A Langmuir-Blodgett Study of the Interaction between Amphotericin B and Lipids of Histoplasma capsulatum
Abstract
1. Introduction
2. Materials and Methods
2.1. Reagents
2.2. H. capsulatum Culture
2.3. Deactivation of H. capsulatum
2.4. Extraction of Lipids
2.5. Preparation of Fatty Acid Methyl Esters (FAMEs) (Fatty Acid Methylation)
2.6. Analysis of Fatty Acid by Gas Chromatography (GC Analysis of Fatty Acids)
2.7. Analysis of the Phospholipids and Glycolipids by Ultra High-Performance Liquid Chromatography (UHPLC)
2.8. Monolayer Studies
2.9. Monolayer Compression Isotherms
2.10. Geometry Optimization
2.11. Statistical Model of the Data Analysis
3. Results
3.1. Composition Analysis of Fatty Acids Associated to the External Surface of the Cell Wall in the Mycelial Phase of H. capsulatum by CG
3.2. Analysis of the Phospholipids Associated with the External Surface of the Cell Wall of the Mycelial Phase of H. capsulatum by ESI-MS
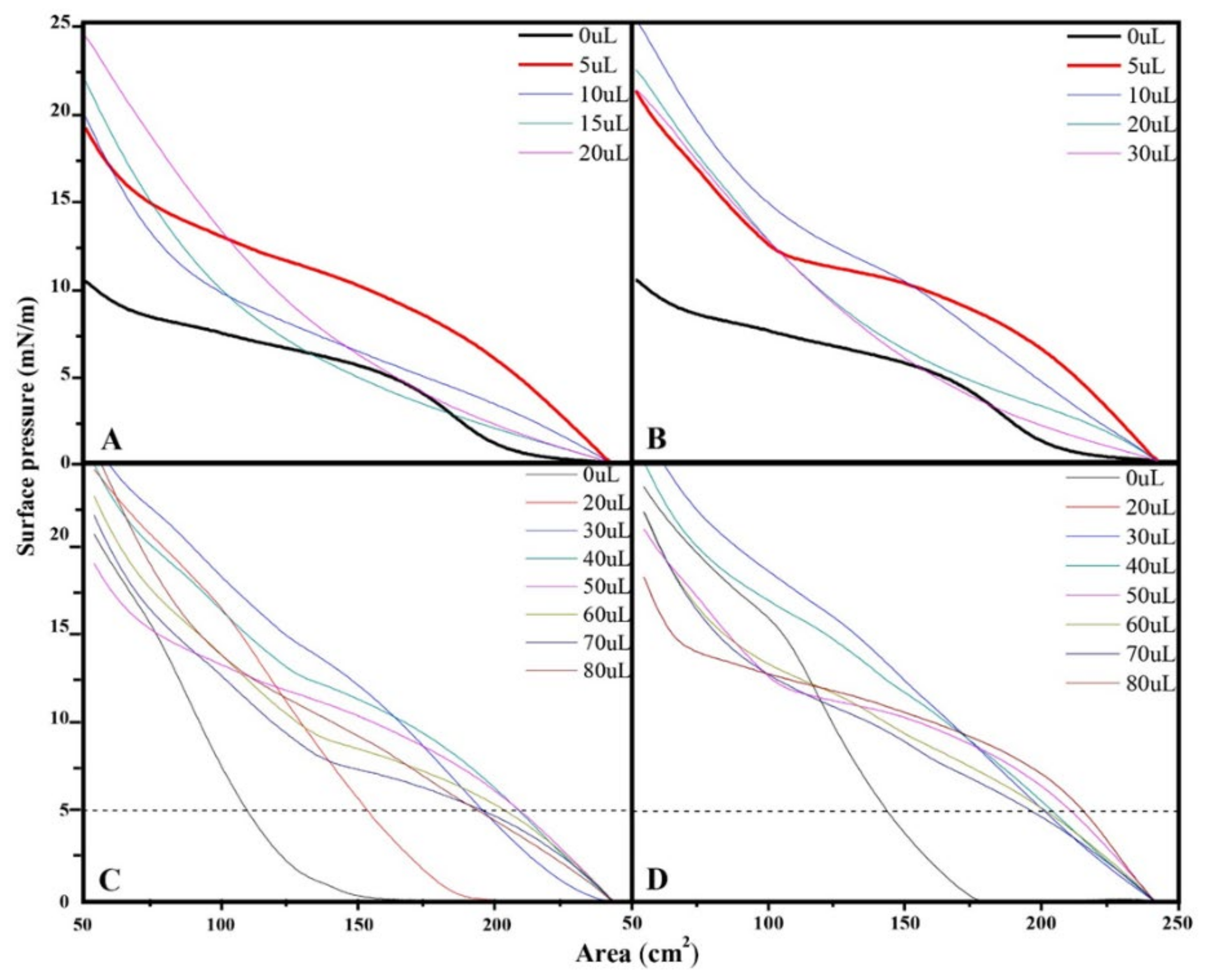
3.3. Surface Pressure Isotherms of AmB Monolayers
3.4. Compression Isotherms of Monolayers of AmB
4. Discussion
5. Conclusions
Supplementary Materials
Author Contributions
Funding
Institutional Review Board Statement
Informed Consent Statement
Data Availability Statement
Acknowledgments
Conflicts of Interest
References
- Jiménez, R.; Tobón, A.; Arango, M.; Espinal, D.; Restrepo, A. Histoplasmosis: Utilidad de las pruebas serológicas en el diagnóstico diferencial. Acta Med. Colomb. 2002, 27, 181–185. [Google Scholar]
- Kauffman, C. Histoplasmosis: A clinical and laboratory update. Clin. Microbiol. Rev. 2007, 20, 115–132. [Google Scholar] [CrossRef]
- Abidon, A.M. Chapter4—Histoplasmosis. J. Bras. Pneumol. 2009, 35, 1145–1151. [Google Scholar]
- Emmons, C.W. Histoplasmosis: Animal reservoirs and other sources in nature of the pathogenic fungus, Histoplasma. Am. J. Public Health 1954, 40, 436–440. [Google Scholar] [CrossRef] [PubMed]
- Ordóñez, Ν.; Tobón, A.; Arango, M.; Tabares, A.; de Bedout, C.; Gómez, B.; Castanñeda, E.; Restrepo, A. Brotes de histoplasmosis registrados en el área andina colombiana. Biomédica 1997, 17, 105–111. [Google Scholar] [CrossRef]
- Gómez, L.F.; Torres, I.P.; Jiménez, M.D.P.; McEwen, J.G.; de Bedout, C.; Peláez, C.A.; Acevedo, J.M.; Taylor, M.L.; Arango, M. Detection of Histoplasma capsulatum in organic fertilizers by Hc100 nested PCR and its correlation with the physicochemical and microbiological characteristics of the samples. Am. J. Trop. Med. Hyg. 2017, 98, 1303–1312. [Google Scholar] [CrossRef]
- Gómez, L.F.; Arango, M.; McEwen, J.G.; Gómez, O.M.; Rodríguez, A.C.; Peláez, C.A.; Acevedo, J.M.; Taylor, M.L.; Jiménez, M.D.P. Molecular epidemiology of Colombian Histoplasma capsulatum isolates obtained from human and chicken manure samples. Heliyon 2019, 5, e02084. [Google Scholar] [CrossRef]
