Softening with Ceramic Micro-Filtration for Application on Water Reclamation for Industrial Recirculating Cooling Systems
Abstract
1. Introduction
2. Materials and Methods
2.1. Experimental Setup
- Jar tests to rapidly evaluate the effectiveness of the softening agent in the presence of PO43− and SA. Solutions containing Ca2+, HCO3−, PO43−, and SA were prepared in demineralized water.
- Membrane tests to study the performance of the membrane when filtering precipitated calcium carbonate in combination with PO43− and SA, all prepared with demineralized water.
2.2. Jar Tests
2.3. Membrane Tests
2.3.1. Effect of Softening Agent on Fouling
2.3.2. Individual Effect of Sodium Alginate, Calcium, and Softening on Membrane Fouling
2.3.3. Combined Effect of Sodium Alginate, Phosphate, and Softening on Fouling
2.3.4. Flux Recovery
3. Results
3.1. Jar Tests of Softening Process and Influence of PO43− and Organic Compounds
3.1.1. Effect of Ca(OH)2 as Softening Agent
3.1.2. Effect of Phosphate and Sodium Alginate on Softening
3.1.3. Extent of Inhibition Effect of Phosphate
3.2. Ceramic Membrane Tests Results
3.2.1. Effect of Softening on Fouling
3.2.2. Individual Effect of Sodium Alginate, Calcium, and Softening Agent on Fouling
3.2.3. Combined Effect of Sodium Alginate, Calcium, Phosphate, and Softening Agent on Fouling
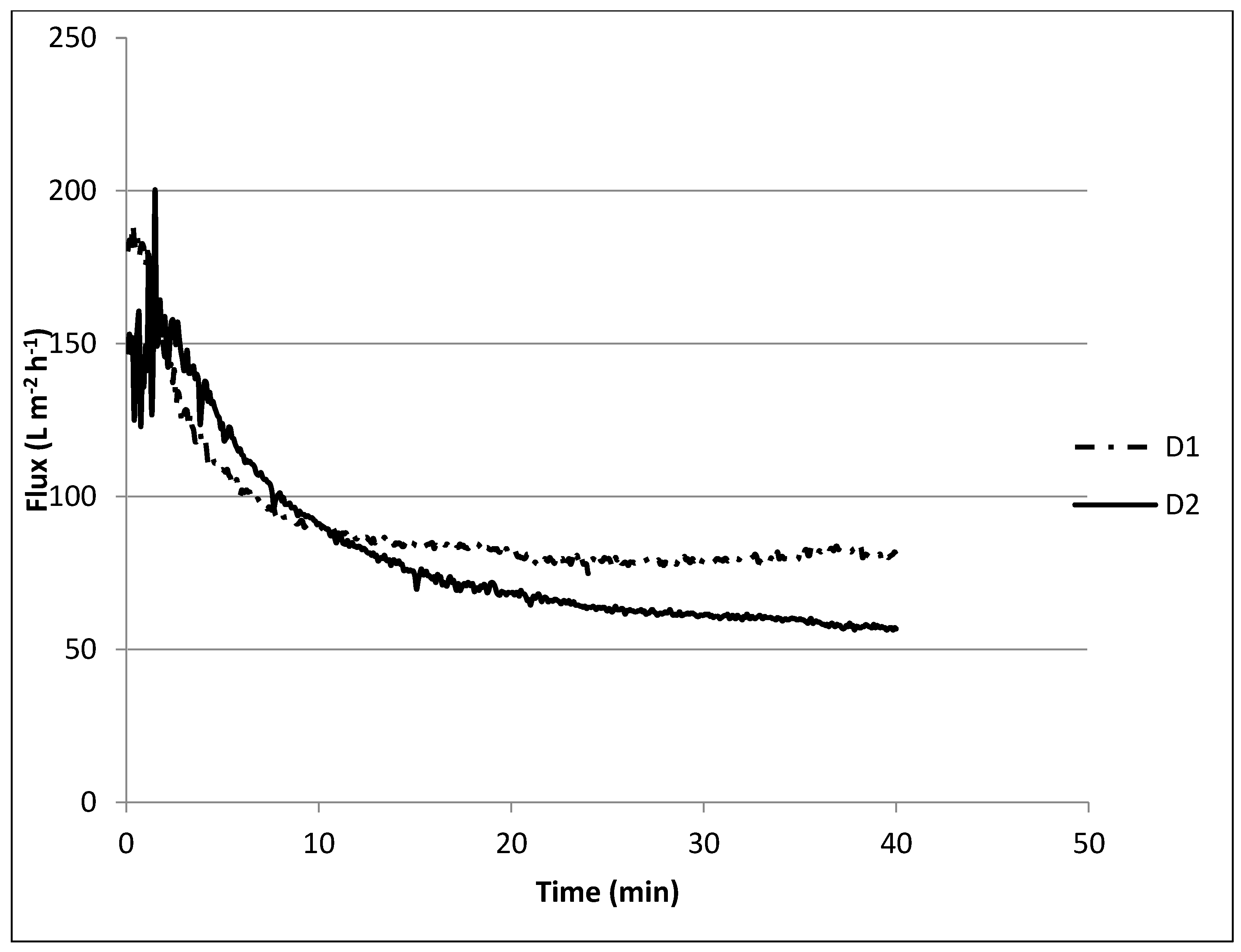
3.2.4. Flux Recovery Results
4. Conclusions
Author Contributions
Funding
Acknowledgments
Conflicts of Interest
References
- Gulamussen, N.J.; Arsénio, A.M.; Matsinhe, N.P.; Rietveld, L.C. Water reclamation for industrial use in sub-Saharan Africa-A critical review. Drink. Water Eng. Sci. 2019, 12, 45–58. [Google Scholar] [CrossRef]
- UNEP. Economic Valuation of Wastewater: The Cost of Action and the Cost of No Action; United Nations: New York, NY, USA, 2015; ISBN 9789280734744. [Google Scholar]
