New Insights on the Effects of Water on Polymer Inclusion Membranes Containing Aliquat 336 Derivatives as Carriers
Abstract
:1. Introduction
2. Materials and Methods
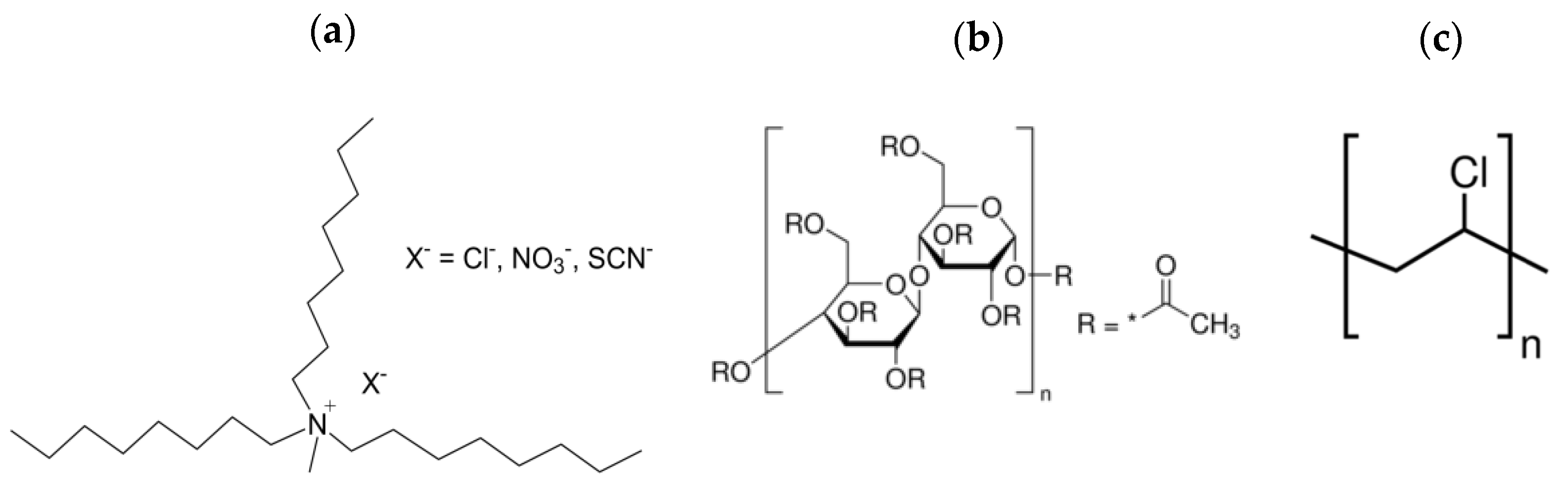
2.1. Reagents and Solutions
2.2. IL Preparation
2.3. PIMs Preparation
2.4. XPS Measurements
2.5. Scanning Electron Microscopy
2.6. Transport Experiments for As(V)
3. Results and Discussion
3.1. Chemical Surface Characterization of PIMs by XPS
3.2. Morphological Characterization with SEM
3.3. Comparision of IL Performance in Transport Experiments
4. Conclusions
Author Contributions
Funding
Conflicts of Interest
References
- Nghiem, L.; Mornane, P.; Potter, I.; Perera, J.; Cattrall, R.; Kolev, S. Extraction and transport of metal ions and small organic compounds using polymer inclusion membranes (PIMs). J. Membr. Sci. 2006, 281, 7–41. [Google Scholar] [CrossRef]
- Casadellà, A.; Schaetzle, O.; Nijmeijer, K.; Loos, K. Polymer Inclusion Membranes (PIM) for the Recovery of Potassium in the Presence of Competitive Cations. Polymers 2016, 8, 76. [Google Scholar] [CrossRef] [Green Version]
- Güell, R.; Anticó, E.; Kolev, S.D.; Benavente, J.; Salvadó, V.; Fontàs, C. Development and characterization of polymer inclusion membranes for the separation and speciation of inorganic As species. J. Membr. Sci. 2011, 383, 88–95. [Google Scholar] [CrossRef]
- Parhi, P.K. Supported Liquid Membrane Principle and Its Practices: A Short Review. J. Chem. 2013, 2013, 618236. [Google Scholar] [CrossRef]
- Vázquez, M.I.; Romero, V.; Fontàs, C.; Anticó, E.; Benavente, J. Polymer inclusion membranes (PIMs) with the ionic liquid (IL) Aliquat 336 as extractant: Effect of base polymer and IL concentration on their physical-chemical and elastic characteristics. J. Membr. Sci. 2014, 455, 312–319. [Google Scholar] [CrossRef]
- Bennet, M.D.; Leo, D.J. Ionic Liquids as stable solvents for ionic polymer transducers. Sens. Actuators A 2004, 115, 79–90. [Google Scholar] [CrossRef]
- Welton, T. Room-Temperature Ionic Liquids. Solvents for synthesis and catalysis. Chem. Rev. 1999, 99, 2071–2083. [Google Scholar] [CrossRef]
- Armand, M.; Endres, F.; MacFarlane, D.; Ohno, H.; Scrosati, B. Ionic-liquid Materials for the Electrochemical Challenges of the Future. Nat. Mater. 2009, 8, 621–629. [Google Scholar] [CrossRef]
- Kogelnig, D.; Stojanovic, A.; Galanski, M.; Groessl, M.; Jirsa, F.; Krachler, M.; Keppler, B. Greener synthesis of new ammonium ionic liquids and their potential as extracting agents. Tetrahedron Lett. 2008, 49, 2782–2785. [Google Scholar] [CrossRef]