- Porta, A.; Eletto, A.; Török, Z.; Franceschelli, S.; Glatz, A.; Vígh, L.; Maresca, B. Changes in membrane fluid state and heat shock response cause attenuation of virulence. J. Bacteriol. 2010, 192, 1999–2005. [Google Scholar]
- Garfoot, A.L.; Rappleye, C.A. Histoplasma capsulatum surmounts obstacles to intracellular pathogenesis. FEBS J. 2015, 283, 619–633. [Google Scholar] [CrossRef]
- Nielsen, H.S. Variation in lipid content of strains of Histoplasma capsulatum exhibiting different virulence properties for mice. J. Bacteriol. 1966, 91, 273–277. [Google Scholar] [CrossRef]
- Zarnowski, R.; Dobrzyn, A.; NtAmBi, J.M.; Woods, J.P. Neutral storage lipids of Histoplasma capsulatum: Effect of culture age. Curr. Microbiol. 2008, 56, 110–114. [Google Scholar] [CrossRef] [PubMed][Green Version]
- Albuquerque, P.C.; Nakayasu, E.S.; Rodrigues, M.L.; Frases, S.; Casadevall, A.; Zancope-Oliveira, R.M.; Almeida, I.C.; Nosanchuk, D. Vesicular transport in Histoplasma capsulatum: An effective mechanism for trans-cell wall transfer of proteins and lipids in ascomycetes. Cell Microbiol. 2008, 10, 1695–1710. [Google Scholar] [CrossRef] [PubMed]
- Alvarez, F.J.; Douglas, L.M.; Konopka, J.B. Sterol-rich plasma membrane domains in Fungi. Eukaryot. Cell 2007, 6, 755–763. [Google Scholar] [CrossRef]
- Weete, J.D.; Abril, M.; Blackwell, M. Phylogenetic Distribution of fungal sterols. PLoS ONE 2010, 5, e10899. [Google Scholar] [CrossRef]
- Barreto-Bergter, E.; Sassaki, G.L.; Souza, L.M. Structural analysis of fungal cerebrosides. Front. Microbiol. 2011, 2, 239. [Google Scholar] [CrossRef] [PubMed]
- Guimarães, L.L.; Toledo, M.S.; Ferreira, F.A.; Straus, A.H.; Takahashi, H.K. Structural diversity and biological significance of glycosphingolipids in pathogenic and opportunistic fungi. Front. Cell. Infect. Microbiol. 2014, 4, 138. [Google Scholar] [CrossRef] [PubMed]
- Carrillo-Munoz, A.J.; Giusiano, G.; Ezkurra, P.A.; Quindos, G. Antifungal agents: Mode of action in yeast cells. Rev. Esp. Quimioter. 2006, 19, 130–139. [Google Scholar] [PubMed]
- Cereghetti, D.M.; Carreira, E.M. Amphotericin B: 50 years of chemistry and biochemistry. Synthesis 2006, 6, 914–942. [Google Scholar] [CrossRef]
- Fernández, C.M.; Martínez, L.A.; Echemendía, M.Y.; Martínez, M.G.; Perurena, M.R.; Illnait, M.T. Sensibilidad in vitro de Histoplasma capsulatum var: Capsulatum frente a anfotericina B, ketoconazol, itraconazol y fluconazol. Rev. Cuba. Med. Trop. 2003, 55, 76–82. [Google Scholar]
- Finkelstein, A.; Holz, R. Aqueous pores created in thin lipid membranes by the polyene antibiotics nystatin and amphotericin B. Membranes 1973, 2, 377–408. [Google Scholar]
- Kaminskii, D.M. Recent progress in the study of the interactions of amphotericin B with cholesterol and ergosterol in lipid environments. Eur. Biophys. J. 2014, 43, 453–467. [Google Scholar] [CrossRef] [PubMed]
