Versatile Photo/Electricity Responsive Properties of a Coordination Polymer Based on Extended Viologen Ligands
Abstract
:1. Introduction
2. Materials and Methods
2.1. Materials
2.2. Methods
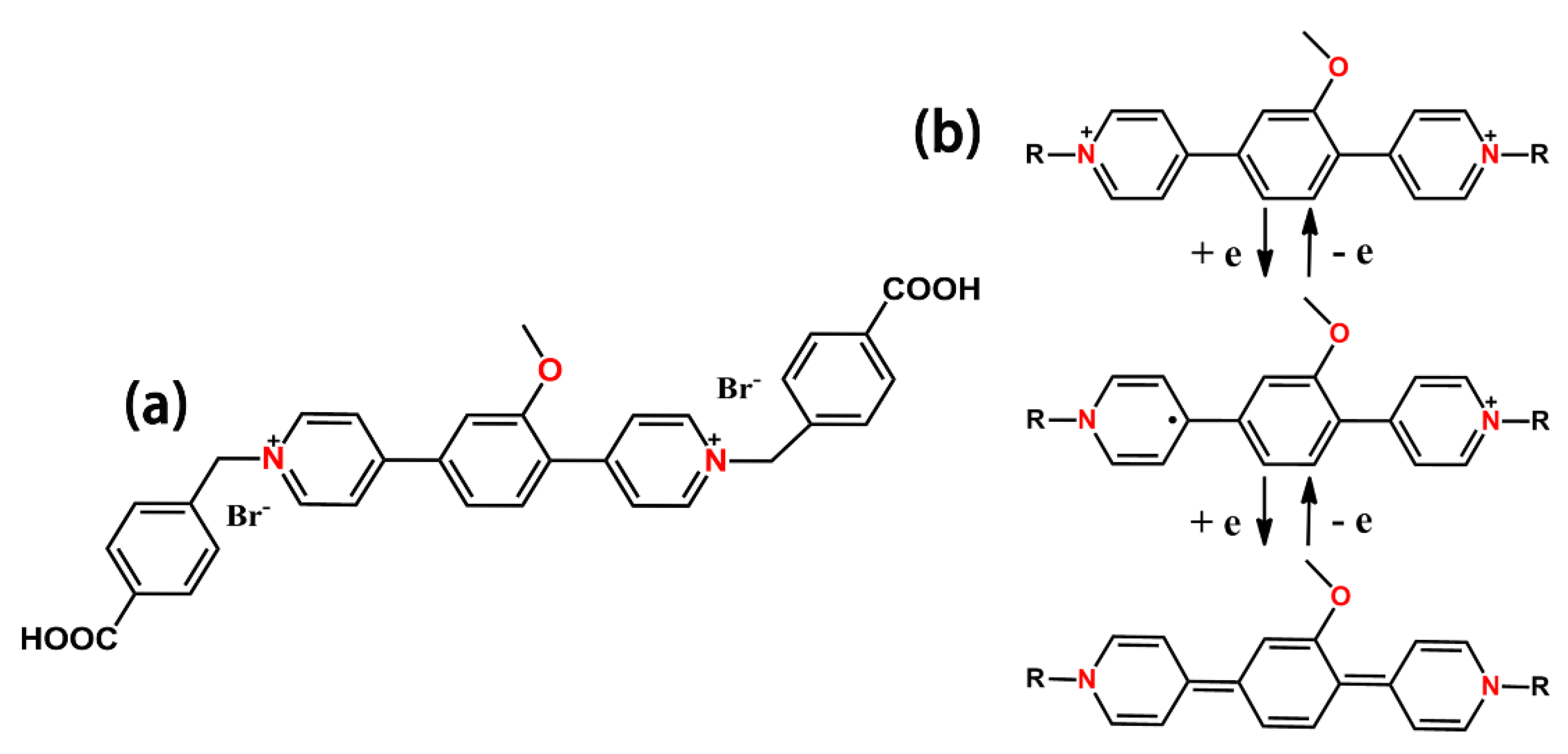
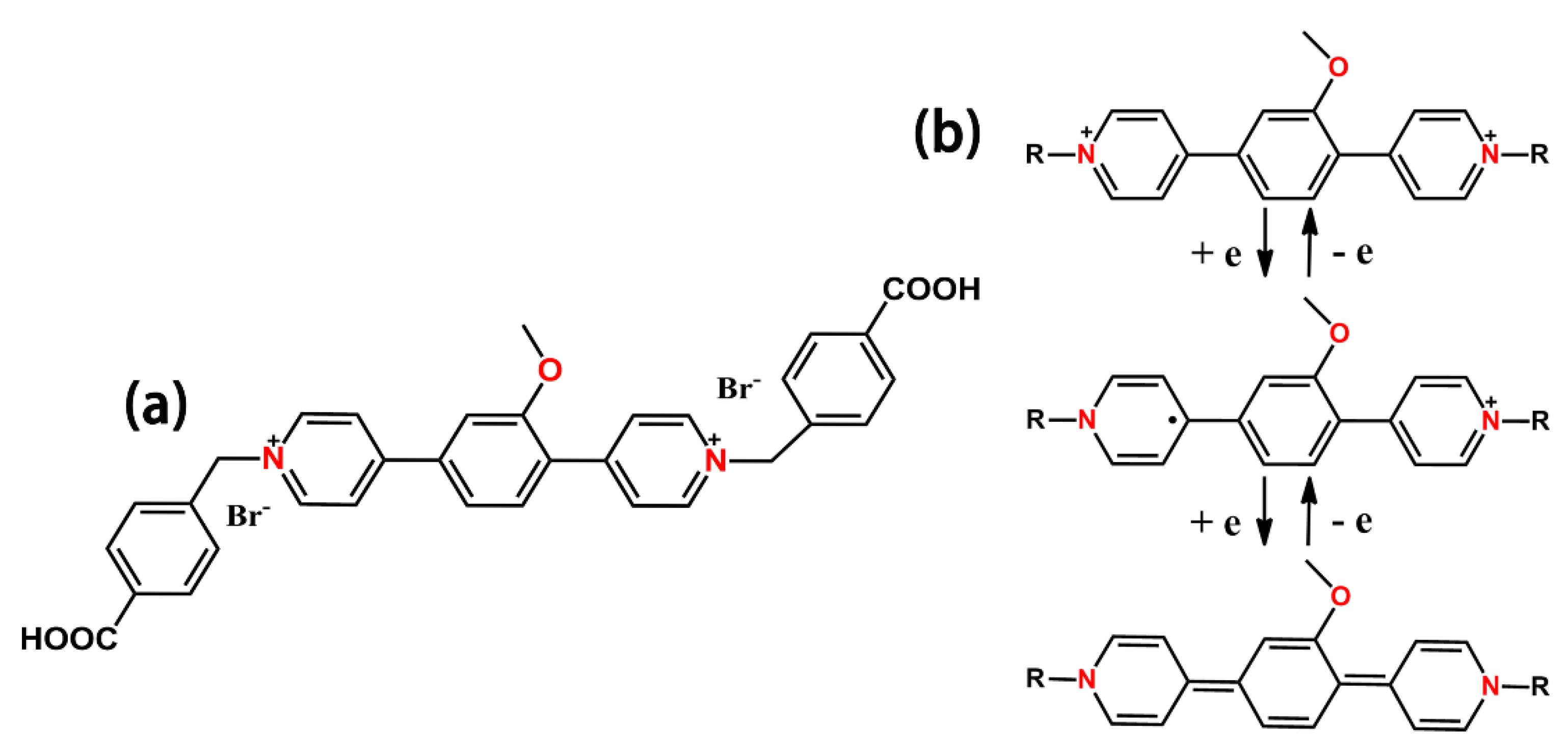
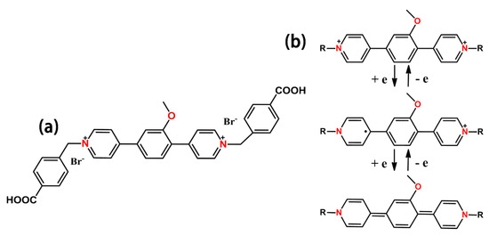
2.3. Synthesis of the ExV Ligand
2.4. Preparation of Zn−Oxv Powder and Zn−Oxv Thin Films on ITO Substrates
3. Results
3.1. Structure Verification
3.2. Multi−Stimuli Responsive Properties
3.2.1. Photochromism and Photomodulable Fluorescence
3.2.2. Electrochromism and Electrofluorochromism
4. Conclusions
Supplementary Materials
Author Contributions
Funding
Institutional Review Board Statement
Informed Consent Statement
Data Availability Statement
Acknowledgments
Conflicts of Interest
References
- Zhang, H.; Hu, P.; Zhang, Q.; Huang, M.; Lu, C.Z.; Malgras, V.; Yamauchi, Y.; Zhang, J.; Du, S.W. Interpreted Recognition Process: A Highly Sensitive and Selective Luminescence Chemosensor. Chemistry 2015, 21, 11767–11772. [Google Scholar] [CrossRef] [PubMed]
- Zhao, H.; Ni, J.; Zhang, J.-J.; Liu, S.-Q.; Sun, Y.-J.; Zhou, H.; Li, Y.-Q.; Duan, C.-Y. A trichromatic MOF composite for multidimensional ratiometric luminescent sensing. Chem. Sci. 2018, 9, 2918–2926. [Google Scholar] [CrossRef] [PubMed] [Green Version]
- Han, Y.-H.; Tian, C.-B.; Li, Q.-H.; Du, S.-W. Highly chemical and thermally stable luminescent EuxTb1−xMOF materials for broad-range pH and temperature sensors. J. Mater. Chem. C 2014, 2, 8065–8070. [Google Scholar] [CrossRef]
- Garai, B.; Mallick, A.; Banerjee, R. Photochromic metal-organic frameworks for inkless and erasable printing. Chem. Sci. 2016, 7, 2195–2200. [Google Scholar] [CrossRef] [Green Version]
- Zhang, J.; Ouyang, J.; Ye, Y.; Li, Z.; Ling, Q.; Chen, T.; Zhang, Z.; Xiang, S. Mixed−Valence Cobalt(II/III) Metal−Organic Framework for Ammonia Sensing with Naked−Eye Color Switching. ACS Appl. Mater. Interfaces 2018, 10, 27465–27471. [Google Scholar] [CrossRef] [PubMed]