- Mikkola, J.-P.; Virtanen, P.; Sjöholm, R. Aliquat 336®—A versatile and affordable cation source for an entirely new family of hydrophobic ionic liquids. Green Chem. 2006, 8, 250–255. [Google Scholar] [CrossRef]
- Neves, L.A.; Benavente, J.; Coelhoso, I.M.; Crespo, J.G. Design and characterization of Nafion membranes with incorporated ionic liquid cations. J. Membr. Sci. 2010, 347, 42–53. [Google Scholar] [CrossRef]
- Gao, J.; Liu, J.; Liu, W.; Li, B.; Xin, Y.; Yin, Y.; Gu, J.; Zou, Z. Proton exchange membrane fuel cell working at elevated temperature with ionic liquid as electrolyte. Int. J. Electrochem. Sci. 2011, 6, 611–616. [Google Scholar]
- Díaz, M.; Ortiz, A.; Ortiz, I. Progress in the use of ionic liquids as electrolyte membranes in fuel cells. J. Membr. Sci. 2014, 469, 379–396. [Google Scholar] [CrossRef] [Green Version]
- Neves, L.A.; Coelhoso, I.; Crespo, J.G. Methanol and gas crossover through modified nafion membranes by incorporation of ionic liquid cations. J. Membr. Sci. 2010, 360, 363–370. [Google Scholar] [CrossRef]
- Gherasim, C.-V.I.; Bourceanu, G.; Olariu, R.-I.; Arsene, C. Removal of lead(II) from aqueous solutions by a polyvinyl-chloride inclusion membrane without added plasticizer. J. Membr. Sci. 2011, 377, 167–174. [Google Scholar] [CrossRef]
- Pont, N.; Salvadó, V.; Fontàs, C. Selective transport and removal of Cd from chloride solutions by polymer inclusion membranes. J. Memb. Sci. 2008, 318, 340–345. [Google Scholar] [CrossRef]
- Matsumoto, M.; Murakami, Y.; Minamidate, Y.; Kondo, K. Separation of lactic acid through polymer inclusion membranes containing ionic liquids. Sep. Sci. Technol. 2012, 47, 354–359. [Google Scholar] [CrossRef]
- Nasser, I.I.; Amor, F.I.E.H.; Donato, L.; Algieri, C.; Garofalo, A.; Drioli, E.; Ahmed, C. Removal and recovery of Ag(CN)2- from synthetic electroplating baths by polymer inclusion membranes containing Aliquat 336 as a carrier. Chem. Eng. J. 2016, 295, 207–217. [Google Scholar] [CrossRef]
- Vera, R.; Gelde, L.; Anticó, E.; de Yuso, M.V.M.; Benavente, J.; Fontàs, C. Tuning physicochemical, electrochemical and transport characteristics of polymer inclusion membrane by varying the counter-anion of the ionic liquid Aliquat 336. J. Membr. Sci. 2017, 529, 87–94. [Google Scholar] [CrossRef]
- Benavente, J.; Romero, V.; Vázquez, M.I.; Anticó, E.; Fontàs, C. Electrochemical Characterization of a Polymer Inclusion Membrane Made of Cellulose Triacetate and Aliquat 336 and Its Application to Sulfonamides Separation. Separations 2018, 5, 5. [Google Scholar] [CrossRef] [Green Version]
