Highly Strong and Damage-Resistant Natural Rubber Membrane via Self-Assembly and Construction of Double Network
Abstract
1. Introduction
2. Materials and Methods
2.1. Materials
2.2. Sample Preparation
2.2.1. Modification of Sodium Lignosulfonate
2.2.2. Pretreatment of PAE
2.2.3. Preparation of NRL Vulcanized Membrane
2.3. Characterizations
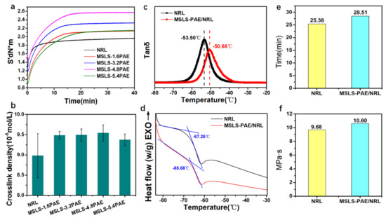
3. Results and Discussion
4. Conclusions
Supplementary Materials
Author Contributions
Funding
Institutional Review Board Statement
Informed Consent Statement
Data Availability Statement
Conflicts of Interest
References
- Deng, F.; Ito, M.; Noguchi, T.; Wang, L.; Ueki, H.; Niihara, K.-I.; Kim, Y.; Endo, M.; Zheng, Q.-S. Elucidation of the reinforcing mechanism in carbon nanotube/rubber nanocomposites. ACS Nano 2011, 5, 3858–3866. [Google Scholar] [CrossRef] [PubMed]
- Yang, J.; Gao, B.; Zhang, S.; Chen, Y. Improved antibacterial and mechanical performances of carboxylated nitrile butadiene rubber via interface reaction of oxidized starch. Carbohydr. Polym. 2021, 259, 117739. [Google Scholar] [CrossRef] [PubMed]
- Li, K.; You, J.; Liu, Y.; Zhu, K.; Xue, C.; Guo, X.; Wang, Z.; Zhang, Y. Functionalized starch as a novel eco-friendly vulcanization accelerator enhancing mechanical properties of natural rubber. Carbohydr. Polym. 2020, 231, 115705. [Google Scholar] [CrossRef] [PubMed]
- Hourston, D.J.; Romaine, J. Modification of natural rubber latex—I. Natural rubber-polystyrene composite latices synthesized using an amine-activated hydroperoxide. Eur. Polym. J. 1989, 25, 695–700. [Google Scholar] [CrossRef]
- Sharma, S.K.; Sharma, P.R.; Lin, S.; Chen, H.; Johnson, K.; Wang, R.; Borges, W.; Zhan, C.; Hsiao, B.S. Reinforcement of natural rubber latex using jute carboxycellulose nanofibers extracted using nitro-oxidation method. Nanomaterials 2020, 10, 706. [Google Scholar] [CrossRef]
- Guo, X.; Huang, L.; Qin, J.; Zhang, Q.; Zhu, H.; Zhu, S. Damage-resistant and healable polyacrylonitrile-derived stretchable materials with exceptional fracture toughness and fatigue threshold. J. Mater. Chem. A 2021, 9, 23451–23458. [Google Scholar] [CrossRef]
- Zhang, F.; Liao, L.; Wang, Y.; Wang, Y.; Huang, H.; Li, P.; Peng, Z.; Zeng, R. Reinforcement of natural rubber latex with silica modified by cerium oxide: Preparation and properties. J. Rare Earths 2016, 34, 221–226. [Google Scholar] [CrossRef]
- Bhat, A.; Budholiya, S.; Aravind Raj, S.; Sultan, M.T.H.; Hui, D.; Md Shah, A.U.; Safri, S.N.A. Review on nanocomposites based on aerospace applications. Nanotechnol. Rev. 2021, 10, 237–253. [Google Scholar] [CrossRef]
- Liang, Y.; Qin, H.; Huang, J.; Huan, S.; Hui, D. Mechanical properties of boron nitride sheet with randomly distributed va cancy defects. Nanotechnol. Rev. 2019, 8, 210–217. [Google Scholar] [CrossRef]
- Wang, W.; Zhao, D.; Yang, J.; Nishi, T.; Ito, K.; Zhao, X.; Zhang, L. Novel slide-ring material/natural rubber composites with high damping property. Sci. Rep. 2016, 6, 22810. [Google Scholar] [CrossRef]
- Ragauskas, A.J.; Beckham, G.T.; Biddy, M.J.; Chandra, R.; Chen, F.; Davis, M.F.; Davison, B.H.; Dixon, R.A.; Gilna, P.; Keller, M.; et al. Lignin valorization: Improving lignin processing in the biorefinery. Science 2014, 344, 709. [Google Scholar]
