Effects of Channel Thickness on Electrical Performance and Stability of High-Performance InSnO Thin-Film Transistors
Abstract
:1. Introduction
2. Experiment
2.1. Fabrication of ITO TFTs
2.2. Characterization of ITO TFTs and ITO Films
3. Results and Discussion
3.1. Material Characterization of ITO Films
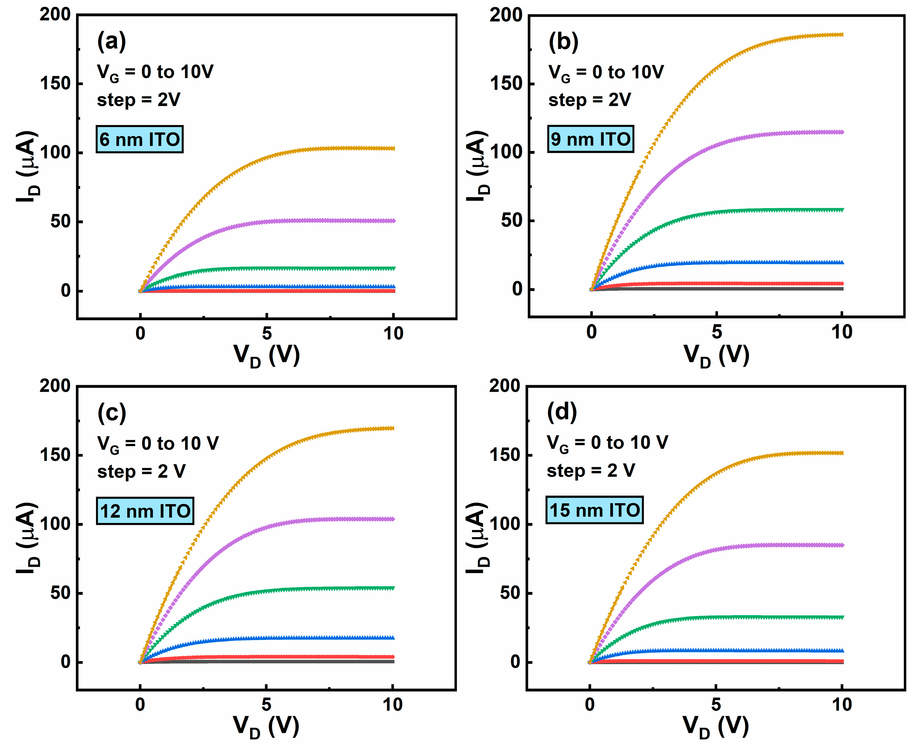
3.2. Electrical Characteristics of ITO TFTs
4. Conclusions
Author Contributions
Funding
Institutional Review Board Statement
Informed Consent Statement
Data Availability Statement
Conflicts of Interest
References
- Kamiya, T.; Nomura, K.; Hosono, H. Origins of High Mobility and Low Operation Voltage of Amorphous Oxide TFTs: Electronic Structure, Electron Transport, Defects and Doping. J. Disp. Technol. 2009, 5, 273–288. [Google Scholar] [CrossRef]
- Fortunato, E.; Barquinha, P.; Martins, R. Oxide Semiconductor Thin-film transistors: A Review of Recent Advances. Adv. Mater. 2012, 24, 2945–2986. [Google Scholar] [CrossRef] [PubMed]
- Park, J.S.; Maeng, W.J.; Kim, H.S.; Park, J.S. Review of Recent Developments in Amorphous Oxide Semiconductor Thin-film Transistor Devices. Thin Solid Film. 2012, 520, 1679–1693. [Google Scholar] [CrossRef]
- Shi, J.; Zhang, J.; Yang, L.; Qu, M.; Qi, D.C.; Zhang, K.H.L. Wide Bandgap Oxide Semiconductors: From Materials Physics to Optoelectronic Devices. Adv. Mater. 2021, e2006230. [Google Scholar] [CrossRef] [PubMed]
- Goh, Y.; Ahn, J.; Lee, J.R.; Park, W.W.; Park, S.H.K.; Jeon, S. Efficient Suppression of Defects and Charge Trapping in High Density In-Sn-Zn-O Thin Film Transistor Prepared using Microwave-Assisted Sputter. ACS Appl. Mater. Interfaces 2017, 9, 36962–36970. [Google Scholar] [CrossRef]
- Kang, Y.; Lee, W.; Kim, J.; Keum, K.; Kang, S.H.; Jo, J.W.; Park, S.K.; Kim, Y.H. Effects of Crystalline Structure of IGZO Thin Films on the Electrical and Photo-stability of Metal-oxide Thin-film Transistors. Mater. Res. Bull. 2021, 139, 111252. [Google Scholar] [CrossRef]
- Kim, H.; Horwitz, J.S.; Kushto, G.; Piqué, A.; Kafafi, Z.H.; Gilmore, C.M.; Chrisey, D.B. Effect of Film Thickness on the Properties of Indium Tin Oxide Thin Films. J. Appl. Phys. 2000, 88, 6021–6025. [Google Scholar] [CrossRef]
- Granqvist, C.G.; Hultaker, A. Transparent and Conducting ITO Films: New Developments and Applications. Thin Solid Film. 2002, 411, 1–5. [Google Scholar] [CrossRef]
- Wang, Y.; Wang, Z.; Huang, K.; Liang, X.; Liu, C.; Chen, C.; Liu, C. Solution-processed ITO Thin-film Transistors With Doping of Gallium Oxide Show High On-off Ratios and Work at 1 mV Drain Voltage. Appl. Phys. Lett. 2020, 116, 141604. [Google Scholar] [CrossRef]
- Li, S.; Tian, M.; Gao, Q.; Wang, M.; Li, T.; Hu, Q.; Li, X.; Wu, Y. Nanometre-thin Indium Tin Oxide for Advanced High-performance Electronics. Nat. Mater. 2019, 18, 1091–1097. [Google Scholar] [CrossRef] [PubMed]
- Park, S.Y.; Ji, K.H.; Jung, H.Y.; Kim, J.-H.; Choi, R.; Son, K.S.; Ryu, M.K.; Lee, S.; Jeong, J.K. Improvement in the Device Performance of Tin-doped Indium Oxide Transistor by Oxygen High Pressure Annealing at 150 °C. Appl. Phys. Lett. 2020, 100, 162108. [Google Scholar] [CrossRef]
