Developing a Hybrid Neuro-Fuzzy Method to Predict Carbon Dioxide (CO2) Permeability in Mixed Matrix Membranes Containing SAPO-34 Zeolite
Abstract
1. Introduction
2. Literature Data
3. ANFIS Description
3.1. ANFIS Structure
3.2. Input Space Partitioning Strategies
3.2.1. Grid Partitioning
3.2.2. Fuzzy c-Means Clustering
3.2.3. Subtractive Clustering
3.3. Training Algorithm
4. Results and Discussion
4.1. Developing ANFIS Models
4.2. Choosing the Best ANFIS Type
4.3. Evaluating the Performance of the Selected ANFIS Model
4.3.1. Training Step
4.3.2. Testing Step
4.3.3. All Experimental Data
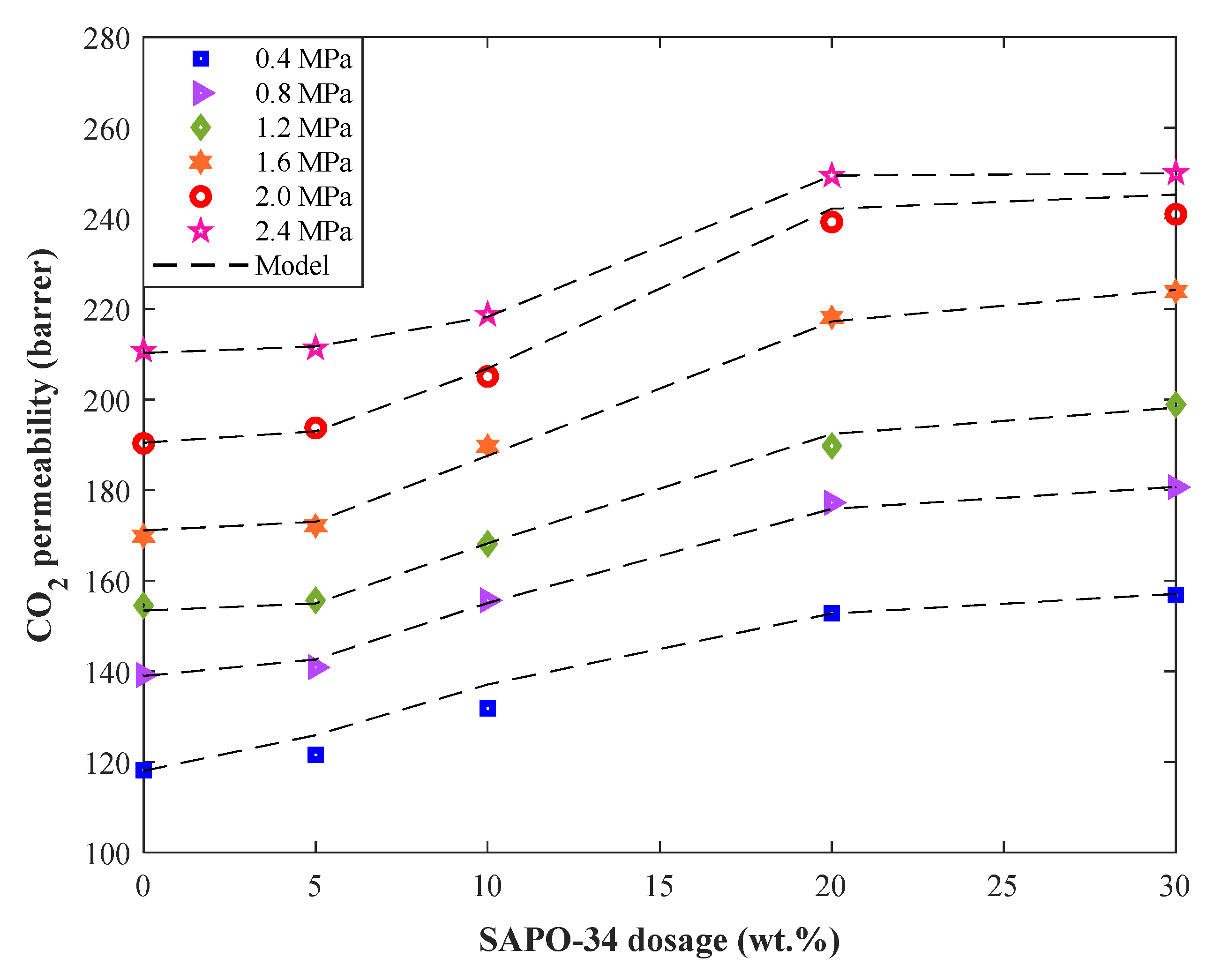
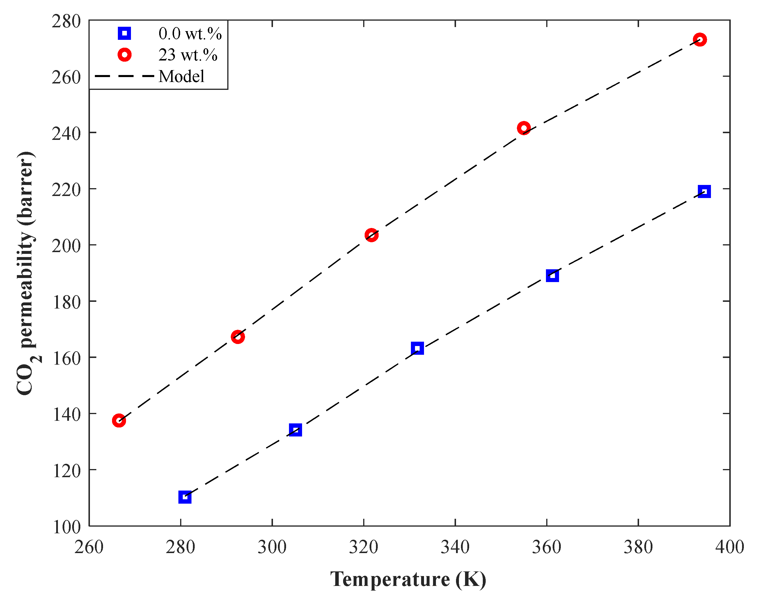
4.4. Investigating the Effect of SAPO-34 Dosage, Pressure, and Temperature
4.5. Identifying Undesirable Outliers
5. Conclusions
Supplementary Materials
Author Contributions
Funding
Institutional Review Board Statement
Informed Consent Statement
Data Availability Statement
Acknowledgments
Conflicts of Interest
References
- Liang, L.; Wang, Z.; Li, J. The effect of urbanization on environmental pollution in rapidly developing urban agglomerations. J. Clean. Prod. 2019, 237, 117649. [Google Scholar] [CrossRef]
- Zandalinas, S.I.; Fritschi, F.B.; Mittler, R. Global warming, climate change, and environmental pollution: Recipe for a multifactorial stress combination disaster. Trends Plant Sci. 2021, 26, 588–599. [Google Scholar] [CrossRef] [PubMed]
- Goglio, P.; Williams, A.G.; Balta-Ozkan, N.; Harris, N.R.P.; Williamson, P.; Huisingh, D.; Zhang, Z.; Tavoni, M. Advances and challenges of life cycle assessment (LCA) of greenhouse gas removal technologies to fight climate changes. J. Clean. Prod. 2020, 244, 118896. [Google Scholar] [CrossRef]
- Zhou, Z.; Davoudi, E.; Vaferi, B. Monitoring the effect of surface functionalization on the CO2 capture by graphene oxide/methyl diethanolamine nanofluids. J. Environ. Chem. Eng. 2021, 9, 106202. [Google Scholar] [CrossRef]
- Aghel, B.; Heidaryan, E.; Sahraie, S.; Mir, S. Application of the microchannel reactor to carbon dioxide absorption. J. Clean. Prod. 2019, 231, 723–732. [Google Scholar] [CrossRef]
- Karimi, M.; Rodrigues, A.E.; Silva, J.A.C. Designing a simple volumetric apparatus for measuring gas adsorption equilibria and kinetics of sorption. Application and validation for CO2, CH4 and N2 adsorption in binder-free beads of 4A zeolite. Chem. Eng. J. 2021, 425, 130538. [Google Scholar] [CrossRef]
