Chemical Reaction and Internal Heating Effects on the Double Diffusive Convection in Porous Membrane Enclosures Soaked with Maxwell Fluid
Abstract
1. Introduction
2. Mathematical Formulation
Basic Condition
3. Perturbation Equation
4. Linear Stability Consideration
4.1. Marginal Pattern of Convection
4.2. Oscillatory Pattern of Convection
5. Weak Nonlinear Stability Investigation
5.1. Steady Motion
5.2. Convective Heat and Mass Transports
6. Results and Discussion

7. Conclusions
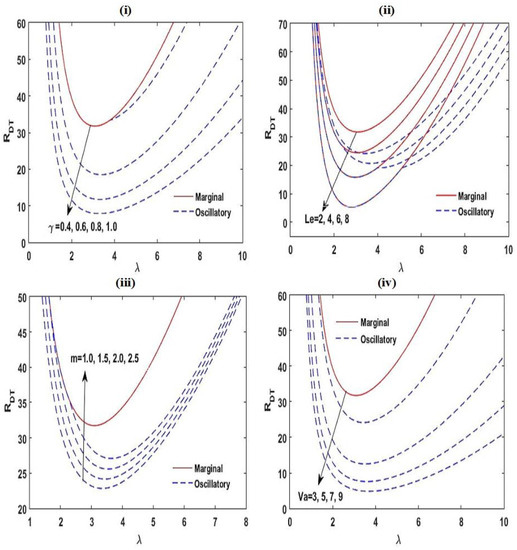
- Increasing the chemical reacting parameter , the interior heating parameter , the solute Rayleigh–Darcy number , the relaxation parameter , the Lewis number , and the Vadasz number accelerates the onset of double diffusive convective motion, while it delays with increasing the heat capacity ratio m.
- The dimension of convective cells enhances by increasing the aspect ratio , the chemical reacting parameter , the interior heating parameter , and the relaxation parameter , while it decreases with the heat capacity ratio .
- Increasing and enhances the size of marginal convective cells, while this result is opposite for oscillatory convection.
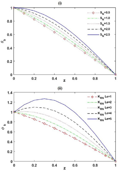
- The convective mass transfer in the system is augmented with increasing (for the slender enclosure) and , while it reduces with (for rectangular enclosure) and .
- The convective heat transport in the system is enhanced with increasing (for the slender enclosure) and , whereas it reduces with (for rectangular enclosure) and .
- The marginal pattern of the convective motion and steady heat and mass transport are observed to be free with , , and .
Author Contributions
Funding
Institutional Review Board Statement
Informed Consent Statement
Data Availability Statement
Acknowledgments
Conflicts of Interest
Nomenclature
| aspect ratio | |
| specific heat | |
| solutal diffusivity | |
| gravity vector | |
| dimensional Maxwell fluid layer length | |
| dimensional Maxwell fluid layer width | |
| permeability of the porous matrix | |
| km | effectual thermal conductivity of the porous matrix |
| chemical reaction rate | |
| chemical reacting parameter | |
| Lewis number | |
| heat capacity ratio | |
| pressure | |
| thermal Rayleigh–Darcy number | |
| solute Rayleigh–Darcy number | |
| strength of the internal heat supply | |
| interior heating parameter | |
| Vadasz number | |
| Darcy’s velocity | |
| space coordinates | |
| Greek symbols | |
| effectual thermal diffusivity | |
| the thermal expansion coefficient | |
| the solute expansion coefficient | |
| relaxation parameter | |
| the stress relaxation | |
| dimensionless wave number | |
| viscosity | |
| density | |
| temperature | |
| concentration of solute | |
| stream function | |
| the porosity of the porous matrix | |
| enlargement rate of disturbance | |
| time | |
| Superscripts | |
| ′ | perturbed quantities |
| dimensionless variables | |
| Subscripts | |
| reference estimate | |
| effectual estimate | |
| estimate at the lower boundary | |
| estimate at the upper boundary | |
| basic flow | |
| critical | |
References