- Laniado-Laborín, R.; Cabrales-Vargas, M.N. Amphotericin B: Side effects and toxicity. Rev. Iberoam. Micol. 2009, 26, 223–227. [Google Scholar] [CrossRef] [PubMed]
- Hamill, R.J. Amphotericin B formulations: A comparative review of efficacy and toxicity. Drugs 2013, 73, 919–934. [Google Scholar] [CrossRef] [PubMed]
- Stone, R.H.; Bicanic, T.; Salim, R.; Hope, W. Liposomal Amphotericin B (AmBisome®): A review of the pharmacokinetics, pharmacodynamics, clinical experience and future directions. Drugs 2016, 76, 485–500. [Google Scholar] [CrossRef] [PubMed]
- Peláez, C.A.; Jiménez, M.D.P.; Araque, P.; Hung, C.-Y.; Castro, N.; Cole, G.T. Lipid secretion by parasitic cells of Coccidioides contributes to disseminated disease. Front. Cell. Infect. Microbiol. 2021, 11, 592826. [Google Scholar] [CrossRef]
- Folsch, J.; Lees, M.; Sloane-Stanley, G.H. A simple method for the isolation and purification of total lipids from animal tissues. J. Biol. Chem. 1957, 226, 497–509. [Google Scholar] [CrossRef]
- Manocha, M.S.; San-Blas, G.; Centeno, S. Lipid composition of Paracoccidioides brasiliensis: Possible correlation with virulence of different strains. J. Gen. Microbiol. 1980, 117, 147–154. [Google Scholar] [CrossRef]
- Somasshekar, D.; Venkateshwaran, G.; Srividya, C.; Krishnanand, S.; Lokesh, B.R. Efficacy of extraction methods for lipid and fatty acid composition from fungal cultures. World J. Microbiol. Biotechnol. 2001, 17, 317–320. [Google Scholar] [CrossRef]
- Sepulveda, J.R.; Jimenez, M.D.P.; Peláez, C.A.; Araque, P. Biological activity of lipids extracted from two isolates of Fusarium oxysporum (Environmental and Clinical) in Galleria mellonella. Am. J. Chem. Appl. 2020, 7, 1–7. [Google Scholar]
- Nelson, D.L.; Cuchillo Foix, C.M.; Lehninger, A.L.; Cox, M.M. Lehninger: Principios de Bioquímica, 4th ed.; Omega: Barcelona, Spain, 2005; pp. 642–668. [Google Scholar]
- Dynarowicz-Łatka, P.; Dhanabalan, A.; Oliveira, O.N. Modern physicochemical research on Langmuir monolayers. Adv. Colloid Interface Sci. 2001, 91, 221–293. [Google Scholar] [CrossRef]
- Sánchez-Martín, M.J.; Haro, I.; Alsina, M.A.; Busquets, M.A.; Pujol, M. A Langmuir monolayer study of the interaction of E1 (145–162) hepatitis G virus peptide with phospholipid membranes. J. Phys. Chem. B 2010, 114, 448–456. [Google Scholar] [CrossRef] [PubMed]
- Sykora, J.C.; Neely, W.C.; Vdyanoy, V. Solvent effects on amphotericin B monolayers. J. Colloid Interface Sci. 2004, 269, 499–502. [Google Scholar] [CrossRef]
- Arczewska, M.; Gagoś, M. Molecular organization of antibiotic amphotericin B in dipalmitoylphosphatidylcholine monolayer induced by K+ and Na+ ions: The Langmuir technique study. Biochim. Biophys. Acta 2011, 1808, 2706–2713. [Google Scholar] [CrossRef] [PubMed]
- Maget-Dana, R. The monolayer technique: A potent tool for studying the interfacial properties of antimicrobial and membrane-lytic peptides and their interactions with lipid membranes. Biochim. Biophys. Acta 1999, 1462, 109–140. [Google Scholar] [CrossRef]