- Zhang, X.; Liu, W.; Cai, J.; Huang, J.; Qiu, X. Equip the hydrogel with armor: Strong and super tough biomass reinforced hy drogels with excellent conductivity and anti-bacterial performance. J. Mater. Chem. A 2019, 7, 26917–26926. [Google Scholar] [CrossRef]
- Jiang, C.; He, H.; Yao, X.; Yu, P.; Zhou, L.; Jia, D. In situ dispersion and compatibilization of lignin/epoxidized natural rubber composites: Reactivity, morphology and property. J. Appl. Polym. Sci. 2015, 132, 42044. [Google Scholar] [CrossRef]
- Figueiredo, P.; Lintinen, K.; Kiriazis, A.; Hynninen, V.; Liu, Z.; Bauleth-Ramos, T.; Rahikkala, A.; Correia, A.; Kohout, T.; Sar mento, B.; et al. In vitro evaluation of biodegradable lignin-based nanoparticles for drug delivery and enhanced antiproliferation effect in cancer cells. Biomaterials 2017, 121, 97–108. [Google Scholar] [CrossRef]
- Gershlak, J.R.; Hernandez, S.; Fontana, G.; Perreault, L.R.; Hansen, K.J.; Larson, S.A.; Binder, B.Y.K.; Dolivo, D.M.; Yang, T.; Dominko, T.; et al. Crossing kingdoms: Using decellularized plants as perfusable tissue engineering scaffolds. Biomaterials 2017, 125, 13–22. [Google Scholar] [CrossRef]
- Li, S.H.; Liu, Q.; de Wijn, J.R.; Zhou, B.L.; de Groot, K. In vitro calcium phosphate formation on a natural composite material, bamboo. Biomaterials 1997, 18, 389–395. [Google Scholar] [CrossRef]
- Liang, R.; Zhao, J.; Li, B.; Cai, P.; Loh, X.J.; Xu, C.; Chen, P.; Kai, D.; Zheng, L. Implantable and degradable antioxidant poly(ε-caprolactone)-lignin nanofiber membrane for effective osteoarthritis treatment. Biomaterials 2020, 230, 119601. [Google Scholar] [CrossRef]
- Liu, Z.Q.; Jiao, D.; Zhang, Z.F. Remarkable shape memory effect of a natural biopolymer in aqueous environment. Biomaterials 2015, 65, 13–21. [Google Scholar] [CrossRef]
- Ducrot, E.; Chen, Y.; Bulters, M.; Sijbesma Rint, P.; Creton, C. Toughening elastomers with sacrificial bonds and watching them break. Science 2014, 344, 186–189. [Google Scholar] [CrossRef]
- Wu, J.; Cai, L.-H.; Weitz, D.A. Tough self-healing elastomers by molecular enforced integration of covalent and reversible networks. Adv. Mater. 2017, 29, 1702616. [Google Scholar] [CrossRef]
- Zhu, Y.; Shen, Q.; Wei, L.; Fu, X.; Huang, C.; Zhu, Y.; Zhao, L.; Huang, G.; Wu, J. Ultra-tough, strong, and defect-tolerant elas tomers with self-healing and intelligent-responsive abilities. ACS Appl. Mater. Interfaces 2019, 11, 29373–29381. [Google Scholar] [CrossRef]
- Padakan, R.; Radagan, S. Evaluation of benzenesulfonyl hydrazide concentration on mechanical properties, swelling and thermal conductivity of thermal insulation from natural rubber. J. Agric. Nat. Resour. 2016, 50, 220–226. [Google Scholar] [CrossRef][Green Version]
- Golder, M.R.; Wong, B.M.; Jasti, R. Photophysical and theoretical investigations of the cycloparaphenylene radical cation and its charge-resonance dimer. Chem. Sci. 2013, 4, 4285–4291. [Google Scholar] [CrossRef]
- Chai, J.D.; Head-Gordon, M. Systematic optimization of long-range corrected hybrid density functionals. J. Chem. Phys. 2008, 128, 084106. [Google Scholar] [CrossRef]
- Šponer, J.; Hobza, P.; Leszczynski, J. Chapter 3—Computational Approaches to the Studies of the Interactions of Nucleic Acid Bases. In Theoretical and Computational Chemistry; Leszczynski, J., Ed.; Elsevier: Amsterdam, The Netherlands, 1999; Volume 8, pp. 85–117. [Google Scholar]
