Effect of Ion Selectivity on Current Production in Sewage Microbial Fuel Cell Separators
Abstract
:1. Introduction
2. Materials and Methods
2.1. MFC Used in the Experiment
2.2. Operation of the MFC Reactors
2.3. Power Density Curve
2.4. COD Removal and Coulombic Efficiencies
2.5. Measuring Membrane Resistance
2.6. Linear Sweep Voltammetry (LSV) Test
2.7. Investigation of Dirt on Membrane
3. Results and Discussion
3.1. Current Production by the Two MFCs throughout the Operation
3.2. COD Removal and CE
3.3. Polarization Curve
3.4. Linear Sweep Voltammetry
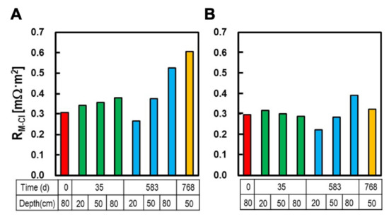
3.5. Membrane Resistance in NaCl Solution
3.6. Investigation of Dirt on Membrane
4. Conclusions
Supplementary Materials
Author Contributions
Funding
Informed Consent Statement
Acknowledgments
Conflicts of Interest
References
- UNESCO. The United Nations World Water Development Report 2021 Valuing Water; UNESCO: Paris, France, 2021; ISBN 9789231004346. [Google Scholar]
- Sugioka, M.; Yoshida, N.; Iida, K. On Site Evaluation of a Tubular Microbial Fuel Cell Using an Anion Exchange Membrane for Sewage Water Treatment. Front. Energy Res. 2019, 7, 91. [Google Scholar] [CrossRef]
- Lu, M.; Chen, S.; Babanova, S.; Phadke, S.; Salvacion, M.; Mirhosseini, A.; Chan, S.; Carpenter, K.; Cortese, R.; Bretschger, O. Long-term performance of a 20-L continuous flow microbial fuel cell for treatment of brewery wastewater. J. Power Source 2017, 356, 274–287. [Google Scholar] [CrossRef]
- Jin, P.; Gu, Y.; Shi, X.; Yang, W. Non-negligible greenhouse gases from urban sewer system. Biotechnol. Biofuels 2019, 12, 100. [Google Scholar] [CrossRef] [PubMed] [Green Version]
- Franz, M. Phosphate fertilizer from sewage sludge ash (SSA). Waste Manag. 2008, 28, 1809–1818. [Google Scholar] [CrossRef]
- McCarty, P.L.; Bae, J.; Kim, J. Domestic wastewater treatment as a net energy producer-can this be achieved? Environ. Sci. Technol. 2011, 45, 7100–7106. [Google Scholar] [CrossRef]
- Logan, B.E.; Hamelers, B.; Rozendal, R.; Schröder, U.; Keller, J.; Freguia, S.; Aelterman, P.; Verstraete, W.; Rabaey, K. Microbial fuel cells: Methodology and technology. Environ. Sci. Technol. 2006, 40, 5181–5192. [Google Scholar] [CrossRef]
- AlSayed, A.; Soliman, M.; Eldyasti, A. Microbial fuel cells for municipal wastewater treatment: From technology fundamentals to full-scale development. Renew. Sustain. Energy Rev. 2020, 134, 110367. [Google Scholar] [CrossRef]
- Liu, H.; Logan, B.E. Electricity generation using an air-cathode single chamber microbial fuel cell in the presence and absence of a proton exchange membrane. Environ. Sci. Technol. 2004, 38, 4040–4046. [Google Scholar] [CrossRef]
- Nojavan, S.; Zare, K.; Mohammadi-Ivatloo, B. Application of fuel cell and electrolyzer as hydrogen energy storage system in energy management of electricity energy retailer in the presence of the renewable energy sources and plug-in electric vehicles. Energy Convers. Manag. 2017, 136, 404–417. [Google Scholar] [CrossRef]