- Qu, M.; Chen, Z.; Sun, Z.; Zhou, D.; Xu, W.; Tang, H.; Gu, H.; Liang, T.; Hu, P.; Li, G.; et al. Rational design of asymmetric atomic Ni-P1N3 active sites for promoting electrochemical CO2 reduction. Nano Res. 2022, 1–7. [Google Scholar] [CrossRef]
- Tengku Hassan, T.N.A.; Shariff, A.M.; Mohd Pauzi, M.M.; Khidzir, M.S.; Surmi, A. Insights on Cryogenic Distillation Technology for Simultaneous CO2 and H2S Removal for Sour Gas Fields. Molecules 2022, 27, 1424. [Google Scholar] [CrossRef]
- Xu, W.; LI, C.H.; Zhang, Y.; Ali, H.M.; Sharma, S.; Li, R.; Yang, M.; Gao, T.; Liu, M.; Wang, X.; et al. Electrostatic atomization minimum quantity lubrication machining: From mechanism to application. Int. J. Extrem. Manuf. 2022, 4, 042003. [Google Scholar] [CrossRef]
- Endeward, V.; Arias-Hidalgo, M.; Al-Samir, S.; Gros, G. CO2 permeability of biological membranes and role of CO2 channels. Membranes 2017, 7, 61. [Google Scholar] [CrossRef]
- Mo, X.; Liu, X.; Chen, J.; Zhu, S.; Xu, W.; Tan, K.; Wang, Q.; Lin, Z.; Liu, W. Separation of lattice-incorporated Cr(vi) from calcium carbonate by converting microcrystals into nanocrystals via the carbonation pathway based on the density functional theory study of incorporation energy. Environ. Sci. Nano 2022, 9, 1617–1626. [Google Scholar] [CrossRef]
- Wu, R.; Tan, Y.; Meng, F.; Zhang, Y.; Huang, Y.-X. PVDF/MAF-4 composite membrane for high flux and scaling-resistant membrane distillation. Desalination 2022, 540, 116013. [Google Scholar] [CrossRef]
- Aroon, M.A.; Ismail, A.F.; Matsuura, T.; Montazer-Rahmati, M.M. Performance studies of mixed matrix membranes for gas separation: A review. Sep. Purif. Technol. 2010, 75, 229–242. [Google Scholar] [CrossRef]
- Casado-Coterillo, C. Mixed matrix membranes. Membranes 2019, 9, 149. [Google Scholar] [CrossRef] [PubMed]
- Junaidi, M.U.M.; Khoo, C.P.; Leo, C.P.; Ahmad, A.L. The effects of solvents on the modification of SAPO-34 zeolite using 3-aminopropyl trimethoxy silane for the preparation of asymmetric polysulfone mixed matrix membrane in the application of CO2 separation. Microporous Mesoporous Mater. 2014, 192, 52–59. [Google Scholar] [CrossRef]