- Van der Meer-Janssen, Y.P.M.; van Galen, J.; Batenburg, J.J.; Helms, J.B. Lipids in host-pathogen interactions: Pathogens exploit the complexity of the host cell lipidome. Prog. Lipid Res. 2010, 49, 1–26. [Google Scholar] [CrossRef]
- Beccaccioli, M.; Reverberi1, M.; Scala, V. Fungal lipids: Biosynthesis and signalling during plant-pathogen interaction. Front. Biosci. 2019, 42, 172–185. [Google Scholar]
- Zarnowski, R.; Miyazaki, M.A.; Dobrzyn, A.; NtAmBi, J.M.; Woods, J.P. Typing of Histoplasma capsulatum strains by fatty acid profile analysis. J. Med. Mycol. 2007, 56, 788–797. [Google Scholar] [CrossRef]
- Murata, N.; Wada, H. Acyl-lipid desaturases and their importance in the tolerance and acclimatization to cold of cyanobacteria. Biochem. J. 1995, 308, 1–8. [Google Scholar] [CrossRef]
- Malcicka, M.; Visser, B.; Ellers, J. An evolutionary perspective on linoleic acid synthesis in animals. Evol. Biol. 2018, 45, 15–26. [Google Scholar] [CrossRef]
- Al-Doory, Y. Free lipids and phospholipid phosphorus of Histoplasma capsulatum and other pathogenic fungi. J. Bacteriol. 1960, 80, 565–566. [Google Scholar] [CrossRef]
- Toledo, M.S.; Levery, S.B.; Suzuki, E.; Straus, A.H.; Takahashi, H.K. Characterization of cerebrosides from the thermally dimorphic mycopathogen Histoplasma capsulatum: Expression of 2-hydroxy fatty N-acyl (E)-∆3-unsaturation correlates with the yeast-mycelium phase transition. Glycobiology 2001, 11, 113–124. [Google Scholar] [CrossRef] [PubMed][Green Version]
- Wójtowicz, K.; Gruszecki, W.I.; Walicka, M.; Barwicz, J. Effect of amphotericin B on dipalmitoylphosphatidylcholine membranes: Calorimetry, ultrasound absorption and monolayer technique studies. Biochim. Biophys. Acta 1998, 1373, 220–226. [Google Scholar] [CrossRef]
- Sandrino, B.; Affonso de Oliveira, J.F.; Nobre, T.M.; Appelt, P.; Gupta, A.; de Araujo, M.P.; Rotello, V.M.; Oliveira, O.N. Challenges in application of Langmuir monolayer studies to determine the mechanisms of bactericide activity of ruthenium complexes. Langmuir 2017, 33, 14167–14174. [Google Scholar] [CrossRef] [PubMed]








| Environmental Isolate | Clinical Isolate | Proposed Composition | Mass Prediction (Da) | ||
|---|---|---|---|---|---|
| Species | m/z | Species | m/z | ||
| Phosphatidylethanolamine (PE) | |||||
| ND | ND | [M+Na]+ | 761.585 | C18:3/C18:1 | 763.016 |
| [M+H]+ | 663.455 | [M+H]+ | 663.455 | C14:0/C16:0 | 663.918 |
| Phosphatidylcholine (PC) | |||||
| [M+Na]+ | 792.383 | ND | ND | C16:0/C18:0 | 785.097 |
| [M+H]+ | 737.546 | ND | ND | C14:0/C18:0 | 734.057 |
| [M+H]+ | 736.571 | ND | ND | C18:3/C18:1 | 740.010 |
| [M+H]+ | 708.511 | [M+H]+ | 708.511 | C14:0/C16:0 | 705.999 |
| ND | ND | [M+H]+ | 701.493 | C12:0/C18:2 | 701.967 |