- Ehrhardt, R.F.; Tucker, R.C.; Fabian, T.R. Analysis of Alternative Sources of Cooling Water; Final Report; No. EPRI-EA-4732; Dames and Moore: Bethesda, MD, USA, 1986. [Google Scholar]
- Difilippo, M.N. Use of Alternate Water Sources for Power Plant Cooling; Palo Alto: Santa Clara, CA, USA, 2008; Volume 1014935. [Google Scholar]
- Li, H.; Hsieh, M.K.; Chien, S.H.; Monnell, J.D.; Dzombak, D.A.; Vidic, R.D. Control of mineral scale deposition in cooling systems using secondary-treated municipal wastewater. Water Res. 2011, 45, 748–760. [Google Scholar] [CrossRef]
- EUROSTAT: Water Use in Industry. 2014. Available online: https://ec.europa.eu/eurostat/statistics-explained/index.php?title=Archive:Water_use_in_industry (accessed on 3 June 2016).
- Veil, J.A. Use of Reclaimed Water for Power Plant Cooling; No. ANL/EVS/R-07/3; Argonne National Lab. (ANL): Argonne, IL, USA, 2007. [Google Scholar]
- Lens, P.; Pol, L.H.; Wilderer, P.; Asano, T. Water Recycling and Resource Recovery in Industry: Analysis, Technologies and Implementation; IWA Publishing: London, UK, 2002; ISBN 1843390051. [Google Scholar]
- San Jose Environmental Service Department. Guidelines for Managing Water in Cooling Systems for Owners, Operators, and Environmental Managers; San Jose Environmental Service Department: San Jose, CA, USA, 2002. Available online: https://www.sanjoseca.gov/home/showdocument?id=37061 (accessed on 3 June 2016).
- Joint Research Council. Integrated Pollution Prevention and Control (IPPC) Reference Document on the application of Best Available Techniques to Industrial Cooling Systems; Joint Research Council: Brussels, Belgium, 2001. [Google Scholar]
- Mech Co., Ltd. Water Quality Standard for Cooling Water, Cold Water, Hot Water, Makeup Water (JRA GL02-1994). 1994. Available online: http://www.mech.co.jp/web-en/01/02/img/kijun02.pdf (accessed on 19 June 2019).