- Weigelt, F.; Georgopanos, P.; Shishatskiy, S.; Filiz, V.; Brinkmann, T.; Abetz, V. Development and characterization of defect-free Matrimid® mixed-matrix membranes containing activated carbon particles for gas separation. Polymers 2018, 10, 51. [Google Scholar] [CrossRef] [PubMed]
- Kiadehi, A.D.; Rahimpour, A.; Jahanshahi, M.; Ghoreyshi, A.A. Novel carbon nano-fibers (CNF)/polysulfone (PSf) mixed matrix membranes for gas separation. J. Ind. Eng. Chem. 2015, 22, 199–207. [Google Scholar] [CrossRef]
- Soltani, B.; Asghari, M. Effects of ZnO nanoparticle on the gas separation performance of polyurethane mixed matrix membrane. Membranes 2017, 7, 43. [Google Scholar] [CrossRef]
- Chuah, C.Y.; Samarasinghe, S.; Li, W.; Goh, K.; Bae, T.-H. Leveraging nanocrystal HKUST-1 in mixed-matrix membranes for ethylene/ethane separation. Membranes 2020, 10, 74. [Google Scholar] [CrossRef]
- Duan, K.; Wang, J.; Zhang, Y.; Liu, J. Covalent organic frameworks (COFs) functionalized mixed matrix membrane for effective CO2/N2 separation. J. Memb. Sci. 2019, 572, 588–595. [Google Scholar] [CrossRef]
- Bastani, D.; Esmaeili, N.; Asadollahi, M. Polymeric mixed matrix membranes containing zeolites as a filler for gas separation applications: A review. J. Ind. Eng. Chem. 2013, 19, 375–393. [Google Scholar] [CrossRef]
- Henrique, A.; Karimi, M.; Silva, J.A.C.; Rodrigues, A.E. Analyses of Adsorption Behavior of CO2, CH4, and N2 on Different Types of BETA Zeolites. Chem. Eng. Technol. 2019, 42, 327–342. [Google Scholar] [CrossRef]
- Ahmad, N.N.R.; Leo, C.P.; Mohammad, A.W.; Ahmad, A.L. Modification of gas selective SAPO zeolites using imidazolium ionic liquid to develop polysulfone mixed matrix membrane for CO2 gas separation. Microporous Mesoporous Mater. 2017, 244, 21–30. [Google Scholar] [CrossRef]
- Peydayesh, M.; Asarehpour, S.; Mohammadi, T.; Bakhtiari, O. Preparation and characterization of SAPO-34–Matrimid® 5218 mixed matrix membranes for CO2/CH4 separation. Chem. Eng. Res. Des. 2013, 91, 1335–1342. [Google Scholar] [CrossRef]
- Zhao, D.; Ren, J.; Li, H.; Hua, K.; Deng, M. Poly (amide-6-b-ethylene oxide)/SAPO-34 mixed matrix membrane for CO2 separation. J. Energy Chem. 2014, 23, 227–234. [Google Scholar] [CrossRef]
- Haider, B.; Dilshad, M.R.; Rehman, M.A.U.; Schmitz, J.V.; Kaspereit, M. Highly permeable novel PDMS coated asymmetric polyethersulfone membranes loaded with SAPO-34 zeolite for carbon dioxide separation. Sep. Purif. Technol. 2020, 248, 116899. [Google Scholar] [CrossRef]