| ND | ND | [M+H]+ | 684.204 | C10:0/C18:2 | 673.913 |
| Phosphatidic Acid (PA) | |||||
| [M+Na]+ | 733.284 | [M+Na]+ | 733.284 | C18:1/C18:1 | 721.953 |
| ND | ND | [M+Na]+ | 703.413 | C18:0/C18:0 | 704.003 |
| [M+H]+ | 684.203 | [M+H]+ | 684.203 | C18:2/C18:2 | 695.939 |
| [M+Na]+ | 663.455 | [M+Na]+ | 663.455 | C14:0/C18:2 | 663.853 |
| [M+Na]+ | 641.199 | [M+Na]+ | 641.199 | C14:0/C16:0 | 642.208 |
| [M+Na]+ | 608.875 | [M+Na]+ | 608.875 | C10:0/C18:2 | 610.745 |
| System | Av (Å2/Molecule) | πv (mN/m) | Energy (kJ/mol) | Ah (Å2/Molecule) | πh (mN/m) | Energy (kJ/mol) |
|---|---|---|---|---|---|---|
| AmB (Experimental) | 80 | 8.4 | - | 144 | 5.0 | - |
| AmB (AM1 Calculated) | 75.208 | - | −3271.74 | 146.234 | - | −3271.74 |
| AmB + environmental lipid extract (Experimental) | 90 | 14.2 | - | 166 | 9.8 | - |
| AmB + environmental lipid extract (AM1 Calculated) | 96.556 | - | −5904.28 | 168.155 | - | −5876.54 |
| AmB + clinical lipid extract (Experimental) | 114 | 11.4 | - | 166 | 9.8 | - |
| AmB + clinical lipid extract (AM1 Calculated) | 115.153 | - | −8507.29 | 168.155 | - | −5876.54 |
Publisher’s Note: MDPI stays neutral with regard to jurisdictional claims in published maps and institutional affiliations. |
© 2022 by the authors. Licensee MDPI, Basel, Switzerland. This article is an open access article distributed under the terms and conditions of the Creative Commons Attribution (CC BY) license (https://creativecommons.org/licenses/by/4.0/).
Share and Cite
Araque-Marín, P.; Naranjo Díaz, A.; Gómez Londoño, L.F.; Jiménez Alzate, M.d.P.; Castelli, F.; Sarpietro, M.G.; Giordani, C.; Peláez Jaramillo, C.A. A Langmuir-Blodgett Study of the Interaction between Amphotericin B and Lipids of Histoplasma capsulatum. Membranes 2022, 12, 483. https://doi.org/10.3390/membranes12050483
Araque-Marín P, Naranjo Díaz A, Gómez Londoño LF, Jiménez Alzate MdP, Castelli F, Sarpietro MG, Giordani C, Peláez Jaramillo CA. A Langmuir-Blodgett Study of the Interaction between Amphotericin B and Lipids of Histoplasma capsulatum. Membranes. 2022; 12(5):483. https://doi.org/10.3390/membranes12050483
Chicago/Turabian StyleAraque-Marín, Pedronel, Andrea Naranjo Díaz, Luisa Fernanda Gómez Londoño, María del Pilar Jiménez Alzate, Francesco Castelli, Maria Grazia Sarpietro, Cristiano Giordani, and Carlos Alberto Peláez Jaramillo. 2022. "A Langmuir-Blodgett Study of the Interaction between Amphotericin B and Lipids of Histoplasma capsulatum" Membranes 12, no. 5: 483. https://doi.org/10.3390/membranes12050483
APA StyleAraque-Marín, P., Naranjo Díaz, A., Gómez Londoño, L. F., Jiménez Alzate, M. d. P., Castelli, F., Sarpietro, M. G., Giordani, C., & Peláez Jaramillo, C. A. (2022). A Langmuir-Blodgett Study of the Interaction between Amphotericin B and Lipids of Histoplasma capsulatum. Membranes, 12(5), 483. https://doi.org/10.3390/membranes12050483