- Datta, A. Porous media approaches to studying simultaneous heat and mass transfer in food processes. II: Property data and representative results. J. Food Eng. 2007, 80, 96–110. [Google Scholar] [CrossRef]
- Purlis, E. Modelling convective drying of foods: A multiphase porous media model considering heat of sorption. J. Food Eng. 2019, 263, 132–146. [Google Scholar] [CrossRef]
- Steinberg, V.; Brand, H. Convective instabilities of binary mixtures with fast chemical reaction in a porous medium. J. Chem. Phys. 1983, 78, 2655–2660. [Google Scholar] [CrossRef]
- Beckermann, C.; Viskanta, R. Double-diffusive convection during dendritic solidification of a binary mixture. Phys. Hydrodyn. 1988, 10, 195–213. [Google Scholar]
- Coriell, S.; Cordes, M.; Boettinger, W.; Sekerka, R. Convective and interfacial instabilities during unidirectional solidification of a binary alloy. J. Cryst. Growth 1980, 49, 13–28. [Google Scholar] [CrossRef]
- Copley, S.; Giamei, A.F.; Johnson, S.; Hornbecker, M. The origin of freckles in unidirectionally solidified castings. Metall. Trans. 1970, 1, 2193–2204. [Google Scholar] [CrossRef]
- Prescott, P.; Incropera, F. Magnetically damped convection during solidification of a binary metal alloy. J. Heat Transfer. 1993, 115, 302–310. [Google Scholar] [CrossRef]
- Zhou, H.; Zebib, A. Oscillatory double diffusive convection in crystal growth. J. Cryst. Growth 1994, 135, 587–593. [Google Scholar] [CrossRef]
- Abbasi, M.; Khazali, N.; Sharifi, M. Analytical model for convection-conduction heat transfer during water injection in fractured geothermal reservoirs with variable rock matrix block size. Geothermics 2017, 69, 1–14. [Google Scholar] [CrossRef]
- Love, A.J.; Simmons, C.T.; Nield, D. Double-diffusive convection in groundwater wells. Water Resour. Res. 2007, 43, W08428. [Google Scholar] [CrossRef]
- Islam, A.W.; Sharif, M.A.; Carlson, E.S. Numerical investigation of double diffusive natural convection of CO2 in a brine saturated geothermal reservoir. Geothermics 2013, 48, 101–111. [Google Scholar] [CrossRef]
- Fournier, R.O. Double-diffusive convection in geothermal systems: The Salton Sea, California, geothermal system as a likely candidate. Geothermics 1990, 19, 481–496. [Google Scholar] [CrossRef]
- Nield, D.A.; Bejan, A. Convection in Porous Media; Springer: New York, NY, USA, 2006; Volume 3. [Google Scholar]
- Yoshida, J.; Nagashima, H. Numerical experiments on double-diffusive intrusions in the ocean and their relation to laboratory experiments. Prog. Oceanogr. 2003, 56, 549–557. [Google Scholar] [CrossRef]
- Pop, I.; Ingham, D.B. Convective Heat Transfer: Mathematical and Computational Modelling of Viscous Fluids and Porous Media; Elsevier: Oxford, UK, 2001. [Google Scholar]
- Poulikakos, D. Double diffusive convection in a horizontal sparcely packed porous layer. Int. Commun. Heat Mass Transf. 1986, 13, 587–598. [Google Scholar] [CrossRef]
- Gaikwad, S.; Malashetty, M.; Prasad, K.R. Linear and non-linear double diffusive convection in a fluid-saturated anisotropic porous layer with cross-diffusion effects. Transp. Porous Media 2009, 80, 537–560. [Google Scholar] [CrossRef]