- Mohshim, D.F.; Mukhtar, H.; Man, Z. The effect of incorporating ionic liquid into polyethersulfone-SAPO34 based mixed matrix membrane on CO2 gas separation performance. Sep. Purif. Technol. 2014, 135, 252–258. [Google Scholar] [CrossRef]
- Sodeifian, G.; Raji, M.; Asghari, M.; Rezakazemi, M.; Dashti, A. Polyurethane-SAPO-34 mixed matrix membrane for CO2/CH4 and CO2/N2 separation. Chin. J. Chem. Eng. 2019, 27, 322–334. [Google Scholar] [CrossRef]
- Junaidi, M.U.M.; Leo, C.P.; Ahmad, A.L.; Kamal, S.N.M.; Chew, T.L. Carbon dioxide separation using asymmetric polysulfone mixed matrix membranes incorporated with SAPO-34 zeolite. Fuel Process. Technol. 2014, 118, 125–132. [Google Scholar] [CrossRef]
- Rabiee, H.; Alsadat, S.M.; Soltanieh, M.; Mousavi, S.A.; Ghadimi, A. Gas permeation and sorption properties of poly (amide-12-b-ethyleneoxide)(Pebax1074)/SAPO-34 mixed matrix membrane for CO2/CH4 and CO2/N2 separation. J. Ind. Eng. Chem. 2015, 27, 223–239. [Google Scholar] [CrossRef]
- Cao, Y.; Kamrani, E.; Mirzaei, S.; Khandakar, A.; Vaferi, B. Electrical efficiency of the photovoltaic/thermal collectors cooled by nanofluids: Machine learning simulation and optimization by evolutionary algorithm. Energy Rep. 2022, 8, 24–36. [Google Scholar] [CrossRef]
- Li, J.; Xu, K.; Chaudhuri, S. GRASS: Generative recursive autoencoders for shape structures. ACM Trans. Graph. 2017, 36, 1–14. [Google Scholar] [CrossRef]
- Yeom, C.U.; Kwak, K.C. Performance comparison of ANFIS models by input space partitioning methods. Symmetry 2018, 10, 700. [Google Scholar] [CrossRef]
- Zamani, H.A.; Rafiee-Taghanaki, S.; Karimi, M.; Arabloo, M.; Dadashi, A. Implementing ANFIS for prediction of reservoir oil solution gas-oil ratio. J. Nat. Gas Sci. Eng. 2015, 25, 325–334. [Google Scholar] [CrossRef]
- Shojaei, M.J.; Bahrami, E.; Barati, P.; Riahi, S. Adaptive neuro-fuzzy approach for reservoir oil bubble point pressure estimation. J. Nat. Gas Sci. Eng. 2014, 20, 214–220. [Google Scholar] [CrossRef]
- Shahriari-Kahkeshi, M.; Moghri, M. Prediction of tensile modulus of PA-6 nanocomposites using adaptive neuro-fuzzy inference system learned by the shuffled frog leaping algorithm. E-Polymers 2017, 17, 187–198. [Google Scholar] [CrossRef]
- Ali, A.; Guo, L. Adaptive neuro-fuzzy approach for prediction of dewpoint pressure for gas condensate reservoirs. Pet. Sci. Technol. 2020, 38, 673–681. [Google Scholar] [CrossRef]