- Tagliaro, I.; Carignani, E.; Conzatti, E.; D’Arienzo, L.; Giannini, M.; Martini, L.; Nardelli, F.; Scotti, F.; Stagnaro, R.; Tadiello, P.; et al. The self-assembly of sepiolite and silica fillers for advanced rubber materials: The role of collaborative filler network. Appl. Clay Sci. 2022, 218, 106383. [Google Scholar] [CrossRef]
- Peng, L.; Wang, Q.; Xi, L.; Zhang, C. Zeta-potentials and enthalpy changes in the process of electrostatic self-assembly of cations on silica surface. Powder Technol. 2009, 193, 46–49. [Google Scholar] [CrossRef]
- Filza, M.S.S.; Qamarina, M.S.N.; Nurulhuda, A.; Norhanifah, M.Y.; Akmal, M.A. Purified natural rubber latex: Investigating effect of single anionic surfactant and centrifugation process to latex properties and addition of bio-filler towards latex film performance. AIP Conf. Proc. 2018, 1985, 040008. [Google Scholar]
- Cui, C.; Liu, W. Recent advances in wet adhesives: Adhesion mechanism, design principle and applications. Prog. Polym. Sci. 2021, 116, 101388. [Google Scholar] [CrossRef]
- Mohamad Aini, N.; Othman, N.; Hussin, M.H.; Sahakaro, K.; Hayeemasae, N. Hydroxymethylation-modified lignin and its effectiveness as a filler in rubber composites. Processes 2019, 7, 315. [Google Scholar] [CrossRef]
- Datta, J.; Parcheta, P.; Surówka, J. Softwood-lignin/natural rubber composites containing novel plasticizing agent: Preparation and characterization. Ind. Crops Prod. 2017, 95, 675–685. [Google Scholar] [CrossRef]
- Roy, K.; Debnath, S.C.; Potiyaraj, P. A Review on recent trends and future prospects of lignin based green rubber composites. J. Polym. Environ. 2020, 28, 367–387. [Google Scholar] [CrossRef]
- Xu, G.; Yan, G.; Zhang, J. Lignin as coupling agent in EPDM rubber: Thermal and mechanical properties. Polym. Bull. 2015, 72, 2389–2398. [Google Scholar] [CrossRef]
- Bozsódi, B.; Romhányi, V.; Pataki, P.; Kun, D.; Renner, K.; Pukánszky, B. Modification of interactions in polypropylene/ligno sulfonate blends. Mater. Des. 2016, 103, 32–39. [Google Scholar] [CrossRef]
- Zhang, S.-F.; Zhao, D.-Y.; Hou, C. Strengthening of polyacrylonitrile (PAN) fiber networks with polyamide epichlorohydrin (PAE) resin. Polym. Bull. 2018, 75, 5373–5386. [Google Scholar] [CrossRef]
- Zhang, W.; Hu, J.; Tang, J.; Wang, Z.; Wang, J.; Lu, T.; Suo, Z. Fracture toughness and fatigue threshold of tough hydrogels. ACS Macro Lett. 2019, 8, 17–23. [Google Scholar] [CrossRef]
- Jeong-Yun, S. Highly stretchable and tough hydrogels. Nature 2012, 489, 133–136. [Google Scholar]
- Li, J.; Illeperuma, W.; Suo, Z.; Vlassak, J. Hybrid hydrogels with extremely high stiffness and toughness. ACS Macro Lett. 2014, 3, 520–523. [Google Scholar] [CrossRef]
- Li, J.; Suo, Z.; Vlassak, J. Stiff, strong, and tough hydrogels with good chemical stability. J. Mater. Chem. B 2014, 2, 6708–6713. [Google Scholar] [CrossRef]
- Yang, C.; Zheng, W.; Jianhai, Y.; Wang, M.; Zrinyi, M.; Yang, S.; Osada, Y.; Suo, Z.; Zhang, Q.; Zhou, J.; et al. Exceptionally tough and notch-insensitive magnetic hydrogels. Soft Matter 2015, 11, 8253–8261. [Google Scholar]
- Tang, J.; Li, J.; Vlassak, J.; Suo, Z. Fatigue fracture of hydrogels. Extreme Mech. Lett. 2017, 10, 24–31. [Google Scholar] [CrossRef]
- Bai, R.; Yang, J.; Morelle, X.; Yang, C.; Suo, Z. Fatigue fracture of self-recovery hydrogels. ACS Macro Lett. 2018, 7, 312–317. [Google Scholar] [CrossRef]