- Xing, X.-S.; Sa, R.-J.; Li, P.-X.; Zhang, N.-N.; Zhou, Z.-Y.; Liu, B.-W.; Liu, J.; Wang, M.-S.; Guo, G.-C. Second−order nonlinear optical switching with a record−high contrast for a photochromic and thermochromic bistable crystal. Chem. Sci. 2017, 8, 7751–7757. [Google Scholar] [CrossRef] [Green Version]
- Li, X.-N.; Tu, Z.-M.; Li, L.; Wang, Z.-H.; Zhang, H. A novel viologen−based coordination polymer with multi−stimuli responsive chromic properties: Photochromism, thermochromism, chemochromism and electrochromism. Dalton Trans. 2020, 49, 3228–3233. [Google Scholar] [CrossRef] [PubMed]
- Li, K.R.; Shao, Y.L.; Yan, H.P.; Lu, Z.; Griffith, K.J.; Yan, J.H.; Wang, G.; Fan, H.W.; Lu, J.Y.; Huang, W.; et al. Lattice−contraction triggered synchronous electrochromic actuator. Nat. Commun. 2018, 9, 4798. [Google Scholar] [CrossRef] [Green Version]
- Christiansen, D.T.; Ohtani, S.; Chujo, Y.; Tomlinson, A.L.; Reynolds, J.R. All Donor Electrochromic Polymers Tunable across the Visible Spectrum via Random Copolymerization. Chem. Mater. 2019, 31, 6841–6849. [Google Scholar] [CrossRef]
- Beneduci, A.; Cospito, S.; La Deda, M.; Chidichimo, G. Highly Fluorescent Thienoviologen−Based Polymer Gels for Single Layer Electrofluorochromic Devices. Adv. Funct. Mater. 2015, 25, 1240–1247. [Google Scholar] [CrossRef]
- Corrente, G.A.; Fabiano, E.; La Deda, M.; Manni, F.; Gigli, G.; Chidichimo, G.; Capodilupo, A.L.; Beneduci, A. High−Performance Electrofluorochromic Switching Devices Using a Novel Arylamine−Fluorene Redox−Active Fluorophore. ACS Appl. Mater. Interfaces 2019, 11, 12202–12208. [Google Scholar] [CrossRef] [PubMed]
- Szukalski, A.; Korbut, A.; Ortyl, E. Structural and light driven molecular engineering in photochromic polymers. Polymer 2020, 192, 122311. [Google Scholar] [CrossRef]
- Mallo, N.; Foley, E.D.; Iranmanesh, H.; Kennedy, A.D.W.; Luis, E.T.; Ho, J.M.; Harper, J.B.; Beves, J.E. Structure−function relationships of donor−acceptor Stenhouse adduct photochromic switches. Chem. Sci. 2018, 9, 8242–8252. [Google Scholar] [CrossRef] [PubMed] [Green Version]
- Zhang, H.; Sheng, T.; Hu, S.; Zhuo, C.; Fu, R.; Wen, Y.; Li, H.; Wu, X. Confinement of an electron−capturing unit within an electron−donating framework for X−ray detection. J. Mater. Chem. C 2016, 4, 3431–3436. [Google Scholar] [CrossRef]