- Seyed Alizadeh, S.M.; Bagherzadeh, A.; Bahmani, S.; Nikzad, A.; Aminzadehsarikhanbeglou, E.; Tatyana Yu, S. Retrograde gas condensate reservoirs: Reliable estimation of dew point pressure by the hybrid neuro-fuzzy connectionist paradigm. J. Energy Resour. Technol. 2021, 144, 63007. [Google Scholar] [CrossRef]
- Benmouiza, K.; Cheknane, A. Clustered ANFIS network using fuzzy c-means, subtractive clustering, and grid partitioning for hourly solar radiation forecasting. Theor. Appl. Climatol. 2019, 137, 31–43. [Google Scholar] [CrossRef]
- Tian, J.; Liu, Y.; Zheng, W.; Yin, L. Smog prediction based on the deep belief-BP neural network model (DBN-BP). Urban Clim. 2022, 41, 101078. [Google Scholar] [CrossRef]
- Lu, H.; Zhu, Y.; Yin, M.; Yin, G.; Xie, L. Multimodal Fusion Convolutional Neural Network With Cross-Attention Mechanism for Internal Defect Detection of Magnetic Tile. IEEE Access 2022, 10, 60876–60886. [Google Scholar] [CrossRef]
- Shang, K.; Chen, Z.; Liu, Z.; Song, L.; Zheng, W.; Yang, B.; Liu, S.; Yin, L. Haze prediction model using deep recurrent neural network. Atmosphere 2021, 12, 1625. [Google Scholar] [CrossRef]
- Xie, L.; Zhu, Y.; Yin, M.; Wang, Z.; Ou, D.; Zheng, H.; Liu, H.; Yin, G. Self-feature-based point cloud registration method with a novel convolutional Siamese point net for optical measurement of blade profile. Mech. Syst. Signal Process. 2022, 178, 109243. [Google Scholar] [CrossRef]
- Yin, L.; Wang, L.; Zheng, W.; Ge, L.; Tian, J.; Liu, Y.; Yang, B.; Liu, S. Evaluation of empirical atmospheric models using Swarm-C satellite data. Atmosphere 2022, 13, 294. [Google Scholar] [CrossRef]
- Hosseini, S.; Vaferi, B. Determination of methanol loss due to vaporization in gas hydrate inhibition process using intelligent connectionist paradigms. Arab. J. Sci. Eng. 2022, 47, 5811–5819. [Google Scholar] [CrossRef]









| Variable | Min | Max | Average | Standard Deviation |
|---|---|---|---|---|
| SAPO-34 dosage (wt%) | 0 | 50 | 13.70 | 11.75 |
| Temperature (K) | 267 | 394 | 303.75 | 16.57 |
| Pressure (MPa) | 0.1 | 3 | 0.985 | 0.614 |
| CO2 perm (barrer) | 0.20 | 337 | 107.88 | 83.64 |
| Model | Checked Features | The Best Features |
|---|---|---|
| ANFIS-GP | Cluster number: 2:1:5 Optimization algorithm: backpropagation and hybrid | Two clusters Hybrid |