- Kuznetsov, A.; Nield, D. The effects of combined horizontal and vertical heterogeneity on the onset of convection in a porous medium: Double diffusive case. Transp. Porous Media 2008, 72, 157–170. [Google Scholar] [CrossRef]
- Kiran, P. Throughflow and non-uniform heating effects on double diffusive oscillatory convection in a porous medium. Ain Shams Eng. J. 2016, 7, 453–462. [Google Scholar] [CrossRef]
- Shivakumara, I.; Khalili, A. On the stability of double diffusive convection in a porous layer with throughflow. Acta Mech. 2001, 152, 165–175. [Google Scholar] [CrossRef]
- Javaheri, M.; Abedi, J.; Hassanzadeh, H. Linear stability analysis of double-diffusive convection in porous media, with application to geological storage of CO2. Transp. Porous Media 2010, 84, 441–456. [Google Scholar] [CrossRef]
- Al-Mudhaf, A.F.; Rashad, A.; Ahmed, S.E.; Chamkha, A.J.; El-Kabeir, S. Soret and Dufour effects on unsteady double diffusive natural convection in porous trapezoidal enclosures. Int. J. Mech. Sci. 2018, 140, 172–178. [Google Scholar] [CrossRef]
- Altawallbeh, A.; Bhadauria, B.; Hashim, I. Linear and nonlinear double-diffusive convection in a saturated anisotropic porous layer with Soret effect and internal heat source. Int. J. Heat Mass Transf. 2013, 59, 103–111. [Google Scholar] [CrossRef]
- Malashetty, M.; Biradar, B.S. The onset of double diffusive reaction-convection in an anisotropic porous layer. Phys. Fluids 2011, 23, 064102. [Google Scholar] [CrossRef]
- Yadav, D. Hydrodynamic and Hydromagnetic Instability in Nanofluids; Lap Lambert Academic Publishing: Saarbrücken, Germany, 2014. [Google Scholar]
- Mojtabi, A.; Charrier-Mojtabi, M.-C. Double-diffusive convection in porous media. Handb. Porous Media 2005, 2, 269–320. [Google Scholar]
- Vafai, K. Handbook of Porous Media; CRC Press: Boca Raton, FL, USA, 2015. [Google Scholar]
- Yadav, D. The effect of viscosity and Darcy number on the start of convective motion in a rotating porous medium layer saturated by a couple-stress fluid. Proc. Inst. Mech. Eng. Part C J. Mech. Eng. Sci. 2020, 235, 999–1007. [Google Scholar] [CrossRef]
- Yadav, D.; Maqhusi, M. Influence of temperature dependent viscosity and internal heating on the onset of convection in porous enclosures saturated with viscoelastic fluid. Asia-Pac. J. Chem. Eng. 2020, 15, e2514. [Google Scholar] [CrossRef]
- Yadav, D. Influence of anisotropy on the Jeffrey fluid convection in a horizontal rotary porous layer. Heat Transf.—Asian Res. 2021, 50, 4595–4606. [Google Scholar] [CrossRef]
- Yadav, D.; Mahabaleshwar, U.S.; Wakif, A.; Chand, R. Significance of the inconstant viscosity and internal heat generation on the occurrence of Darcy-Brinkman convective motion in a couple-stress fluid saturated porous medium: An analytical solution. Int. Commun. Heat Mass Transf. 2021, 122, 105165. [Google Scholar] [CrossRef]
- Dawar, A.; Saeed, A.; Shah, Z.; Kumam, W.; Islam, S.; Kumam, P. Analytical Simulation for Magnetohydrodynamic Maxwell Fluid Flow Past an Exponentially Stretching Surface with First-Order Velocity Slip Condition. Coatings 2021, 11, 1009. [Google Scholar] [CrossRef]