- Asano, T. Wastewater Reclamation and Reuse; CRC Press: Boca Raton, FL, USA, 1998; ISBN 1566766206. [Google Scholar]
- Kramer, F.C.; Shang, R.; Heijman, S.G.J.; Scherrenberg, S.M.; Van Lier, J.B.; Rietveld, L.C. Direct water reclamation from sewage using ceramic tight ultra- and nanofiltration. Sep. Purif. Technol. 2015, 147, 329–336. [Google Scholar] [CrossRef]
- Manohar. Development & Characterization of Ceramic Membranes. Int. J. Mod. Eng. Res. 2012, 2, 1492–1506. [Google Scholar]
- Hu, Z.; Yang, Y.; Chang, Q.; Liu, F.; Wang, Y.; Rao, J. Preparation of a high-performance porous ceramic membrane by a two-step coating method and one-step sintering. Appl. Sci. 2018, 9, 52. [Google Scholar] [CrossRef]
- Ahmad, R.; Kim, J.K.; Kim, J.H. Nanostructured Ceramic Photocatalytic Membrane Modified with a Polymer Template for Textile Wastewater Treatment. Appl. Sci. 2017, 7, 12. [Google Scholar] [CrossRef]
- Mouratib, R.; Achiou, B.; El Krati, M.; Younssi, S.A.; Tahiri, S. Low-cost ceramic membrane made from alumina- and silica-rich water treatment sludge and its application to wastewater fi ltration. J. Eur. Ceram. Soc. 2020, 40, 5942–5950. [Google Scholar] [CrossRef]
- Perez-Galvez, R.; Guadix, E.M.; Berge, J.; Guadix, A. Archimer. J. Membr. Sci. 2011, 384, 142–148. [Google Scholar] [CrossRef]
- Lee, M.; Wu, Z.; Li, K. Advances in Ceramic Membranes for Water Treatment; Woodhead Publishing: Sawston, UK, 2015; ISBN 9781782421269. [Google Scholar]
- Aryanti, P.T.P.; Subroto, E.; Mangindaan, D.; Widiasa, I.N.; Wenten, I.G. Semi-industrial high-temperature ceramic membrane clarification during starch hydrolysis. J. Food Eng. 2020, 274, 109844. [Google Scholar] [CrossRef]
- Ha, C. Ozonation and/or Coagulation-Ceramic Membrane Hybrid for Filtration of Impaired-Quality Source Waters. Ph.D. Thesis, King Abdullah University of Science and Technology, Thuwal, Saudi Arabia, 2013. [Google Scholar]
- Heinsbroek, A.R. Calcium Hydroxide as Precipitative Antiscalant for Nanofiltration. Master’s Thesis, Delft University of Tecnology, Delft, The Netherlands, 2016. [Google Scholar]
- Pokrovsky, O.S. Precipitation of calcium and magnesium carbonates from homogeneous supersaturated solutions. J. Cryst. Growth 1998, 186, 233–239. [Google Scholar] [CrossRef]
- Katsoufidou, K.; Yiantsios, S.G.; Karabelas, A.J. Experimental study of ultrafiltration membrane fouling by sodium alginate and flux recovery by backwashing. J. Memb. Sci. 2007, 300, 137–146. [Google Scholar] [CrossRef]
- Ratnayaka, D.D.; Brandt, M.J.; Johnson, M. (Eds.) Specialised and advanced water treatment processes. In Water Supply; Elsevier Ltd.: Amsterdam, The Netherlands, 2009; pp. 370–428. ISBN 9780080940847. [Google Scholar]
- Dudziak, M.; Kudlek, E. Removal of hardness in wastewater effluent using membrane filtration. Archit. Civ. Eng. Environ. 2019, 2, 141–147. [Google Scholar] [CrossRef]
- Kramer, F. Ceramic Nanofiltration for Direct Filtration of Municipal Sewage. Ph.D. Thesis, Delft University of Tecnology, Delft, The Netherlands, 2019. [Google Scholar]
- Lei, Y.; Hidayat, I.; Saakes, M.; van der Weijden, R.; Buisman, C.J. Fate of calcium, magnesium and inorganic carbon in electrochemical phosphorus recovery from domestic wastewater. Chem. Eng. J. 2019, 362, 453–459. [Google Scholar] [CrossRef]
- Charfi, A.; Tibi, F.; Kim, J.; Hur, J.; Cho, J. Organic Fouling Impact in a Direct Contact Membrane Distillation System Treating Wastewater: Experimental Observations and Modeling Approach. Membranes 2021, 11, 493. [Google Scholar] [CrossRef] [PubMed]