- Zhang, E.; Bai, R.; Morelle, X.; Suo, Z. Fatigue fracture of nearly elastic hydrogels. Soft Matter 2018, 14, 3563–3571. [Google Scholar] [CrossRef]
- Liu, X.; Liu, X.; Li, W.; Ru, Y.; Li, Y.; Sun, A.; Wei, L. Engineered self-healable elastomer with giant strength and toughness via phase regulation and mechano-responsive self-reinforcing. Chem. Eng. J. 2020, 410, 128300. [Google Scholar] [CrossRef]
- Wei, Y.-C.; Liu, G.-X.; Zhang, L.; Xu, W.-Z.; Liao, S.; Luo, M.-C. Mimicking the mechanical robustness of natural rubber based on a sacrificial network constructed by phospholipids. ACS Appl. Mater. Interfaces 2020, 12, 14468–14475. [Google Scholar] [CrossRef]
- Li, Y.; Li, W.; Sun, A.; Jing, M.; Liu, X.; Wei, L.; Wu, K.; Fu, Q. A self-reinforcing and self-healing elastomer with high strength, unprecedented toughness and room-temperature reparability. Mater. Horiz. 2021, 8, 267–275. [Google Scholar] [CrossRef]
- Chen, Z.-H.; Fan, S.-T.; Qiu, Z.-J.; Nie, Z.-J.; Zhang, S.-X.; Zhang, S.; Li, B.-J.; Cao, Y. Tough double-network elastomers with slip-rings. Polym. Chem. 2021, 12, 3142–3152. [Google Scholar] [CrossRef]
- Wang, Z.; Xiang, C.; Yao, X.; Le Floch, P.; Mendez, J.; Suo, Z. Stretchable materials of high toughness and low hysteresis. Proc. Natl. Acad. Sci. USA 2019, 116, 5967–5972. [Google Scholar] [CrossRef]
- Kazem, N.; Bartlett, M.D.; Majidi, C. Extreme toughening of soft materials with liquid metal. Adv. Mater. 2018, 30, 1706594. [Google Scholar] [CrossRef]
- Fu, X.; Huang, C.; Zhu, Y.; Huang, G.; Wu, J. Characterizing the naturally occurring sacrificial bond within natural rubber. Polymer 2019, 161, 41–48. [Google Scholar] [CrossRef]
- Sun, T.L.; Luo, F.; Hong, W.; Cui, K.; Huang, Y.; Zhang, H.J.; King, D.R.; Kurokawa, T.; Nakajima, T.; Gong, J.P. Bulk energy dissipation mechanism for the fracture of tough and self-healing hydrogels. Macromolecules 2017, 50, 2923–2931. [Google Scholar] [CrossRef]
- Yamazaki, H.; Takeda, M.; Kohno, Y.; Ando, H.; Urayama, K.; Takigawa, T. Dynamic viscoelasticity of poly(butyl acrylate) elastomers containing dangling chains with controlled lengths. Macromolecules 2011, 44, 8829–8834. [Google Scholar] [CrossRef]
- Xiang, C.; Wang, Z.; Yang, C.; Yao, X.; Wang, Y.; Suo, Z. Stretchable and fatigue-resistant materials. Mater. Today 2020, 34, 7–16. [Google Scholar] [CrossRef]
- Liu, Y.; Wang, H.; Guo, X.; Yi, M.; Wan, L.; Liao, S.; Wang, Z.; Fang, L. Xanthate-modified nanoTiO2 as a novel vulcanization accelerator enhancing mechanical and antibacterial properties of natural rubber. Nanotechnol. Rev. 2021, 10, 478–487. [Google Scholar] [CrossRef]
- Zhou, Y.; Fan, M.; Chen, L.; Zhuang, J. Lignocellulosic fibre mediated rubber composites: An overview. Compos. B Eng. 2015, 76, 180–191. [Google Scholar] [CrossRef]
- Chu, H.Z.; Liu, D.; Cui, Z.W.; Wang, K.; Qiu, G.X.; Liu, G.Y. Effect of crosslink density on solubility parameters of styrene butadiene rubber and the application in pre-screening of new potential additives. Polym. Test. 2020, 81, 106253. [Google Scholar] [CrossRef]
- Zhang, C.; Tang, Z.; Guo, B.; Zhang, L. Significantly improved rubber-silica interface via subtly controlling surface chemistry of silica. Compos. Sci. Technol. 2018, 156, 70–77. [Google Scholar] [CrossRef]