- Yu, H.-F.; Chen, K.-I.; Yeh, M.-H.; Ho, K.-C. Effect of trifluoromethyl substituents in benzyl−based viologen on the electrochromic performance: Optical contrast and stability. Sol. Energy Mater. Sol. Cells 2019, 200, 110020. [Google Scholar] [CrossRef]
- Gong, T.; Sui, Q.; Li, P.; Meng, X.F.; Zhou, L.J.; Chen, J.Q.; Xu, J.H.; Wang, L.; Gao, E.Q. Versatile and Switchable Responsive Properties of a Lanthanide−Viologen Metal−Organic Framework. Small 2019, 15, e1803468. [Google Scholar] [CrossRef]
- Kaneko, W.; Ohba, M.; Kitagawa, S. A flexible coordination polymer crystal providing reversible structural and magnetic conversions. J. Am. Chem. Soc. 2007, 129, 13706–13712. [Google Scholar] [CrossRef]
- Hu, S.; Zhang, J.; Chen, S.; Dai, J.; Fu, Z. Efficient Ultraviolet Light Detector Based on a Crystalline Viologen−Based Metal−Organic Framework with Rapid Visible Color Change under Irradiation. ACS Appl. Mater. Interfaces 2017, 9, 39926–39929. [Google Scholar] [CrossRef]
- Li, S.L.; Han, M.; Zhang, Y.; Lo, G.P.; Li, M.; He, G.; Zhang, X.M. X−ray and UV Dual Photochromism, Thermochromism, Electrochromism, and Amine−Selective Chemochromism in an Anderson−like Zn−7 Cluster−Based 7−Fold Interpenetrated Framework. J. Am. Chem. Soc. 2019, 141, 12663–12672. [Google Scholar] [CrossRef]
- Li, P.; Zhou, L.-J.; Yang, N.-N.; Sui, Q.; Gong, T.; Gao, E.-Q. Metal−Organic Frameworks with Extended Viologen Units: Metal−Dependent Photochromism, Photomodulable Fluorescence, and Sensing Properties. Cryst. Growth Design 2018, 18, 7191–7198. [Google Scholar] [CrossRef]
- Zhang, J.; Zeng, Y.; Lu, H.; Chen, X.; Yuan, X.; Fu, Z. Two Zinc−Viologen Interpenetrating Frameworks with Straight and Offset Stacking Modes Respectively Showing Different Photo/Thermal Responsive Characters. Cryst. Growth Design 2020, 20, 2617–2622. [Google Scholar] [CrossRef]
- Wu, Y.; Zhou, J.; Phelan, B.T.; Mauck, C.M.; Stoddart, J.F.; Young, R.M.; Wasielewski, M.R. Probing Distance Dependent Charge−Transfer Character in Excimers of Extended Viologen Cyclophanes Using Femtosecond Vibrational Spectroscopy. J. Am. Chem. Soc. 2017, 139, 14265–14276. [Google Scholar] [CrossRef] [PubMed]
