temperatures. Int. J. Hydrog. Energy 2013, 38, 675–681. [Google Scholar] [CrossRef]
- Gatto, I.; Carbone, A.; Saccà, A.; Passalacqua, E.; Oldani, C.; Merlo, L.; Sebastián, D.; Aricò, A.S.; Baglio, V. Increasing the Stability of Membrane-Electrode Assemblies Based on Aquivion® Membranes under Automotive Fuel Cell Conditions by Using Proper Catalysts and Ionomers. J. Electroanal. Chem. 2019, 842, 59–65. [Google Scholar] [CrossRef]
- Villaluenga, J.P.G.; Khayet, M.; López-Manchado, M.A.; Valentin, J.L.; Seoane, B.; Mengual, J.I. Gas Transport Properties of Polypropylene/Clay Composite Membranes. Eur. Polym. J. 2007, 43, 1132–1143. [Google Scholar] [CrossRef]
- Liu, D.; Xie, Y.; Zhong, J.; Yang, F.; Pang, J.; Jiang, Z. High Methanol Resistance Semi-Crystalline Sulfonated Poly(Ether Ketone) Proton Exchange Membrane for Direct Methanol Fuel Cell. J. Membr. Sci. 2022, 650, 120413. [Google Scholar] [CrossRef]
- Nwankwo, U.; Bucher, R.; Ekwealor, A.B.C.; Khamlich, S.; Maaza, M.; Ezema, F.I. Synthesis and Characterizations of Rutile-TiO2 Nanoparticles Derived from Chitin for Potential Photocatalytic Applications. Vacuum 2019, 161, 49–54. [Google Scholar] [CrossRef]
- Baglio, V.; di Blasi, A.; Aricò, A.S.; Antonucci, V.; Antonucci, P.L.; Trakanprapai, C.; Esposito, V.; Licoccia, S.; Traversa, E. Composite Mesoporous Titania Nafion-Based Membranes for Direct Methanol Fuel Cell Operation at High Temperature. J. Electrochem. Soc. 2005, 152, A1373. [Google Scholar] [CrossRef]
- Baglio, V.; Aricò, A.S.; di Blasi, A.; Antonucci, V.; Antonucci, P.L.; Licoccia, S.; Traversa, E.; Fiory, F.S. Nafion-TiO2 Composite DMFC Membranes: Physico-Chemical Properties of the Filier versus Electrochemical Performance. Electrochim. Acta 2005, 50, 1241–1246. [Google Scholar] [CrossRef]
- Saccà, A.; Carbone, A.; Passalacqua, E.; D’Epifanio, A.; Licoccia, S.; Traversa, E.; Sala, E.; Traini, F.; Ornelas, R. Nafion-TiO2 Hybrid Membranes for Medium Temperature Polymer Electrolyte Fuel Cells (PEFCs). J. Power Sources 2005, 152, 16–21. [Google Scholar] [CrossRef]
- Gouda, M.H.; Tamer, T.M.; Mohy Eldin, M.S. A Highly Selective Novel Green Cation Exchange Membrane Doped with Ceramic Nanotubes Material for Direct Methanol Fuel Cells. Energies 2021, 14, 5664. [Google Scholar] [CrossRef]
- Yuan, C.; Wang, Y. The Preparation of Novel Sulfonated Poly(Aryl Ether Ketone Sulfone)/TiO2 Composite Membranes with Low Methanol Permeability for Direct Methanol Fuel Cells. High Perform. Polym. 2021, 33, 326–337. [Google Scholar] [CrossRef]
- McCafferty, E. Relationship between the Isoelectric Point (PHpzc) and the Potential of Zero Charge (Epzc) for Passive Metals. Electrochim. Acta 2010, 55, 1630–1637. [Google Scholar] [CrossRef]
- Hosseinpour, M.; Sahoo, M.; Perez-Page, M.; Baylis, S.R.; Patel, F.; Holmes, S.M. Improving the Performance of Direct Methanol Fuel Cells by Implementing Multilayer Membranes Blended with Cellulose Nanocrystals. Int. J. Hydrog. Energy 2019, 44, 30409–30419. [Google Scholar] [CrossRef]
- Agmon, N. The Grotthuss Mechanism. Chem. Phys. Lett. 1995, 244, 456–462. [Google Scholar] [CrossRef]
- He, Y.; Wang, J.; Zhang, H.; Zhang, T.; Zhang, B.; Cao, S.; Liu, J. Polydopamine-Modified Graphene Oxide Nanocomposite Membrane for Proton Exchange Membrane Fuel Cell under Anhydrous Conditions. J. Mater. Chem. A Mater. 2014, 2, 9548–9558. [Google Scholar] [CrossRef]