- Arndt, F.; Roth, U.; Nirschl, H.; Schutz, S.; Guthausen, G. New Insights into Sodium Alginate Fouling of Ceramic Hollow Fiber Membranes by NMR Imaging. AIChE J. 2016, 62, 2459–2467. [Google Scholar] [CrossRef]
- Kellner, R.A.; Mermet, J.-M.; Otto, M.; Varcarcel, M.; Widmer, H.M. (Eds.) Analytical Chemistry: A Modern Approach to Analytical Science, 2nd ed.; Wiley-VCH: Weinheim, Germany, 2004; ISBN 3-527-30590-4. [Google Scholar]
- Spanos, N.; Koutsoukos, P.G. Kinetics of Precipitation of Calcium Carbonate in Alkaline pH at Constant Supersaturation. Spontaneous and Seeded Growth. J. Phys. Chem. B 1998, 102, 6679–6684. [Google Scholar] [CrossRef]
- Van Driessche, A.E.S.; Kellermeier, M.; Benning, L.G.; Gebauer, D. (Eds.) New Perspectives on Mineral Nucleation and Growth; Springer International Publishing: Cham, Switzerland, 2017; ISBN 9783319456676. [Google Scholar]
- El-Shall, H.; Rashad, M.M.; Abel-Aal, E.A. Effect of phosphonate additive on crystallization of gypsum in phosphoric and sulfuric acid medium. Cryst. Res. Technol. 2002, 37, 1264–1273. [Google Scholar] [CrossRef]
- Van Eekeren, M.W.M.; Van Paassen, J.A.M.; Merks, C.W.A.M. Improved milk-of-lime for softening of drinking water-the answer to the carry-over problem. Aqua 1994, 43, 1–10. [Google Scholar]
- Tadier, S.; Rokidi, S.; Rey, C.; Combes, C.; Koutsoukos, P.G. Crystal growth of aragonite in the presence of phosphate. J. Cryst. Growth 2017, 458, 44–52. [Google Scholar] [CrossRef]
- Sundarrajan, P.; Eswaran, P.; Marimuthu, A.; Subhadra, L.B.; Kannaiyan, P. One pot synthesis and characterization of alginate stabilized semiconductor nanoparticles. Bull. Korean Chem. Soc. 2012, 33, 3218–3224. [Google Scholar] [CrossRef]
- Kawano, M.; Tokonami, M. Effect of organic acids on the precipitation rate and polymorphism of calcium carbonate minerals in solutions with Mg2+ ions. Clay Sci. 2014, 18, 1–10. [Google Scholar] [CrossRef]
- Haidari, A.H.; Gonzales-Olmos, R.; Heijman, S.G.J. Scaling after remineralisation of reverse osmosis permeate. Desalination 2019, 467, 57–63. [Google Scholar] [CrossRef]
- Gebauer, D.; Colfen, H.; Verch, A.; Antonietti, M. The Multiple Roles of Additives in CaCO3 Crystallization: A Quantitative Case Study. Adv. Mater. 2009, 27, 435–439. [Google Scholar] [CrossRef]
- Serhiienko, A.O.; Dontsova, T.A.; Yanushevska, O.I.; Nahirniak, S.V.; Ahmad, H. Ceramic Membranes: New Trends and Prospects (Short Review). Water Water Purif. Technol. Tech. News 2020, 27, 4–31. [Google Scholar] [CrossRef]
- Zeppenfeld, K. Calcite precipitation from aqueous solutions with different calcium and hydrogen carbonate concentrations. J. Water Supply Res. Technol. 2014, 59, 482–491. [Google Scholar] [CrossRef][Green Version]
- van de Ven, W.J.C.; van Sant, K.; Pünt, I.G.M.; Zwijnenburg, A.; Kemperman, A.J.B.; van der Meer, W.G.J.; Wessling, M. Hollow fiber dead-end ultrafiltration: Influence of ionic environment on filtration of alginates. J. Memb. Sci. 2008, 308, 218–229. [Google Scholar] [CrossRef]
- Van Den Brink, P.; Zwijnenburg, A.; Smith, G.; Temmink, H.; Loosdrecht, M. Van Effect of free calcium concentration and ionic strength on alginate fouling in cross-flow membrane filtration. J. Membr. Sci. 2009, 345, 207–216. [Google Scholar] [CrossRef]
- Abdelrasoul, A.; Doan, H.; Lohi, A. Fouling in Membrane Filtration and Remediation Methods. In Mass Transfer-Advances in Suitable Energy and Environment Oriented Numerical Modeling, 1st ed.; Nakajima, H., Ed.; InTech: Rikeja, Croatia, 2013; pp. 195–218. [Google Scholar]