- Shi, Y.; Wang, G.; Chen, Q.; Zheng, J.; Xu, C. Electrochromism and electrochromic devices of new extended viologen derivatives with various substituent benzene. Sol. Energy Mater. Sol. Cells 2020, 208, 110413. [Google Scholar] [CrossRef]
- Shi, Y.; Liu, J.; Li, M.; Zheng, J.; Xu, C. Novel electrochromic−fluorescent bi−functional devices based on aromatic viologen derivates. Electrochim. Acta 2018, 285, 415–423. [Google Scholar] [CrossRef]
- Cai, G.F.; Cui, P.; Shi, W.X.; Morris, S.; Lou, S.N.; Chen, J.W.; Ciou, J.H.; Paidi, V.K.; Lee, K.S.; Li, S.Z.; et al. One−Dimensional pi−d Conjugated Coordination Polymer for Electrochromic Energy Storage Device with Exceptionally High Performance. Adv. Sci. 2020, 7, 1903109. [Google Scholar] [CrossRef]
- Wu, M.-X.; Yang, Y.-W. A fluorescent pillarene coordination polymer. Polym. Chem. 2019, 10, 2980–2985. [Google Scholar] [CrossRef]
- Liu, J.; Ma, X.Y.D.; Wang, Z.; Xu, L.; Wang, F.; He, C.; Lu, X. Metal–Organic Framework−Based Flexible Devices with Simultaneous Electrochromic and Electrofluorochromic Functions. ACS Appl. Electron. Mater. 2021, 3, 1489–1495. [Google Scholar] [CrossRef]
- Palacios, E.G.; Monhemius, A.J. Infrared spectroscopy of metal carboxylates I. Determination of free acid in solution. Hydrometallurgy 2001, 62, 135–143. [Google Scholar] [CrossRef]
- Wang, Q.; Wang, Q.; Xu, B.; Gao, F.; Gao, F.; Zhao, C. Flower−shaped multiwalled carbon nanotubes@nickel−trimesic acid MOF composite as a high−performance cathode material for energy storage. Electrochim. Acta 2018, 281, 69–77. [Google Scholar] [CrossRef]
- Yang, Z.; Xu, M.; Liu, Y.; He, F.; Gao, F.; Su, Y.; Wei, H.; Zhang, Y. Nitrogen−doped, carbon−rich, highly photoluminescent carbon dots from ammonium citrate. Nanoscale 2014, 6, 1890–1895. [Google Scholar] [CrossRef]
- Yadav, D.K.; Gupta, R.; Ganesan, V.; Sonkar, P.K.; Yadav, M. Gold Nanoparticles Incorporated in a Zinc−Based Metal−Organic Framework as Multifunctional Catalyst for the Oxygen Reduction and Hydrogen Evolution Reactions. Chemelectrochem 2018, 5, 2612–2619. [Google Scholar] [CrossRef]