- Zhang, H.; Sun, C. Cost-effective iron-based aqueous redox flow batteries for large-scale energy storage application: A review. J. Power Source 2021, 493, 229445. [Google Scholar] [CrossRef]
- Dong, Y.; Qu, Y.; He, W.; Du, Y.; Liu, J.; Han, X.; Feng, Y. A 90-liter stackable baffled microbial fuel cell for brewery wastewater treatment based on energy self-sufficient mode. Bioresour. Technol. 2015, 195, 66–72. [Google Scholar] [CrossRef] [PubMed]
- Hiegemann, H.; Littfinski, T.; Krimmler, S.; Lübken, M.; Klein, D.; Schmelz, K.G.; Ooms, K.; Pant, D.; Wichern, M. Performance and inorganic fouling of a submergible 255 L prototype microbial fuel cell module during continuous long-term operation with real municipal wastewater under practical conditions. Bioresour. Technol. 2019, 294, 122227. [Google Scholar] [CrossRef]
- Goto, Y.; Yoshida, N. Scaling up Microbial Fuel Cells for Treating. Water 2019, 11, 1803. [Google Scholar] [CrossRef] [Green Version]
- Rossi, R.; Jones, D.; Myung, J.; Zikmund, E.; Yang, W.; Gallego, Y.A.; Pant, D.; Evans, P.J.; Page, M.A.; Cropek, D.M.; et al. Evaluating a multi-panel air cathode through electrochemical and biotic tests. Water Res. 2019, 148, 51–59. [Google Scholar] [CrossRef]
- Cheng, S.; Liu, H.; Logan, B.E. Increased performance of single-chamber microbial fuel cells using an improved cathode structure. Electrochem. Commun. 2006, 8, 489–494. [Google Scholar] [CrossRef]
- Al Lawati, M.J.; Jafary, T.; Baawain, M.S.; Al-Mamun, A. A mini review on biofouling on air cathode of single chamber microbial fuel cell; prevention and mitigation strategies. Biocatal. Agric. Biotechnol. 2019, 22, 101370. [Google Scholar] [CrossRef]
- Liu, W.; Cheng, S.; Yin, L.; Sun, Y.; Yu, L. Influence of soluble microbial products on the long-term stability of air cathodes in microbial fuel cells. Electrochim. Acta 2018, 261, 557–564. [Google Scholar] [CrossRef]
- Pasternak, G.; Greenman, J.; Ieropoulos, I. Regeneration of the power performance of cathodes affected by biofouling. Appl. Energy 2016, 173, 431–437. [Google Scholar] [CrossRef] [PubMed] [Green Version]
- Ge, Z.; He, Z. Long-term performance of a 200 liter modularized microbial fuel cell system treating municipal wastewater: Treatment, energy, and cost. Environ. Sci. Water Res. Technol. 2016, 2, 274–281. [Google Scholar] [CrossRef] [Green Version]
- Ge, Z.; Wu, L.; Zhang, F.; He, Z. Energy extraction from a large-scale microbial fuel cell system treating municipal wastewater. J. Power Source 2015, 297, 260–264. [Google Scholar] [CrossRef] [Green Version]
- Sugioka, M.; Yoshida, N.; Yamane, T.; Kakihana, Y.; Higa, M.; Matsumura, T.; Sakoda, M.; Iida, K. Long-term evaluation of an air-cathode microbial fuel cell with anion exchange membrane in a 226 L wastewater treatment reactor. Environ. Res. 2022, 205, 112416. [Google Scholar] [CrossRef] [PubMed]
- Rossi, R.; Wang, X.; Logan, B.E. High performance flow through microbial fuel cells with anion exchange membrane. J. Power Source 2020, 475, 228633. [Google Scholar] [CrossRef]