- Hashino, M.; Katagiri, T.; Kubota, N.; Ohmukai, Y.; Maruyama, T.; Matsuyama, H. Effect of membrane surface morphology on membrane fouling with sodium alginate. J. Memb. Sci. 2011, 366, 258–265. [Google Scholar] [CrossRef]
- Katsoufidou, K.; Yiantsios, S.G.; Karabelas, A.J. An experimental study of UF membrane fouling by humic acid and sodium alginate solutions: The effect of backwashing on flux recovery. Desalination 2008, 220, 214–227. [Google Scholar] [CrossRef]







| Experiments | Ca2+ (mmol L−1) | HCO3− (mmol L−1) | Ca(OH)2 (mmol L−1) | PO43− (mmol L−1) | Sodium Alginate (g L−1) |
|---|---|---|---|---|---|
| A1 | 3 | 6 | 1.5 | 0 | 0 |
| A2 | 3 | 6 | 2.5 | 0 | 0 |
| A3 | 3 | 6 | 0 | 0 | 0.4 |
| A4 | 3 | 6 | 0 | 0.1 | 0.4 |
| A5 | 3 | 6 | 1.5 | 0.1 | 0 |
| A6 | 3 | 6 | 2.5 | 0.1 | 0 |
| A7 | 3 | 6 | 1.5 | 0 | 0.4 |
| A8 | 3 | 6 | 2.5 | 0 | 0.4 |
| A9 | 3 | 6 | 1.5 | 0.1 | 0.4 |
| A10 | 3 | 6 | 2.5 | 0.1 | 0.4 |
| Material | Al2O3 |
|---|---|
| Surface area | 0.11 m2 |
| Diameter of membrane | 25.4 mm |
| Diameter of tubes | 7 mm |
| Number of tubes | 4 |
| Length | 1200 mm |
| Direction of flow | Crossflow |
| Nominal permeability at 1 bar | 25 L m−2 h−1 |
| Pore size | 0.1 µm |
| Experiments | Ca2+ (mmol L−1) | HCO3− (mmol L−1) | Ca(OH)2 (mmol L−1) | PO43− (mmol L−1) | Sodium Alginate (g L−1) |
|---|---|---|---|---|---|
| C1 | 3 | 6 | 0 | 0 | 0.4 |
| C2 | 3 | 6 | 1.5 | 0 | 0.4 |
| Experiments | Ca2+ (mmol L−1) | HCO3− (mmol L−1) | Ca(OH)2 (mmol L−1) | PO43− (mmol L−1) | Sodium Alginate (g L−1) |
|---|---|---|---|---|---|
| D1 | 0 | 0 | 0 | 0 | 0.4 |
| D2 | 3 | 6 | 1.5 | 0.1 | 0.4 |
| Ca2+ Feed (mmol L−1) | Ca2+ Permeate (mmol L−1) | Ca2+ Retentate (mmol L−1) | |||||
|---|---|---|---|---|---|---|---|
| Time (hours) | 0.25 | 1 | 6 | 0.25 | 1 | 6 | |
| Baseline | 1.62 | 1.54 | 1.65 | 1.61 | - | 1.49 | 1.47 |
| Added Ca(OH)2 (2.5 mmol L−1) | 1.92 | 0.48 | 0.51 | 0.07 | 0.44 | 0.53 | 0.13 |
Publisher’s Note: MDPI stays neutral with regard to jurisdictional claims in published maps and institutional affiliations. |
© 2022 by the authors. Licensee MDPI, Basel, Switzerland. This article is an open access article distributed under the terms and conditions of the Creative Commons Attribution (CC BY) license (https://creativecommons.org/licenses/by/4.0/).
Share and Cite
Gulamussen, N.J.; Donse, D.; Arsénio, A.M.; Heijman, S.G.J.; Rietveld, L.C. Softening with Ceramic Micro-Filtration for Application on Water Reclamation for Industrial Recirculating Cooling Systems. Membranes 2022, 12, 980. https://doi.org/10.3390/membranes12100980
Gulamussen NJ, Donse D, Arsénio AM, Heijman SGJ, Rietveld LC. Softening with Ceramic Micro-Filtration for Application on Water Reclamation for Industrial Recirculating Cooling Systems. Membranes. 2022; 12(10):980. https://doi.org/10.3390/membranes12100980
Chicago/Turabian StyleGulamussen, Noor Jehan, Daniël Donse, André Marques Arsénio, Sebastiaan Gerard Jozef Heijman, and Louis Cornelis Rietveld. 2022. "Softening with Ceramic Micro-Filtration for Application on Water Reclamation for Industrial Recirculating Cooling Systems" Membranes 12, no. 10: 980. https://doi.org/10.3390/membranes12100980
APA StyleGulamussen, N. J., Donse, D., Arsénio, A. M., Heijman, S. G. J., & Rietveld, L. C. (2022). Softening with Ceramic Micro-Filtration for Application on Water Reclamation for Industrial Recirculating Cooling Systems. Membranes, 12(10), 980. https://doi.org/10.3390/membranes12100980