- Xue, B.; Wang, X.; Yu, L.; Di, B.; Chen, Z.; Zhu, Y.; Liu, X. Self-assembled lignin-silica hybrid material derived from rice husks as the sustainable reinforcing fillers for natural rubber. Int. J. Biol. Macromol. 2020, 145, 410–416. [Google Scholar] [CrossRef]
- Fragiadakis, D.; Pissis, P. Glass transition and segmental dynamics in poly(dimethylsiloxane)/silica nanocomposites studied by various techniques. J. Non Cryst. Solids 2007, 353, 4344–4352. [Google Scholar] [CrossRef]
- Robertson, C.; Lin, C.; Rackaitis, M.; Roland, C. Influence of particle size and polymer− filler coupling on viscoelastic glass transition of particle-reinforced polymers. Macromolecules 2008, 41, 2727–2731. [Google Scholar] [CrossRef]
- Beyer, M.K. The mechanical strength of a covalent bond calculated by density functional theory. J. Chem. Phys. 2000, 112, 7307–7312. [Google Scholar] [CrossRef]
- Stern, M.D.; Tobolsky, A.V. Stress-Time-Temperature Relations in Polysulfide Rubbers. Rubber Chem. Technol. 1946, 19, 1178–1192. [Google Scholar] [CrossRef]




| Sample Name | Specification | Source |
|---|---|---|
| Sodium lignosulfonate | Tech | Aladdin Chemical Co., Ltd., Shanghai, China |
| Hydrogen peroxide (30%) | AR | Xilong Science Co., Ltd., Shantou, China |
| HCl | CP | Guangzhou Chemical Reagent Factory., Guangzhou, China |
| NaOH | AR | Xilong Science Co., Ltd., China |
| Calcium carbonate | AR | Tianjin Fuchen Chemical Reagent Factory., Tianjin, China |
| KOH | AR | Xilong Science Co., Ltd., China |
| Natural rubber latex (60%) | Tech | Hainan Jinlian Rubber Processing Branch., Haikou, China |
| Polyamide epichlorohydrin (PAE) | Tech | Shandong Tiancheng Chemical Co., Ltd., Yanzhou, China |
| Zinc oxide (ZnO) | Tech | Shanghai Mackin Biochemical Technology Co., Ltd., Shanghai, China |
| Zinc diethyldithiocarbamate (ZDC) | Tech | Shanghai Mackin Biochemical Technology Co., Ltd., China |
| Sulfur (S) | Tech | Shanghai Mackin Biochemical Technology Co., Ltd., China |
Publisher’s Note: MDPI stays neutral with regard to jurisdictional claims in published maps and institutional affiliations. |
© 2022 by the authors. Licensee MDPI, Basel, Switzerland. This article is an open access article distributed under the terms and conditions of the Creative Commons Attribution (CC BY) license (https://creativecommons.org/licenses/by/4.0/).
Share and Cite
Wang, H.; Meng, F.; Yi, M.; Fang, L.; Wang, Z.; Wang, S. Highly Strong and Damage-Resistant Natural Rubber Membrane via Self-Assembly and Construction of Double Network. Membranes 2022, 12, 933. https://doi.org/10.3390/membranes12100933
Wang H, Meng F, Yi M, Fang L, Wang Z, Wang S. Highly Strong and Damage-Resistant Natural Rubber Membrane via Self-Assembly and Construction of Double Network. Membranes. 2022; 12(10):933. https://doi.org/10.3390/membranes12100933
Chicago/Turabian StyleWang, Heliang, Fanrong Meng, Mingyuan Yi, Lin Fang, Zhifen Wang, and Shoujuan Wang. 2022. "Highly Strong and Damage-Resistant Natural Rubber Membrane via Self-Assembly and Construction of Double Network" Membranes 12, no. 10: 933. https://doi.org/10.3390/membranes12100933
APA StyleWang, H., Meng, F., Yi, M., Fang, L., Wang, Z., & Wang, S. (2022). Highly Strong and Damage-Resistant Natural Rubber Membrane via Self-Assembly and Construction of Double Network. Membranes, 12(10), 933. https://doi.org/10.3390/membranes12100933