- Kreuer, K.-D.; Rabenau, A.; Weppner, W. Vehicle Mechanism, A New Model for the Interpretation of the Conductivity of Fast Proton Conductors. Angew. Chem. 1982, 21, 208–209. [Google Scholar] [CrossRef]
- Melchior, J.P.; Kreuer, K.D.; Maier, J. Proton Conduction Mechanisms in the Phosphoric Acid-Water System (H4P2O7-H3PO4·2H2O): A 1H, 31P and 17O PFG-NMR and Conductivity Study. Phys. Chem. Chem. Phys. 2017, 19, 587–600. [Google Scholar] [CrossRef]










| Pristine CS/PTA | TiO2 (2% wt) | TiO2 (5% wt) | Al2O3 (2% wt) | Al2O3 (5% wt) | ||||||
|---|---|---|---|---|---|---|---|---|---|---|
| 550 mV | 250 mV | 550 mV | 250 mV | 550 mV | 250 mV | 550 mV | 250 mV | 550 mV | 250 mV | |
| Rohm [Ω·cm2] | 0.5 | 0.5 | 0.7 | 0.6 | 0.6 | 0.6 | 0.6 | 0.7 | 0.5 | 0.6 |
| Rct,C [Ω·cm2] | 3.5 | 1.3 | 2.8 | 1.2 | 1.6 | 0.7 | 2.0 | 0.9 | 5.7 | 1.5 |
| QC [S·sn·cm−2] | 0.04 | 0.03 | 0.05 | 0.13 | 0.05 | 0.06 | 0.04 | 0.06 | 0.04 | 0.07 |
| nC | 0.79 | 0.82 | 0.81 | 0.56 | 0.85 | 0.79 | 0.88 | 0.74 | 0.90 | 0.75 |
| Rct,A [Ω·cm2] | 74 | 1.9 | 34 | 2.0 | 40 | 1.1 | 30 | 1.4 | 25 | 1.7 |
| QA [S·sn·cm−2] | 0.28 | 0.27 | 0.29 | 0.58 | 0.33 | 0.41 | 0.39 | 0.32 | 0.38 | 0.84 |
| nA | 0.91 | 1 | 0.93 | 0.84 | 0.91 | 1 | 0.92 | 1 | 1 | 0.84 |
| L [H·cm2] | - | 1.2 | - | 1.0 | - | 0.8 | - | 0.7 | - | 0.6 |
| R [Ω·cm2] | - | 1 × 10−7 | - | 2.1 | - | 1 × 10−2 | - | 1 × 10−7 | - | 0.4 |
| 2 | 3 × 10−3 | 7 × 10−4 | 4 × 10−3 | 3 × 10−3 | 4 × 10−4 | 9 × 10−4 | 2 × 10−3 | 2 × 10−3 | 6 × 10−3 | 8 × 10−4 |
Disclaimer/Publisher’s Note: The statements, opinions and data contained in all publications are solely those of the individual author(s) and contributor(s) and not of MDPI and/or the editor(s). MDPI and/or the editor(s) disclaim responsibility for any injury to people or property resulting from any ideas, methods, instructions or products referred to in the content. |
© 2023 by the authors. Licensee MDPI, Basel, Switzerland. This article is an open access article distributed under the terms and conditions of the Creative Commons Attribution (CC BY) license (https://creativecommons.org/licenses/by/4.0/).
Share and Cite
Zaffora, A.; Giordano, E.; Volanti, V.M.; Iannucci, L.; Grassini, S.; Gatto, I.; Santamaria, M. Effect of TiO2 and Al2O3 Addition on the Performance of Chitosan/Phosphotungstic Composite Membranes for Direct Methanol Fuel Cells. Membranes 2023, 13, 210. https://doi.org/10.3390/membranes13020210
Zaffora A, Giordano E, Volanti VM, Iannucci L, Grassini S, Gatto I, Santamaria M. Effect of TiO2 and Al2O3 Addition on the Performance of Chitosan/Phosphotungstic Composite Membranes for Direct Methanol Fuel Cells. Membranes. 2023; 13(2):210. https://doi.org/10.3390/membranes13020210
Chicago/Turabian StyleZaffora, Andrea, Elena Giordano, Valentina Maria Volanti, Leonardo Iannucci, Sabrina Grassini, Irene Gatto, and Monica Santamaria. 2023. "Effect of TiO2 and Al2O3 Addition on the Performance of Chitosan/Phosphotungstic Composite Membranes for Direct Methanol Fuel Cells" Membranes 13, no. 2: 210. https://doi.org/10.3390/membranes13020210
APA StyleZaffora, A., Giordano, E., Volanti, V. M., Iannucci, L., Grassini, S., Gatto, I., & Santamaria, M. (2023). Effect of TiO2 and Al2O3 Addition on the Performance of Chitosan/Phosphotungstic Composite Membranes for Direct Methanol Fuel Cells. Membranes, 13(2), 210. https://doi.org/10.3390/membranes13020210