- Liang, K.; Li, D.; Ren, H.; Zhao, M.; Wang, H.; Ding, M.; Xu, G.; Zhao, X.; Long, S.; Zhu, S.; et al. Fully Printed High-Performance n-Type Metal Oxide Thin-Film Transistors Utilizing Coffee-Ring Effect. Nanomicro Lett. 2021, 13, 164. [Google Scholar] [CrossRef]
- Kim, D.H.; Cha, H.S.; Jeong, H.S.; Hwang, S.H.; Kwon, H.-I. Effects of Active Layer Thickness on the Electrical Characteristics and Stability of High-Mobility Amorphous Indium–Gallium–Tin Oxide Thin-Film Transistors. Electronics 2021, 10, 1295. [Google Scholar] [CrossRef]
- Choi, K.H.; Kim, H.K. Correlation between Ti Source/drain Contact and Performance of InGaZnO-based Thin Film Transistors. Appl. Phys. Lett. 2013, 102, 052103. [Google Scholar] [CrossRef] [Green Version]
- Lee, J.Y.; Lee, S.Y. Investigation on Hump Mechanism in Amorphous SiZnSnO Thin-Film Transistor Depending on Si Concentration. Phys. Status Solidi A 2020, 217, 1900953. [Google Scholar] [CrossRef]
- Teng, T.; Hu, C.-F.; Qu, X.-P.; Wang, M. Investigation of the Anomalous Hump Phenomenon in Amorphous InGaZnO Thin-film Transistors. Solid State Electron. 2020, 170, 107814. [Google Scholar] [CrossRef]
- Li, H.; Han, D.; Dong, J.; Yi, Z.; Zhou, X.; Zhang, S.; Zhang, X.; Wang, Y. Enhanced Performance of Atomic Layer Deposited Thin-Film Transistors With High-Quality ZnO/Al2O3 Interface. IEEE Trans. Electron. Devices 2020, 67, 518–523. [Google Scholar] [CrossRef]
- Barquinha, P.; Pimentel, A.; Marques, A.; Pereira, L.; Martins, R.; Fortunato, E. Influence of the semiconductor thickness on the electrical properties of transparent TFTs based on indium zinc oxide. J. Non-Cryst. Solids 2006, 352, 1749–1752. [Google Scholar] [CrossRef]
- Park, H.-W.; Park, K.; Kwon, J.-Y.; Choi, D.; Chung, K.-B. Effect of active layer thickness on device performance of tungsten-doped InZnO thin-film transistor. IEEE Trans. Electron. Dev. 2016, 64, 159–163. [Google Scholar] [CrossRef]
- Barreca, D.; Garon, S.; Tondello, E.; Zanella, P. SnO2 Nanocrystalline Thin Films by XPS. Surf. Sci. Spectra 2000, 7, 81–85. [Google Scholar] [CrossRef]
- Li, Y.; Yao, R.; Wang, H.H.; Wu, X.M.; Wu, J.Z.; Wu, X.H.; Qin, W. Enhanced Performance in Al-doped ZnO Based Transparent Flexible Transparent Thin-film Transistors Due to Oxygen Vacancy in ZnO Film With Zn-Al-O Interfaces Fabricated by Atomic Layer Deposition. ACS Appl. Mater. Interfaces 2017, 9, 11711–11720. [Google Scholar] [CrossRef]
- Kwon, S.; Bang, S.; Lee, S.; Jeon, S.; Jeong, W.; Kim, H.; Gong, S.C.; Chang, H.J.; Park, H.; Jeon, H. Characteristics of the ZnO Thin Film Transistor by Atomic Layer Deposition at Various Temperatures. Semicond. Sci. Technol. 2009, 24, 035015. [Google Scholar] [CrossRef]
- Wang, Y.H.; Ma, Q.; Zheng, L.L.; Liu, W.J.; Ding, S.J.; Lu, H.L.; Zhang, D.W. Performance Improvement of Atomic Layer-deposited ZnO/Al2O3 Thin-film Transistors by Low-temperature Annealing in Air. IEEE Trans. Electron. Devices 2016, 63, 1893–1898. [Google Scholar] [CrossRef]