- Kallioinen, M.; Nyström, M. Membrane Surface Characterization. In Advanced Membrane Technology and Applications; Li, N.N., Fane, A.G., Ho, W.S.W., Matsuura, T., Eds.; Chapter 32; Wiley Online Library: Hoboken, NJ, USA, 2008; pp. 841–877. [Google Scholar]
- Xu, Z.; Wan, L.; Huang, X. Techniques for Membrane Surface Characterization. In Surface Engineering of Polymeric Membranes; ATSTC Book Series; Springer: Berlin/Heidelberg, Germany, 2009; Chapter 2; pp. 5–63. [Google Scholar]
- Ariza, M.J.; Castellón, E.R.; Rico, R.; Benavente, J.; Muñoz, M.; Oleinikova, M. X-ray Photoelectron Spectroscopy Analysis of Di-(2-ethylhexyl) Phosphoric Acid Activated Membranes. J. Colloid Interface Sci. 2000, 226, 151–158. [Google Scholar] [CrossRef] [Green Version]
- Ariza, M.J.; Benavente, J.; Rodríguez-Castellón, E.; Palacio, L. Effect of Hydration of Polyamide Membranes on the Surface Electrokinetic Parameters: Surface Characterization by X-Ray Photoelectronic Spectroscopy and Atomic Force Microscopy. J. Colloid Interface Sci. 2002, 247, 149–158. [Google Scholar] [CrossRef] [Green Version]
- Szymczyk, A.; Fatin-Rouge, N.; Fievet, P. Tangential streaming potential as a tool in modeling of ion transport through nanoporous membranes. J. Colloid Interface Sci. 2007, 309, 245–252. [Google Scholar] [CrossRef]
- de Yuso, M.V.M.; Calderón, A.B.; Romero, V.; Cuberes, M.T.; Benavente, J. Chemical and inhomogeneity surface changes of a Nafion membrane associated to its doping with the room temperature ionic liquid AliquatCl. Surf. Interf. Anal. 2016, 48, 561–565. [Google Scholar] [CrossRef]
- Ogielo, W.; Wormeester, H.; Wessling, M.; Benes, N.E. Spectroscopic ellipsometry analysis of a thin film composite membrane consisting of polysulphone on a porous a-alumina support. ACS Appl. Mater. Interfaces 2012, 4, 935–943. [Google Scholar] [CrossRef]
- Palacio, L.; Prádanos, P.; Hernández, A.; Ariza, M.J.; Benavente, J.; Nyström, M. Phase-contrast scanning force microscopy and chemical heterogeneity of GR polysulphone ultrafiltration membranes. Appl. Phys. A 2001, 73, 555–560. [Google Scholar] [CrossRef]
- Buechner, C.; Gericke, S.M.; Trotochaud, L.; Karslıoǧlu, O.; Raso, J.; Bluhm, H.; Karslıoğlu, O. Quantitative characterization of a desalination membrane model system by X-ray photoelectron spectroscopy. Langmuir 2019, 35, 11315–11321. [Google Scholar] [CrossRef]
- Briggs, D.; Seah, M.P. Practical Surface Analysis, 2nd ed.; Vol I: Auger and X-ray Photoelectron Spectroscopy; John Wiley & Sons: Chichester, UK, 1995. [Google Scholar]