- Rossi, R.; Baek, G.; Saikaly, P.E.; Logan, B.E. Continuous Flow Microbial Flow Cell with an Anion Exchange Membrane for Treating Low Conductivity and Poorly Buffered Wastewater. ACS Sustain. Chem. Eng. 2021, 9, 2946–2954. [Google Scholar] [CrossRef]
- Rossi, R.; Logan, B.E. Using an anion exchange membrane for effective hydroxide ion transport enables high power densities in microbial fuel cells. Chem. Eng. J. 2021, 422, 130150. [Google Scholar] [CrossRef]
- Yamane, T.; Yoshida, N.; Sugioka, M. Estimation of total energy requirement for sewage treatment by a microbial fuel cell with a one-meter air-cathode assuming Michaelis–Menten COD degradation. RSC Adv. 2021, 11, 20036–20045. [Google Scholar] [CrossRef]
- Feng, Y.; Yang, Q.; Wang, X.; Logan, B.E. Treatment of carbon fiber brush anodes for improving power generation in air-cathode microbial fuel cells. J. Power Source 2010, 195, 1841–1844. [Google Scholar] [CrossRef]
- Yoshida, N.; Miyata, Y.; Iida, K. Current recovery from sewage wastewater using electrochemically oxidized graphite felt. RSC Adv. 2019, 9, 39348–39354. [Google Scholar] [CrossRef] [Green Version]
- Goto, Y.; Yoshida, N.; Umeyama, Y.; Yamada, T.; Tero, R.; Hiraishi, A. Enhancement of Electricity Production by Graphene Oxide in Soil Microbial Fuel Cells and Plant Microbial Fuel Cells. Front. Bioeng. Biotechnol. 2015, 3, 42. [Google Scholar] [CrossRef] [Green Version]
- Rossi, R.; Cario, B.P.; Santoro, C.; Yang, W.; Saikaly, P.E.; Logan, B.E. Evaluation of Electrode and Solution Area-Based Resistances Enables Quantitative Comparisons of Factors Impacting Microbial Fuel Cell Performance. Environ. Sci. Technol. 2019, 53, 3977–3986. [Google Scholar] [CrossRef] [PubMed] [Green Version]
- Fujii, K.; Yoshida, N.; Miyazaki, K. Michaelis–Menten equation considering flow velocity reveals how microbial fuel cell fluid design affects electricity recovery from sewage wastewater. Bioelectrochemistry 2021, 140, 107821. [Google Scholar] [CrossRef]
- Mehdizadeh, S.; Yasukawa, M.; Abo, T.; Kakihana, Y.; Higa, M. Effect of spacer geometry on membrane and solution compartment resistances in reverse electrodialysis. J. Memb. Sci. 2019, 572, 271–280. [Google Scholar] [CrossRef]
- Goto, Y.; Yoshida, N. Microbially reduced graphene oxide shows efficient electricity ecovery from artificial dialysis wastewater. J. Gen. Appl. Microbiol. 2017, 63, 165–171. [Google Scholar] [CrossRef] [PubMed] [Green Version]
- Yoshida, N.; Miyata, Y.; Mugita, A.; Iida, K. Electricity recovery from municipal sewage wastewater using a hydrogel complex composed of microbially reduced graphene oxide and sludge. Materials 2016, 9, 742. [Google Scholar] [CrossRef] [PubMed] [Green Version]
- Logan, B.; Cheng, S.; Watson, V.; Estadt, G. Graphite fiber brush anodes for increased power production in air-cathode microbial fuel cells. Environ. Sci. Technol. 2007, 41, 3341–3346. [Google Scholar] [CrossRef]
- Nagahashi, W.; Yoshida, N. Comparative evaluation of fibrous carbons and bamboo charcoal in the recovery of current from sewage wastewater. J. Gen. Appl. Microbiol. 2021, 67, 248–255. [Google Scholar] [CrossRef] [PubMed]