- Liu, L.C.; Chen, J.S.; Jeng, J.S. Ambient Constancy of Passivation-Free Ultra-Thin Zinc Tin Oxide Thin Film Transistor. ECS Solid State Lett. 2015, 4, Q59–Q62. [Google Scholar] [CrossRef]
- Jeon, S.R.; Song, Y.H.; Jang, H.J.; Yang, G.M.; Hwang, S.W.; Son, S.J. Lateral Current Spreading in GaN-based Light-emitting Diodes Utilizing Tunnel Contact Junctions. Appl. Phys. Lett. 2001, 78, 3265–3267. [Google Scholar] [CrossRef]
- Campbell, J.P.; Cheung, K.P.; Suehle, J.S.; Oates, A. A Simple Series Resistance Extraction Methodology for Advanced CMOS Devices. IEEE Electron. Device Lett. 2011, 32, 1047–1049. [Google Scholar] [CrossRef]
- Yang, Z.; Yang, J.W.; Meng, T.; Qu, M.Y.; Zhang, Q. Influence of Channel Layer Thickness on the Stability of Amorphous Indium Zinc Oxide Thin Film Transistors. Mater. Lett. 2016, 166, 46–50. [Google Scholar] [CrossRef]
- Ahn, C.H.; Yun, M.G.; Lee, S.Y.; Cho, H.K. Enhancement of Electrical Stability in Oxide Thin-film Transistors Using Multilayer Channels Grown by Atomic Layer Deposition. IEEE Trans. Electron. Devices 2014, 60, 73–78. [Google Scholar] [CrossRef]
- Li, J.; Ding, X.W.; Zhang, J.H.; Zhang, H.; Jiang, X.Y.; Zhang, Z.L. Improving Electrical Performance and Bias Stability of HfInZnO-TFT With Optimizing the Channel Thickness. AIP Adv. 2013, 3, 102132. [Google Scholar] [CrossRef]
- Zhou, X.B.; Han, D.D.; Dong, J.C.; Li, H.J.; Yi, Z.; Zhang, X.; Wang, Y. The Effects of Post Annealing Process on the Electrical Performance and Stability of Al-Zn-O Thin-Film Transistors. IEEE Electron. Device Lett. 2020, 41, 569–572. [Google Scholar] [CrossRef]












Publisher’s Note: MDPI stays neutral with regard to jurisdictional claims in published maps and institutional affiliations. |
© 2021 by the authors. Licensee MDPI, Basel, Switzerland. This article is an open access article distributed under the terms and conditions of the Creative Commons Attribution (CC BY) license (https://creativecommons.org/licenses/by/4.0/).
Share and Cite
Li, Q.; Dong, J.; Han, D.; Wang, Y. Effects of Channel Thickness on Electrical Performance and Stability of High-Performance InSnO Thin-Film Transistors. Membranes 2021, 11, 929. https://doi.org/10.3390/membranes11120929
Li Q, Dong J, Han D, Wang Y. Effects of Channel Thickness on Electrical Performance and Stability of High-Performance InSnO Thin-Film Transistors. Membranes. 2021; 11(12):929. https://doi.org/10.3390/membranes11120929
Chicago/Turabian StyleLi, Qi, Junchen Dong, Dedong Han, and Yi Wang. 2021. "Effects of Channel Thickness on Electrical Performance and Stability of High-Performance InSnO Thin-Film Transistors" Membranes 11, no. 12: 929. https://doi.org/10.3390/membranes11120929
APA StyleLi, Q., Dong, J., Han, D., & Wang, Y. (2021). Effects of Channel Thickness on Electrical Performance and Stability of High-Performance InSnO Thin-Film Transistors. Membranes, 11(12), 929. https://doi.org/10.3390/membranes11120929