- Shah, Z.; Dawar, A.; Nasir, S.; Islam, S.; Deebani, W.; Shutaywi, M. Application of Arrhenius chemical process on unsteady mixed bio-convective flows of third-grade fluids having temperature-dependent in thermo-rheological properties. Waves Random Complex Media 2022, 1–20. [Google Scholar] [CrossRef]
- Dawar, A.; Shah, Z.; Tassaddiq, A.; Islam, S.; Kumam, P. Joule heating in magnetohydrodynamic micropolar boundary layer flow past a stretching sheet with chemical reaction and microstructural slip. Case Stud. Therm. Eng. 2021, 25, 100870. [Google Scholar] [CrossRef]
- Shah, Z.; Dawar, A.; Islam, S.; Alshehri, A.; Alrabaiah, H. A comparative analysis of MHD Casson and Maxwell flows past a stretching sheet with mixed convection and chemical reaction. Waves Random Complex Media 2021, 1–16. [Google Scholar] [CrossRef]
- Awais, M.; Awan, S.E.; Rehman, S.U.; Raja, M.A.Z. Hydromagnetic Falkner-Skan fluid rheology with heat transfer properties. Therm. Sci. 2020, 24 Pt A, 339–346. [Google Scholar] [CrossRef]
- Awais, M.; Awan, S.E.; Muqaddass, N.; Rehman, S.U.; Raja, M.A.Z. Numerical and analytical approach for Sakiadis rheology of generalized polymeric material with magnetic field and heat source/sink. Therm. Sci. 2020, 24 Pt B, 1183–1194. [Google Scholar] [CrossRef]
- Awan, S.E.; Awais, M.; Qayyum, A.; Rehman, S.U.; Khan, A.; Ali, H.; Raja, M.A.Z. Numerical computing paradigms for the dynamics of squeezing rheology of third grade fluid. Therm. Sci. 2020, 24 Pt B, 4173–4182. [Google Scholar] [CrossRef]
- Malashetty, M.; Swamy, M. The onset of double diffusive convection in a viscoelastic fluid layer. J. Non-Newton. Fluid Mech. 2010, 165, 1129–1138. [Google Scholar] [CrossRef]
- Malashetty, M.; Hill, A.A.; Swamy, M. Double diffusive convection in a viscoelastic fluid-saturated porous layer using a thermal non-equilibrium model. Acta Mech. 2012, 223, 967–983. [Google Scholar] [CrossRef]
- Kumar, A.; Bhadauria, B. Double diffusive convection in a porous layer saturated with viscoelastic fluid using a thermal non-equilibrium model. Phys. Fluids 2011, 23, 054101. [Google Scholar] [CrossRef]
- Awad, F.; Sibanda, P.; Motsa, S.S. On the linear stability analysis of a Maxwell fluid with double-diffusive convection. Appl. Math. Model. 2010, 34, 3509–3517. [Google Scholar] [CrossRef]
- Wang, S.; Tan, W. Stability analysis of soret-driven double-diffusive convection of Maxwell fluid in a porous medium. Int. J. Heat Fluid Flow 2011, 32, 88–94. [Google Scholar] [CrossRef]
- Gaikwad, S.N.; Kouser, S. Double diffusive convection in a couple stress fluid saturated porous layer with internal heat source. Int. J. Heat Mass Transf. 2014, 78, 1254–1264. [Google Scholar] [CrossRef]
- Gaikwad, S.; Dhanraj, M. Onset of double diffusive convection in a Maxwell fluid saturated anisotropic porous layer with internal heat source. Spec. Top. Rev. Porous Media Int. J. 2013, 4, 359–374. [Google Scholar] [CrossRef]
- Zhao, M.; Zhao, H.; Wang, S.; Yin, C. The Onset of Double-Diffusive Convection in a Two-Layer System with a Viscoelastic Fluid-Saturated Porous Medium Under High-Frequency Vibration. J. Heat Transf. 2021, 143, 012601. [Google Scholar] [CrossRef]
- Mahanthesh, B.; Gireesha, B.; Thammanna, G.; Shehzad, S.; Abbasi, F.; Gorla, R. Nonlinear convection in nano Maxwell fluid with nonlinear thermal radiation: A three-dimensional study. Alex. Eng. J. 2018, 57, 1927–1935. [Google Scholar] [CrossRef]