- Lanas, V.; Ahn, Y.; Logan, B.E. Effects of carbon brush anode size and loading on microbial fuel cell performance in batch and continuous mode. J. Power Source 2014, 247, 228–234. [Google Scholar] [CrossRef]





| Operation Time | ||||||||
|---|---|---|---|---|---|---|---|---|
| IEM Type | 44 d | 53 d | 65 d | 49 d | 72 d | 77 d | Average (49, 72, 77 d) | |
| HRT [h] | AEM | 3.3 | 6.9 | 9.8 | 6.4 | 7.6 | 7.3 | 7.1 ± 0.7 |
| CEM | 3.0 | 6.9 | 8.8 | 6.9 | 7.3 | 7.3 | 7.2 ± 0.3 | |
| CODIN [mg/L] | AEM | - | - | - | 230 | 230 | 170 | 210 ± 4 0 |
| CEM | - | - | - | 230 | 230 | 170 | 210 ± 40 | |
| CODEF [mg/L] | AEM | - | - | - | 73 | 69 | 57 | 66 ± 9.0 |
| CEM | - | - | - | 150 | 76 | 70 | 99 ± 51 | |
| COD-RE [%] | AEM | - | - | - | 68 | 70 | 67 | 69 ± 2.0 |
| CEM | - | - | - | 35 | 67 | 59 | 54 ± 19 | |
| CE [%] | AEM | - | - | - | 1.7 | 1.2 | 1.8 | 1.6 ± 0.4 |
| CEM | - | - | - | 0.85 | 0.27 | 0.46 | 0.50 ± 0.35 | |
| OCV [V] | AEM | 0.43 | 0.37 | 0.39 | - | - | - | - |
| CEM | 0.26 | 0.26 | 0.25 | - | - | - | - | |
| Imax [A/m2] | AEM | 0.59 | 0.49 | 0.33 | - | - | - | - |
| CEM | 0.13 | 0.11 | 0.089 | - | - | - | - | |
| Pmax [W/m2] | AEM | 0.064 | 0.047 | 0.032 | - | - | - | - |
| CEM | 0.0081 | 0.0075 | 0.0037 | - | - | - | - | |
| Time (d) | Depth [cm] | Ran-MFCCEM [mΩ·m2] | Rca-MFCCEM [mΩ·m2] | Ran-MFCAEM [mΩ·m2] | Rca-MFCAEM [mΩ·m2] | Rca-H2 [mΩ·m2] | RM-Cl [mΩ·m2] | RM-Cl * [mΩ·m2] |
|---|---|---|---|---|---|---|---|---|
| 0 | 6.7 | 0.31 | - | |||||
| 44 | 1.8 | 41 | 3.2 | 13 | - | - | ||
| 53 | 1.9 | 49 | 3.4 | 13 | - | - | ||
| 65 | 1.7 | 44 | 6.9 | 19 | - | - | ||
| 35 | 20 | 0.34 | 0.32 | |||||
| 35 | 50 | 10 | 0.36 | 0.30 | ||||
| 35 | 80 | 0.38 | 0.29 | |||||
| 583 | 20 | 0.27 | 0.22 | |||||
| 583 | 50 | 7.5 | 0.37 | 0.28 | ||||
| 583 | 80 | 0.53 | 0.39 | |||||
| 768 | 50 | 7.7 | 0.61 | 0.32 |
Publisher’s Note: MDPI stays neutral with regard to jurisdictional claims in published maps and institutional affiliations. |
© 2022 by the authors. Licensee MDPI, Basel, Switzerland. This article is an open access article distributed under the terms and conditions of the Creative Commons Attribution (CC BY) license (https://creativecommons.org/licenses/by/4.0/).
Share and Cite
Itoshiro, R.; Yoshida, N.; Yagi, T.; Kakihana, Y.; Higa, M. Effect of Ion Selectivity on Current Production in Sewage Microbial Fuel Cell Separators. Membranes 2022, 12, 183. https://doi.org/10.3390/membranes12020183
Itoshiro R, Yoshida N, Yagi T, Kakihana Y, Higa M. Effect of Ion Selectivity on Current Production in Sewage Microbial Fuel Cell Separators. Membranes. 2022; 12(2):183. https://doi.org/10.3390/membranes12020183
Chicago/Turabian StyleItoshiro, Ryoya, Naoko Yoshida, Toshiyuki Yagi, Yuriko Kakihana, and Mitsuru Higa. 2022. "Effect of Ion Selectivity on Current Production in Sewage Microbial Fuel Cell Separators" Membranes 12, no. 2: 183. https://doi.org/10.3390/membranes12020183
APA StyleItoshiro, R., Yoshida, N., Yagi, T., Kakihana, Y., & Higa, M. (2022). Effect of Ion Selectivity on Current Production in Sewage Microbial Fuel Cell Separators. Membranes, 12(2), 183. https://doi.org/10.3390/membranes12020183