- Ariza, M.J.; Benavente, J.; Rodríguez-Castellón, E. The capability of X-ray Photoelectron Spectroscopy in the Characterization of Membranes: Correlation between Surface Chemical and Transport Properties in Polymeric Membranes. In Handbook of Membrane Research: Properties, Performance and Applications; Gorley, S.V., Ed.; Nova Science Publishers, Inc.: New York, NY, USA, 2009; pp. 257–290. ISBN 978-1-60741-638-8. [Google Scholar]
- Keurentjes, J.T.F.; Harbrecht, J.G.; Brinkman, D.; Hanemaaijer, J.H.; Stuart, M.A.C.; van’t Riet, K. Hydrophobicity measurements of microfiltration and ultrafiltration membranes. J. Membr. Sci. 1989, 47, 333–344. [Google Scholar] [CrossRef] [Green Version]
- Ramos, J.D.; Milano, C.; Romero, V.; Escalera, S.; Alba, M.C.; Vázquez, M.I.; Benavente, J. Water effect on physical-chemical and elastic parameters for a dense cellulose regenerated membrane. Transport of different aqueous electrolyte solutions. J. Membr. Sci. 2010, 352, 153–159. [Google Scholar] [CrossRef]
- Moulder, J.F.; Stickl, W.F.; Sobol, P.E.; Bomben, K.D. Handbook of X-Ray Photoelectron Spectroscopy; Perkin-Elmer: Eden Prairie, MN, USA, 1992. [Google Scholar]
- Kagaya, S.; Ryokan, Y.; Cattrall, R.W.; Kolev, S. Stability studies of poly(vinyl chloride)-based polymer inclusion membranes containing Aliquat 336 as a carrier. Sep. Purif. Technol. 2012, 101, 69–75. [Google Scholar] [CrossRef]
- Tomás-Alonso, F.; Rubio, A.M.; Giménez, A.; Rios, A.P.D.L.; Salar-García, M.J.; Ortiz-Martínez, V.M.; Hernández-Fernández, F.J. Influence of ionic liquid composition on the stability of polyvinyl chloride-based ionic liquid inclusion membranes in aqueous solution. AIChE J. 2016, 63, 770–780. [Google Scholar] [CrossRef]
- Livi, S.; Silva, A.A.; Thimont, Y.; Nguyen, T.K.L.; Soares, B.G.; Gérard, J.-F.; Duchet-Rumeau, J. Nanostructured thermosets from ionic liquid building block–epoxy prepolymer mixtures. RSC Adv. 2014, 4, 28099–28106. [Google Scholar] [CrossRef] [Green Version]
- Livi, S.; Gérard, J.-F.; Duchet-Rumeau, J. Ionic liquids: Structuration agents in a fluorinated matrix. Chem. Commun. 2011, 47, 3589–3591. [Google Scholar] [CrossRef]
- Zhang, X.; Sun, H.; Yang, C.; Zhang, K.; Yuen, M.M.F.; Yang, S. Highly conductive polymer composites from room-temperature ionic liquid cured epoxy resin: Effect of interphase layer on percolation conductance. RSC Adv. 2013, 3, 1916–1921. [Google Scholar] [CrossRef]
- Vera, R.; Anticó, E.; Fontàs, C. The Use of a Polymer Inclusion Membrane for Arsenate Determination in Groundwater. Water 2018, 10, 1093. [Google Scholar] [CrossRef] [Green Version]











| PIM Composition | <C> (%) | <O> (%) | <N> (%) | <Cl> (%) | <S> (%) | <Si> (%) | |
|---|---|---|---|---|---|---|---|
| 60%AlqCl–40%CTA | w | 78.6 ± 1.9 | 16.5 ± 0.4 | 1.8 ± 0.2 | 1.5 ± 0.1 | nd | 1.3 ± 0.8 |