- Rajagopal, K. A note on novel generalizations of the Maxwell fluid model. Int. J. Non-Linear Mech. 2012, 47, 72–76. [Google Scholar] [CrossRef]
- Khan, M.I.; Waqas, M.; Hayat, T.; Khan, M.I.; Alsaedi, A. Chemically reactive flow of upper-convected Maxwell fluid with Cattaneo–Christov heat flux model. J. Braz. Soc. Mech. Sci. Eng. 2017, 39, 4571–4578. [Google Scholar] [CrossRef]
- Chand, R.; Rana, G. Double diffusive convection in a layer of Maxwell viscoelastic fluid in porous medium in the presence of Soret and Dufour effects. J. Fluids 2014, 2014, 1–7. [Google Scholar] [CrossRef]
- Siddheshwar, P.; Kanchana, C. Unicellular unsteady Rayleigh–Bénard convection in Newtonian liquids and Newtonian nanoliquids occupying enclosures: New findings. Int. J. Mech. Sci. 2017, 131, 1061–1072. [Google Scholar] [CrossRef]
- Yadav, D. Thermal non-equilibrium effects on the instability mechanism in a non-Newtonian Jeffery fluid saturated porous layer. J. Porous Media 2022, 25, 1–12. [Google Scholar] [CrossRef]
- Yadav, D.; Awasthi, M.K.; Al-Siyabi, M.; Al-Nadhairi, S.; Al-Rahbi, A.; Al-Subhi, M.; Ragoju, R.; Bhattacharyya, K. Double diffusive convective motion in a reactive porous medium layer saturated by a non-Newtonian Kuvshiniski fluid. Phys. Fluids 2022, 34, 024104. [Google Scholar] [CrossRef]
- Park, H.M.; Lee, H.S. Nonlinear hydrodynamic stability of viscoelastic fluids heated from below. J. Non-Newton. Fluid Mech. 1995, 60, 1–26. [Google Scholar] [CrossRef]
- D’Hernoncourt, J.; De Wit, A.; Zebib, A. Double-diffusive instabilities of autocatalytic chemical fronts. J. Fluid Mech. 2007, 576, 445–456. [Google Scholar] [CrossRef][Green Version]
- Umavathi, J.; Yadav, D.; Mohite, M.B. Linear and nonlinear stability analyses of double-diffusive convection in a porous medium layer saturated in a Maxwell nanofluid with variable viscosity and conductivity. Elixir Mech Eng. 2015, 79, 30407–30426. [Google Scholar]
- Tan, W.; Masuoka, T. Stability analysis of a Maxwell fluid in a porous medium heated from below. Phys. Lett. A 2007, 360, 454–460. [Google Scholar] [CrossRef]
- Yadav, D. The Onset of Convective Activity in an Anisotropic Porous Medium Layer with Internal Heating and Inconsistent Gravity Effects. Rev. Cuba. Física 2020, 37, 24–33. [Google Scholar]
- Bhadauria, B.S. Double-diffusive convection in a saturated anisotropic porous layer with internal heat source. Transp. Porous Media 2012, 92, 299–320. [Google Scholar] [CrossRef]
- Yadav, D. Impact of chemical reaction on the convective heat transport in nanofluid occupying in porous enclosures: A realistic approach. Int. J. Mech. Sci. 2019, 157–158, 357–373. [Google Scholar] [CrossRef]
- Kuznetsov, A.; Nield, D. The onset of double-diffusive nanofluid convection in a layer of a saturated porous medium. Transp. Porous Media 2010, 85, 941–951. [Google Scholar] [CrossRef]
- Nouri-Borujerdi, A.; Noghrehabadi, A.R.; Rees, D.A.S. Influence of Darcy number on the onset of convection in a porous layer with a uniform heat source. Int. J. Therm. Sci. 2008, 47, 1020–1025. [Google Scholar] [CrossRef]