- Chen, C.; Sun, J.-K.; Zhang, Y.-J.; Yang, X.-D.; Zhang, J. Flexible Viologen−Based Porous Framework Showing X−ray Induced Photochromism with Single−Crystal−to−Single−Crystal Transformation. Angew. Chem. 2017, 56, 14458–14462. [Google Scholar] [CrossRef] [PubMed]
- Shen, D.-F.; Li, S.; Liu, H.; Jiang, W.; Zhang, Q.; Gao, G.-G. A durable and fast−responsive photochromic and switchable luminescent polyviologen−polyoxometalate hybrid. J. Mater. Chem. C 2015, 3, 12090–12097. [Google Scholar] [CrossRef]
- Sui, Q.; Li, P.; Sun, R.; Fang, Y.-H.; Wang, L.; Wang, B.-W.; Gao, E.-Q.; Gao, S. Effects of Different Counter Anions on Solid−State Electron Transfer in Viologen Compounds: Modulation of Color and Piezo− and Photochromic Properties. J. Phys. Chem. Lett. 2020, 11, 9282–9288. [Google Scholar] [CrossRef]
- Zhang, C.; Sun, L.; Yan, Y.; Liu, Y.; Liang, Z.; Liu, Y.; Li, J. Metal−organic frameworks based on bipyridinium carboxylate: Photochromism and selective vapochromism. J. Mater. Chem. C 2017, 5, 2084–2089. [Google Scholar] [CrossRef]
- Wu, X.; Wang, K.; Lin, J.; Yan, D.; Guo, Z.; Zhan, H. A thin film of naphthalenediimide−based metal−organic framework with electrochromic properties. J. Colloid Interface Sci. 2021, 594, 73–79. [Google Scholar] [CrossRef]
- Li, R.; Li, S.; Zhang, Q.; Li, Y.; Wang, H. Layer−by−layer assembled triphenylene−based MOFs films for electrochromic electrode. Inorg. Chem. Commun. 2021, 123, 108354. [Google Scholar] [CrossRef]
- Kung, C.-W.; Wang, T.C.; Mondloch, J.E.; Fairen-Jimenez, D.; Gardner, D.M.; Bury, W.; Klingsporn, J.M.; Barnes, J.C.; Van Duyne, R.; Stoddart, J.F.; et al. Metal−Organic Framework Thin Films Composed of Free−Standing Acicular Nanorods Exhibiting Reversible Electrochromism. Chem. Mater. 2013, 25, 5012–5017. [Google Scholar] [CrossRef]
- Liu, J.; Ma, X.Y.D.; Wang, Z.; Xu, L.; Xu, T.; He, C.; Wang, F.; Lu, X. Highly Stable and Rapid Switching Electrochromic Thin Films Based on Metal−Organic Frameworks with Redox−Active Triphenylamine Ligands. ACS Appl. Mater. Interfaces 2020, 12, 7442–7450. [Google Scholar] [CrossRef]