| d | 86.2 ± 0.8 | 8.2 ± 1.1 | 2.7 ± 0.1 | 2.5 ± 0.2 | nd | 0.4 ± 0.2 | |
| 60%AlqNO3–40%CTA | w | 76.3 ± 2.8 | 15.4 ± 0.7 | 4.1 ± 0.3 | nd | nd | 2.6 ± 1.2 |
| d | 81.1 ± 1.3 | 13.5 ± 0.9 | 4.0 ± 0.2 | nd | nd | 1.2 ± 0.6 | |
| 60%AlqSCN–40%CTA | w | 78.3 ± 2.1 | 14.1 ± 0.8 | 3.4 ± 0.4 | nd | 1.6 ± 0.3 | 1.7 ± 0.9 |
| d | 86.0 ± 1.5 | 6.2 ± 1.1 | 4.5 ± 0.3 | nd | 4.5 ± 0.3 | 0.8 ± 0.4 | |
| 60%AlqCl–40%PVC | w | 89.7 ± 0.5 | 2.4 ± 0.5 | 2.8 ± 0.1 | 4.0 ± 0.1 | nd | 0.7 ± 0.3 |
| d | 89.0 ± 0.3 | 4.0 ± 0.3 | 3.1 ± 0.1 | 3.7 ± 0.1 | nd | 0.2 ± 0.1 |
| PIM Composition | N1, 406.4 eV | N2, 402.4 eV | N3, 397.7 eV | ||||
|---|---|---|---|---|---|---|---|
| 60%AlqCl–40%CTA | d | (91%) | 2.5% | ||||
| w | (86.0%) | 1.6% | |||||
| 60%AlqNO3–40%CTA | d | (35.1%) | 1.4% | (55.4%) | 2.2% | ||
| w | (27.2%) | 1.1% | (50.5%) | 2.1% | |||
| 60%AlqSCN–40%CTA | d | (50.7%) | 2.3% | (44.1%) | 2.0% | ||
| w | (45.4%) | 1.6% | (25.1%) | 0.85% | |||
| 60%AlqCl–40%PVC | d | (100%) | 3.1% | ||||
| w | (100%) | 2.8% | |||||
Publisher’s Note: MDPI stays neutral with regard to jurisdictional claims in published maps and institutional affiliations. |
© 2022 by the authors. Licensee MDPI, Basel, Switzerland. This article is an open access article distributed under the terms and conditions of the Creative Commons Attribution (CC BY) license (https://creativecommons.org/licenses/by/4.0/).
Share and Cite
Fontàs, C.; Vera, R.; Anticó, E.; Martínez de Yuso, M.d.V.; Rodríguez-Castellón, E.; Benavente, J. New Insights on the Effects of Water on Polymer Inclusion Membranes Containing Aliquat 336 Derivatives as Carriers. Membranes 2022, 12, 192. https://doi.org/10.3390/membranes12020192
Fontàs C, Vera R, Anticó E, Martínez de Yuso MdV, Rodríguez-Castellón E, Benavente J. New Insights on the Effects of Water on Polymer Inclusion Membranes Containing Aliquat 336 Derivatives as Carriers. Membranes. 2022; 12(2):192. https://doi.org/10.3390/membranes12020192
Chicago/Turabian StyleFontàs, Clàudia, Ruben Vera, Enriqueta Anticó, María del Valle Martínez de Yuso, Enrique Rodríguez-Castellón, and Juana Benavente. 2022. "New Insights on the Effects of Water on Polymer Inclusion Membranes Containing Aliquat 336 Derivatives as Carriers" Membranes 12, no. 2: 192. https://doi.org/10.3390/membranes12020192
APA StyleFontàs, C., Vera, R., Anticó, E., Martínez de Yuso, M. d. V., Rodríguez-Castellón, E., & Benavente, J. (2022). New Insights on the Effects of Water on Polymer Inclusion Membranes Containing Aliquat 336 Derivatives as Carriers. Membranes, 12(2), 192. https://doi.org/10.3390/membranes12020192