- Chand, R.; Yadav, D.; Rana, G. Electrothermo convection in a horizontal layer of rotating nanofluid. Int. J. Nanoparticles 2015, 8, 241–261. [Google Scholar] [CrossRef]
- Rana, G.C.; Chand, R.; Yadav, D. The onset of electrohydrodynamic instability of an elastico-viscous Walters’ (model B’) dielectric fluid layer. FME Trans. 2015, 43, 154–160. [Google Scholar] [CrossRef]
- Chand, R.; Rana, G.; Yadav, D. Thermal instability in a layer of couple stress nanofluid saturated porous medium. J. Theor. Appl. Mech. 2017, 47, 69–84. [Google Scholar] [CrossRef]
- Yadav, D.; Wakif, A.; Boulahia, Z.; Sehaqui, R. Numerical examination of the thermo-electro-hydrodynamic convection in a horizontal dielectric nanofluid layer using the power series method. J. Nanofluids 2019, 8, 117–131. [Google Scholar] [CrossRef]
- Nield, D.A.; Kuznetsov, A.V. The onset of convection in a horizontal nanofluid layer of finite depth. Eur. J. Mech.—B/Fluids 2010, 29, 217–223. [Google Scholar] [CrossRef]
- Nield, D.; Kuznetsov, A. The onset of convection in a horizontal nanofluid layer of finite depth: A revised model. Int. J. Heat Mass Transf. 2014, 77, 915–918. [Google Scholar] [CrossRef]
- Motsa, S. On the onset of convection in a porous layer in the presence of Dufour and Soret effects. SAMSA J. Pure Appl. Math. 2008, 3, 58–65. [Google Scholar]
- Nield, D.A.; Kuznetsov, A.V. The effect of vertical throughflow on the onset of convection in a porous medium in a rectangular box. Transp. Porous Media 2011, 90, 993–1000. [Google Scholar] [CrossRef]
- Horton, C.; Rogers, F., Jr. Convection currents in a porous medium. J. Appl. Phys. 1945, 16, 367–370. [Google Scholar] [CrossRef]
- Katto, Y.; Masuoka, T. Criterion for the onset of convective flow in a fluid in a porous medium. Int. J. Heat Mass Transf. 1967, 10, 297–309. [Google Scholar] [CrossRef]
- Umavathi, J.C.; Sheremet, M.A.; Ojjela, O.; Reddy, G.J. The onset of double-diffusive convection in a nanofluid saturated porous layer: Cross-diffusion effects. Eur. J. Mech.—B/Fluids 2017, 65, 70–87. [Google Scholar] [CrossRef]
- Yadav, D.; Wang, J. Convective heat transport in a heat generating porous layer saturated by a non-Newtonian nanofluid. Heat Transf. Eng. 2019, 40, 1363–1382. [Google Scholar] [CrossRef]
- Narayana, M.; Sibanda, P.; Motsa, S.; Lakshmi-Narayana, P. Linear and nonlinear stability analysis of binary Maxwell fluid convection in a porous medium. Heat Mass Transf. 2012, 48, 863–874. [Google Scholar] [CrossRef]
- Malashetty, M.; Biradar, B.S. The onset of double diffusive convection in a binary Maxwell fluid saturated porous layer with cross-diffusion effects. Phys. Fluids 2011, 23, 064109. [Google Scholar] [CrossRef]
- Serkitjis, M. Natural convection in a superposed air and porous layer when heated from below. Proc. Int. Build. Perform. Simul. Assoc. Build. Simul. 1997, 5, 129–136. [Google Scholar]











| 0 | 0 | 33.48 | 3.14 | 0.00 | 32.21 | 3.11 | 0.00 | 30.96 | 3.07 | 0.00 |
| 0.3 | 33.48 | 3.14 | 0.00 | 32.21 | 3.11 | 0.00 | 30.96 | 3.07 | 0.00 | |
| 0.6 | 19.48 | 3.42 | 1.26 | 18.85 | 3.40 | 1.26 | 18.23 | 3.38 | 1.25 | |
| 0.9 | 10.30 | 3.35 | 1.34 | 9.95 | 3.33 | 1.34 | 9.61 | 3.30 | 1.34 | |