| ANFIS-FCM | Cluster number: 2:1:12 Optimization algorithm: backpropagation and hybrid | Eleven clusters Hybrid |
| ANFIS-SC | Cluster radius: 0.1:0.05:1 Optimization algorithm: backpropagation and hybrid | Cluster radius = 0.55 Hybrid |
| Model | Database | AARD% | MSE | RMSE | R |
|---|---|---|---|---|---|
| ANFIS-GP | Training | 4.03 | 25.54 | 5.05 | 0.9981 |
| Testing | 18.91 | 77.05 | 8.78 | 0.9958 | |
| Overall | 6.19 | 33.05 | 5.75 | 0.9976 | |
| ANFIS-FCM | Training | 3.02 | 40.09 | 6.33 | 0.9972 |
| Testing | 8.78 | 299.98 | 17.32 | 0.9823 | |
| Overall | 3.86 | 77.94 | 8.83 | 0.9946 | |
| ANFIS-SC | Training | 1.85 | 5.59 | 2.37 | 0.9996 |
| Testing | 4.38 | 70.70 | 8.41 | 0.9952 | |
| Overall | 2.22 | 15.08 | 3.88 | 0.9989 |
Publisher’s Note: MDPI stays neutral with regard to jurisdictional claims in published maps and institutional affiliations. |
© 2022 by the authors. Licensee MDPI, Basel, Switzerland. This article is an open access article distributed under the terms and conditions of the Creative Commons Attribution (CC BY) license (https://creativecommons.org/licenses/by/4.0/).
Share and Cite
Alibak, A.H.; Alizadeh, S.M.; Davodi Monjezi, S.; Alizadeh, A.; Alobaid, F.; Aghel, B. Developing a Hybrid Neuro-Fuzzy Method to Predict Carbon Dioxide (CO2) Permeability in Mixed Matrix Membranes Containing SAPO-34 Zeolite. Membranes 2022, 12, 1147. https://doi.org/10.3390/membranes12111147
Alibak AH, Alizadeh SM, Davodi Monjezi S, Alizadeh A, Alobaid F, Aghel B. Developing a Hybrid Neuro-Fuzzy Method to Predict Carbon Dioxide (CO2) Permeability in Mixed Matrix Membranes Containing SAPO-34 Zeolite. Membranes. 2022; 12(11):1147. https://doi.org/10.3390/membranes12111147
Chicago/Turabian StyleAlibak, Ali Hosin, Seyed Mehdi Alizadeh, Shaghayegh Davodi Monjezi, As’ad Alizadeh, Falah Alobaid, and Babak Aghel. 2022. "Developing a Hybrid Neuro-Fuzzy Method to Predict Carbon Dioxide (CO2) Permeability in Mixed Matrix Membranes Containing SAPO-34 Zeolite" Membranes 12, no. 11: 1147. https://doi.org/10.3390/membranes12111147
APA StyleAlibak, A. H., Alizadeh, S. M., Davodi Monjezi, S., Alizadeh, A., Alobaid, F., & Aghel, B. (2022). Developing a Hybrid Neuro-Fuzzy Method to Predict Carbon Dioxide (CO2) Permeability in Mixed Matrix Membranes Containing SAPO-34 Zeolite. Membranes, 12(11), 1147. https://doi.org/10.3390/membranes12111147