- Mjejri, I.; Doherty, C.M.; Rubio−Martinez, M.; Drisko, G.L.; Rougier, A. Double−Sided Electrochromic Device Based on Metal−Organic Frameworks. Acs Appl. Mater. Interfaces 2017, 9, 39930–39934. [Google Scholar] [CrossRef]
- Zhang, N.; Jin, Y.; Zhang, Q.; Liu, J.; Zhang, Y.; Wang, H. Direct fabrication of electrochromic Ni−MOF 74 film on ITO with high−stable performance. Ionics 2021, 27, 3655–3662. [Google Scholar] [CrossRef]





| Compounds | Functional Ligands | ΔT (%) | tc (s) | tb (s) | Reference |
|---|---|---|---|---|---|
| Zn−Oxv | viologen | 44.5 | 0.95 | 0.99 | This work |
| Zn−NDI−74 | NDI | 21 | 3 | 91 | [36] |
| Cu3(HHTP)2 | triphenylene | 40 | 3.2 | 5.9 | [37] |
| NU−901 | pyrene | 62 | 12 | 5 | [38] |
| CuTCA | TCA | 65 | 4.8 | 3.3 | [39] |
| Zn−MOF−74 | DOBDC | 13 | 8 | 9 | [40] |
| Ni−MOF−74 | DHTA | 44.4 | 24.5 | 23.5 | [41] |
Publisher’s Note: MDPI stays neutral with regard to jurisdictional claims in published maps and institutional affiliations. |
© 2022 by the authors. Licensee MDPI, Basel, Switzerland. This article is an open access article distributed under the terms and conditions of the Creative Commons Attribution (CC BY) license (https://creativecommons.org/licenses/by/4.0/).
Share and Cite
Peng, X.; Shi, Y.; Zeng, Z.; Zheng, J.; Xu, C. Versatile Photo/Electricity Responsive Properties of a Coordination Polymer Based on Extended Viologen Ligands. Membranes 2022, 12, 277. https://doi.org/10.3390/membranes12030277
Peng X, Shi Y, Zeng Z, Zheng J, Xu C. Versatile Photo/Electricity Responsive Properties of a Coordination Polymer Based on Extended Viologen Ligands. Membranes. 2022; 12(3):277. https://doi.org/10.3390/membranes12030277
Chicago/Turabian StylePeng, Xiaohan, Yuchen Shi, Zhiqiang Zeng, Jianming Zheng, and Chunye Xu. 2022. "Versatile Photo/Electricity Responsive Properties of a Coordination Polymer Based on Extended Viologen Ligands" Membranes 12, no. 3: 277. https://doi.org/10.3390/membranes12030277
APA StylePeng, X., Shi, Y., Zeng, Z., Zheng, J., & Xu, C. (2022). Versatile Photo/Electricity Responsive Properties of a Coordination Polymer Based on Extended Viologen Ligands. Membranes, 12(3), 277. https://doi.org/10.3390/membranes12030277