| 0.5 | 0 | 32.99 | 3.13 | 0.00 | 31.74 | 3.09 | 0.00 | 30.50 | 3.06 | 0.00 |
| 0.3 | 32.99 | 3.13 | 0.00 | 31.74 | 3.09 | 0.00 | 30.50 | 3.06 | 0.00 | |
| 0.6 | 19.10 | 3.41 | 1.26 | 18.49 | 3.39 | 1.25 | 17.88 | 3.37 | 1.25 | |
| 0.9 | 9.90 | 3.33 | 1.34 | 9.56 | 3.31 | 1.34 | 9.23 | 3.29 | 1.33 | |
| 1.0 | 0 | 32.44 | 3.11 | 0.00 | 31.21 | 3.08 | 0.00 | 29.98 | 3.04 | 0.00 |
| 0.3 | 32.44 | 3.11 | 0.00 | 31.21 | 3.08 | 0.00 | 29.98 | 3.04 | 0.00 | |
| 0.6 | 18.70 | 3.40 | 1.25 | 18.09 | 3.38 | 1.25 | 17.49 | 3.36 | 1.24 | |
| 0.9 | 9.45 | 3.30 | 1.33 | 9.13 | 3.28 | 1.33 | 8.81 | 3.26 | 1.33 | |
| 1.5 | 0 | 31.81 | 3.09 | 0.00 | 30.59 | 3.05 | 0.00 | 29.39 | 3.02 | 0.00 |
| 0.3 | 31.81 | 3.09 | 0.00 | 30.59 | 3.05 | 0.00 | 29.39 | 3.02 | 0.00 | |
| 0.6 | 18.24 | 3.39 | 1.24 | 17.65 | 3.37 | 1.24 | 17.07 | 3.34 | 1.23 | |
| 0.9 | 8.95 | 3.27 | 1.33 | 8.65 | 3.26 | 1.32 | 8.35 | 3.24 | 1.32 | |
| 0 | 0 | 37.98 | 3.10 | 0.00 | 37.98 | 3.10 | 0.00 | 37.98 | 3.10 | 0.00 |
| 0.3 | 37.98 | 3.10 | 0.00 | 37.98 | 3.10 | 0.00 | 37.98 | 3.10 | 0.00 | |
| 0.6 | 24.37 | 3.37 | 1.27 | 24.37 | 3.37 | 1.27 | 24.37 | 3.37 | 1.27 | |
| 0.9 | 15.54 | 3.29 | 1.35 | 15.54 | 3.29 | 1.35 | 15.54 | 3.29 | 1.35 | |
| 2 | 0 | 33.82 | 3.10 | 0.00 | 28.95 | 3.07 | 0.00 | 23.18 | 3.01 | 0.00 |
| 0.3 | 33.82 | 3.10 | 0.00 | 28.95 | 3.07 | 0.00 | 23.18 | 3.01 | 0.00 | |
| 0.6 | 20.45 | 3.38 | 1.26 | 17.89 | 3.55 | 1.14 | 16.67 | 3.89 | 0.96 | |
| 0.9 | 11.56 | 3.30 | 1.34 | 8.43 | 3.49 | 1.26 | 6.20 | 3.86 | 1.15 | |
| 4 | 0 | 29.66 | 3.09 | 0.00 | 19.90 | 3.04 | 0.00 | 8.31 | 2.92 | 0.00 |
| 0.3 | 29.66 | 3.09 | 0.00 | 19.90 | 3.04 | 0.00 | 8.31 | 2.92 | 0.00 | |
| 0.6 | 16.52 | 3.40 | 1.25 | 11.17 | 3.71 | 1.04 | 7.60 | 4.22 | 0.73 | |
| 0.9 | 7.57 | 3.31 | 1.33 | 1.14 | 3.66 | 1.20 | −4.21 | 4.21 | 1.03 | |
| 6 | 0 | 25.50 | 3.09 | 0.00 | 10.85 | 3.01 | 0.00 | −6.63 | 2.83 | 0.00 |
| 0.3 | 25.50 | 3.09 | 0.00 | 10.85 | 3.01 | 0.00 | −6.63 | 2.83 | 0.00 | |
| 0.6 | 12.60 | 3.41 | 1.23 | 4.27 | 3.84 | 0.94 | −6.63 | 2.83 | 0.00 | |
| 1 | 0 | 31.74 | 3.09 | 0.00 | 31.74 | 3.09 | 0.00 | 31.74 | 3.09 | 0.00 |
| 0.3 | 31.74 | 3.09 | 0.00 | 31.74 | 3.09 | 0.00 | 20.71 | 3.58 | 2.28 | |
| 0.6 | 29.01 | 3.28 | 0.48 | 11.93 | 3.35 | 1.78 | 6.29 | 3.44 | 2.46 | |
| 0.9 | 16.64 | 3.23 | 0.91 | 5.56 | 3.30 | 1.68 | 1.91 | 3.38 | 2.19 | |
| 1.5 | 0 | 31.74 | 3.09 | 0.00 | 31.74 | 3.09 | 0.00 | 31.74 | 3.09 | 0.00 |
| 0.3 | 31.74 | 3.09 | 0.00 | 31.74 | 3.09 | 0.00 | 22.78 | 3.75 | 2.07 | |
| 0.6 | 30.36 | 3.35 | 0.35 | 12.56 | 3.43 | 1.73 | 6.66 | 3.51 | 2.42 | |
| 0.9 | 17.18 | 3.28 | 0.89 | 5.77 | 3.34 | 1.67 | 1.99 | 3.41 | 2.18 | |
| 2.0 | 0 | 31.74 | 3.09 | 0.00 | 31.74 | 3.09 | 0.00 | 31.74 | 3.09 | 0.00 |
| 0.3 | 31.74 | 3.09 | 0.00 | 31.74 | 3.09 | 0.00 | 25.05 | 3.94 | 1.87 | |
| 0.6 | 31.74 | 3.09 | 0.00 | 13.26 | 3.51 | 1.69 | 7.08 | 3.59 | 2.39 | |
| 0.8 | 21.14 | 3.35 | 0.80 | 7.75 | 3.42 | 1.68 | 3.28 | 3.47 | 2.25 | |
| 0.9 | 17.75 | 3.33 | 0.86 | 6.00 | 3.38 | 1.65 | 2.08 | 3.43 | 2.17 | |
| 2.5 | 0 | 31.74 | 3.09 | 0.00 | 31.74 | 3.09 | 0.00 | 31.74 | 3.09 | 0.00 |
| 0.3 | 31.74 | 3.09 | 0.00 | 31.74 | 3.09 | 0.00 | 27.48 | 4.13 | 1.67 | |
| 0.6 | 31.74 | 3.09 | 0.00 | 14.02 | 3.60 | 1.65 | 7.56 | 3.67 | 2.36 | |
| 0.8 | 21.94 | 3.41 | 0.76 | 8.11 | 3.47 | 1.66 | 3.46 | 3.52 | 2.23 | |
| 0.9 | 18.37 | 3.38 | 0.84 | 6.26 | 3.43 | 1.64 | 2.19 | 3.47 | 2.16 | |
| 0.5 | 0 | 37.98 | 6.20 | 0.00 | 33.82 | 6.19 | 0.00 | 29.66 | 6.18 | 0.00 |
| 0.3 | 37.98 | 6.20 | 0.00 | 33.82 | 6.19 | 0.00 | 29.66 | 6.18 | 0.00 | |
| 0.6 | 24.37 | 6.74 | 1.27 | 20.45 | 6.77 | 1.26 | 16.52 | 6.79 | 1.25 | |
| 0.9 | 15.54 | 6.57 | 1.35 | 11.56 | 6.60 | 1.34 | 7.57 | 6.63 | 1.33 | |
| 0.75 | 0 | 37.98 | 4.13 | 0.00 | 33.82 | 4.13 | 0.00 | 29.66 | 4.12 | 0.00 |
| 0.3 | 37.98 | 4.13 | 0.00 | 33.82 | 4.13 | 0.00 | 29.66 | 4.12 | 0.00 | |
| 0.6 | 24.37 | 4.49 | 1.27 | 20.45 | 4.51 | 1.26 | 16.52 | 4.53 | 1.25 | |
| 0.9 | 15.54 | 4.38 | 1.35 | 11.56 | 4.40 | 1.34 | 7.57 | 4.42 | 1.33 | |
| 1.0 | 0 | 37.98 | 3.10 | 0.00 | 33.82 | 3.10 | 0.00 | 29.66 | 3.09 | 0.00 |
| 0.3 | 37.98 | 3.10 | 0.00 | 33.82 | 3.10 | 0.00 | 29.66 | 3.09 | 0.00 | |
| 0.6 | 24.37 | 3.37 | 1.27 | 20.45 | 3.38 | 1.26 | 16.52 | 3.40 | 1.25 | |
| 0.9 | 15.54 | 3.29 | 1.35 | 11.56 | 3.30 | 1.34 | 7.57 | 3.31 | 1.33 | |
| 1.25 | 0 | 37.98 | 2.48 | 0.00 | 33.82 | 2.48 | 0.00 | 29.66 | 2.47 | 0.00 |
| 0.3 | 37.98 | 2.48 | 0.00 | 33.82 | 2.48 | 0.00 | 29.66 | 2.47 | 0.00 | |
| 0.6 | 24.37 | 2.70 | 1.27 | 20.45 | 2.71 | 1.26 | 16.52 | 2.72 | 1.25 | |
| 0.9 | 15.54 | 2.63 | 1.35 | 11.56 | 2.64 | 1.34 | 7.57 | 2.65 | 1.33 | |
Publisher’s Note: MDPI stays neutral with regard to jurisdictional claims in published maps and institutional affiliations. |
© 2022 by the authors. Licensee MDPI, Basel, Switzerland. This article is an open access article distributed under the terms and conditions of the Creative Commons Attribution (CC BY) license (https://creativecommons.org/licenses/by/4.0/).
Share and Cite
Yadav, D.; Al-Siyabi, M.; Awasthi, M.K.; Al-Nadhairi, S.; Al-Rahbi, A.; Al-Subhi, M.; Ragoju, R.; Bhattacharyya, K. Chemical Reaction and Internal Heating Effects on the Double Diffusive Convection in Porous Membrane Enclosures Soaked with Maxwell Fluid. Membranes 2022, 12, 338. https://doi.org/10.3390/membranes12030338
Yadav D, Al-Siyabi M, Awasthi MK, Al-Nadhairi S, Al-Rahbi A, Al-Subhi M, Ragoju R, Bhattacharyya K. Chemical Reaction and Internal Heating Effects on the Double Diffusive Convection in Porous Membrane Enclosures Soaked with Maxwell Fluid. Membranes. 2022; 12(3):338. https://doi.org/10.3390/membranes12030338
Chicago/Turabian StyleYadav, Dhananjay, Maimouna Al-Siyabi, Mukesh Kumar Awasthi, Salma Al-Nadhairi, Amna Al-Rahbi, Maryam Al-Subhi, Ravi Ragoju, and Krishnendu Bhattacharyya. 2022. "Chemical Reaction and Internal Heating Effects on the Double Diffusive Convection in Porous Membrane Enclosures Soaked with Maxwell Fluid" Membranes 12, no. 3: 338. https://doi.org/10.3390/membranes12030338
APA StyleYadav, D., Al-Siyabi, M., Awasthi, M. K., Al-Nadhairi, S., Al-Rahbi, A., Al-Subhi, M., Ragoju, R., & Bhattacharyya, K. (2022). Chemical Reaction and Internal Heating Effects on the Double Diffusive Convection in Porous Membrane Enclosures Soaked with Maxwell Fluid. Membranes, 12(3), 338. https://doi.org/10.3390/membranes12030338

